[数学]山西省阳泉市2024届高三下学期第三次模拟测试试题(解析版)
展开1. 设集合,则集合与集合的关系是( )
A. B. C. D.
【答案】C
【解析】函数值域为,函数定义域为,
即,,所以有.
故选:C.
2. 已知是实系数方程的一个复数根,则( )
A. B. C. 1D. 9
【答案】A
【解析】因为是实系数方程的一个复数根,
则也是实系数方程的一个复数根,
所以,解得,
所以.
故选:A
3. 已知:,:,且是的必要不充分条件,则实数的取值范围是( )
A. B. C. D.
【答案】A
【解析】因为:,
所以,
记;
,记为.
因为是的必要不充分条件,所以A,
所以,解得.
故选:A.
4. 已知等差数列中,是函数的一个极大值点,则的值为( )
A. B. C. D.
【答案】D
【解析】由正弦函数性质知,当,即时,函数取得极大值,
则,由等差数列性质,得,
所以.
故选:D
5. 已知非零向量,满足,且在上的投影向量为,则( )
A. B. C. 2D.
【答案】B
【解析】设,的夹角为,
由可得:,
,所以,
在上的投影向量为,则,
所以,即,则.
故选:B.
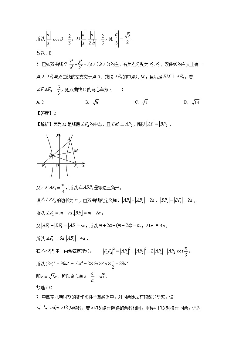
6. 已知双曲线的左、右焦点分别为,双曲线的右支上有一点与双曲线的左支交于点,线段的中点为,且满足,若,则双曲线的离心率为( )
A. 2B. C. D.
【答案】C
【解析】因为是线段的中点,且,所以,
又,所以是等边三角形,
设的边长为,由双曲线的定义知,,,
所以,
又,所以,即,
所以,
在中,由余弦定理知, ,
所以
即,所以离心率.
故选:C
7. 中国南北朝时期的著作《孙子算经》中,对同余除法有较深的研究,设为整数,若和被m除得的余数相同,则称和对模m同余,记为.如9和21除以6所得的余数都是3,则记为,若,,则的值可以是( )
A. 2019B. 2020C. 2021D. 2022
【答案】A
【解析】
,
所以被10除余9,
2019,2020,2021,2022除以10余9的是2019,
故选:A.
8. 已知正方体的棱长为为线段上的动点,则三棱锥外接球半径的取值范围为( )
A. B.
C. D.
【答案】C
【解析】如图,连接,交于点,易得为的外心.
连接.交于点,易知平面,则三棱锥的外接球球心在上.设的外接圆圆心为平面,
由正方体中棱平面,得,又易得分别是中点,
所以.
设的外接圆半径为,三棱锥的外接球半径为.则,
设,,
,又,
.
设,则,
设,则,
在单调递增,又,
所以在单调递减,在单调递增,又,
所以.
故选:C.
二、多项选择题
9. 已知圆,若圆上仅存在一点使,则正实数的取值可以是( )
A. 2B. 3C. 4D. 5
【答案】BD
【解析】若圆上仅存在一点使,则以为直径的圆与圆相内切或外切,
由,则以为直径的圆的圆心为,半径为,
则有或,
分别解得或,故或,
故B、D正确,A、C错误.
故选:BD.
10. 在一个有限样本空间中,假设,且A与B相互独立,A与C互斥,则( )
A.
B.
C.
D. 若,则B与C互斥
【答案】BCD
【解析】对于A,A与B相互独立,则,
,A错误;
对于B,因为A与C互斥,所以,所以
,,
所以,B正确;
对于C,,因为A与C互斥,即A发生则C一定不发生,
所以,所以,C正确;
对于D,显然,即,
由,得,
解得,所以B与C互斥,D正确.
故选:BCD.
11. 已知定义在上的函数满足,则( )
A. 是奇函数B. 在上单调递减
C. 是偶函数D. 在在上单调递增
【答案】AB
【解析】定义在上的函数满足,
令,则,所以,
令,则,所以,
令,则,
所以,
令,则,所以,
因为,且定义域关于原点对称,所以函数是奇函数,
由反比例函数的单调性可得函数在和上单调递减.
故选:AB.
三、填空题
12. 已知,则__________.
【答案】
【解析】因为,
所以.
故答案为:.
13. 已知数列的前项和为,且,则数列的前100项和______.
【答案】
【解析】因为,
所以,
故时,两式相减得,
即,
因为,即,
所以数列是以2为首项,以2为公比的等比数列,
所以,
故答案为:.
14. 已知函数恰有3个零点,则的取值范围是______.
【答案】
【解析】令,得或.
作出的大致图象,如图所示,
这两个函数图象的交点为,因为,,
所以由图可知的取值范围是.
故答案为:
四、解答题
15. 如图,某乡镇绿化某一座山体,以地面为基面,在基面上选取A,B,C,D四个点,使得,测得,,.
