专题06 解三角形综合大题归类(原卷+解析)
展开
这是一份专题06 解三角形综合大题归类(原卷+解析),文件包含专题06解三角形综合大题归类原卷版docx、专题06解三角形综合大题归类解析版docx等2份试卷配套教学资源,其中试卷共61页, 欢迎下载使用。
目录
TOC \ "1-1" \h \u \l "_Tc167788154" 一、正弦定理基础:函数值 PAGEREF _Tc167788154 \h 1
\l "_Tc167788155" 二、正弦定理基础:求角 PAGEREF _Tc167788155 \h 2
\l "_Tc167788156" 三、边化角型:面积范围 PAGEREF _Tc167788156 \h 2
\l "_Tc167788157" 四、边化角型:周长范围 PAGEREF _Tc167788157 \h 3
\l "_Tc167788158" 五、边化角型:四边形面积范围 PAGEREF _Tc167788158 \h 3
\l "_Tc167788159" 六、边化角型:有角无边 PAGEREF _Tc167788159 \h 4
\l "_Tc167788160" 七、边化角型:角非对边型 PAGEREF _Tc167788160 \h 4
\l "_Tc167788161" 八、边化角型:边非对称型 PAGEREF _Tc167788161 \h 5
\l "_Tc167788162" 九、边化角型:比值分式型范围 PAGEREF _Tc167788162 \h 5
\l "_Tc167788163" 十、“三大线”型:中线型范围 PAGEREF _Tc167788163 \h 6
\l "_Tc167788164" 十一、“三大线”型:角平分线型范围 PAGEREF _Tc167788164 \h 7
\l "_Tc167788165" 十二、“三大线”型:高与范围最值型 PAGEREF _Tc167788165 \h 7
\l "_Tc167788166" 十三、“三大线”型:定比分点型范围 PAGEREF _Tc167788166 \h 7
\l "_Tc167788167" 十四、内切圆型 PAGEREF _Tc167788167 \h 8
\l "_Tc167788168" 十五、外接圆型 PAGEREF _Tc167788168 \h 9
\l "_Tc167788169" 十六、新定义型压轴题 PAGEREF _Tc167788169 \h 9
一、正弦定理基础:函数值
1.(23-24高一·陕西西安·阶段练习)记的内角,,的对边分别为,,,已知,.
(1)求角的大小;
(2)若,求的值.
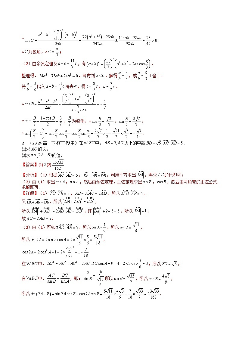
2.(23-24高一下·辽宁