(1)若B,D选在两个村庄,两村庄之间有一直线型隧道,且,,求A,C两点间距离;
(2)求值.
解:(1)在中,由正弦定理得,
即,
解得,所以,
则为等腰直角三角形,所以,
则.
在中,由余弦定理得
,
故.
故A,C两点间距离为.
(2)设,则由题意可知,,.
在中,由正弦定理得,即,
在中,由正弦定理得,即,
又,所以,
解得,所以.
16. 全国“村BA”篮球赛点燃了全民的运动激情,深受广大球迷的喜爱.每支球队都有一个或几个主力队员,现有一支“村BA”球队,其中甲球员是其主力队员,经统计该球队在某个赛季的所有比赛中,甲球员是否上场时该球队的胜负情况如表.
(1)完成列联表,并判断依据小概率值的独立性检验,能否认为球队的胜负与甲球员是否上场有关;
(2)由于队员的不同,甲球员主打的位置会进行调整,根据以往的数据统计,甲球员上场时,打前锋、中锋、后卫的概率分别为0.3,0.5,0.2,相应球队赢球的概率分别为0.7,0.8,0.6.
(i)当甲球员上场参加比赛时,求球队赢球的概率;
(ii)当甲球员上场参加比赛时,在球队赢了某场比赛的条件下,求甲球员打中锋的概率.(精确到0.01)
附:,.
(1)解:根据题意,可得的列联表:
零假设:球队的胜负与甲球员是否上场无关
此时,
所以,有99%的把握认为球队的胜负与甲球员是否上场有关.
(2)解:由甲球员上场时,打前锋、中锋、后卫的概率分别为0.3,0.5,0.2,相应球队赢球的概率分别为0.7,0.8,0.6.
(i)设事件:甲球员上场打前锋,事件:甲球员上场打中锋,事件:甲球员上场打后卫,事件:球队赢球,
则,
所以,当甲球员上场参加比赛时,球队赢球的概率:
.
(ii)当甲球员上场参加比赛时,在球队赢了某场比赛的条件下,
甲球员打中锋的概率为.
17. 在三棱柱中,四边形是菱形,是等边三角形,点是线段的中点,.
(1)证明:平面;
(2)若平面平面,求直线与平面所成角的正弦值.
(1)证明:设与交点为,连接.
四边形是菱形,是的中点.
在中,是等边三角形,.
在中,是的中点,.
又平面,平面.
(2)解:连接,
是等边三角形,是线段的中点,
又平面平面,平面平面,平面,
平面.
以为原点,所在直线分别为轴,轴如图建立空间直角坐标系,
不妨设,则,,
于是,
设平面的法向量为,则,即,
令,得,所以平面的一个法向量为.
设直线与平面所成角大小为,则,
故直线与平面所成角的正弦值为.
18. 设函数.
(1)当时恒成立,求k的最大值;
(2)证明:对任意正整数n,不等式恒成立.
(1)解:由知,
设,
则
令,得.
当时,有成立,在单调递增,
,满足题意.
当时,有,,
所以,,
于是有时,.
所以在单调递减,
结合,知时,舍去.
综上,k最大值为2.
(2)证明:由(1)知,当且仅当时等号成立,
于是有:,
,
,
累加可得:
.证毕!
19. 已知圆.点在圆上,延长到,使,点在线段上,满足.
(1)求点的轨迹的方程;
(2)设点在直线上运动,.直线与轨迹分别交于两点,求证:所在直线恒过定点.
(1)解:,
,为的中点,
又为的中点,,
则,
点的轨迹是以为焦点的椭圆,
而,点的轨迹的方程为;
(2)证明:由(1)得是椭圆的左右顶点,
设,
由三点共线,得,
而,
,
由三点共线,得,
而,
,
,即,
设的方程为,联立,
得,
则,
,
,由,
得,
即,
,
恒成立,,
所在直线恒过定点.
甲球员是否上场
球队的胜负情况
合计
胜
负
上场
40
45
未上场
3
合计
42
0.15
0.10
0.05
0.025
0010
0.001
2.072
2.706
3.841
5.024
6635
10.828
甲球员是否上场
球队的胜负情况
合计
胜
负
上场
40
5
45
未上场
2
3
5
合计
42
8
50
山西省阳泉市2024届高三下学期第三次模拟测试数学试卷(Word版附答案): 这是一份山西省阳泉市2024届高三下学期第三次模拟测试数学试卷(Word版附答案),共11页。试卷主要包含了考试结束后,将答题卡交回,已知正方体的棱长为等内容,欢迎下载使用。
山西省阳泉市2024届高三下学期第三次模拟测试数学试题: 这是一份山西省阳泉市2024届高三下学期第三次模拟测试数学试题,共11页。试卷主要包含了考试结束后,将答题卡交回,已知正方体的棱长为等内容,欢迎下载使用。
山西省阳泉市2024届高三下学期第三次模拟测试数学试题: 这是一份山西省阳泉市2024届高三下学期第三次模拟测试数学试题,共11页。

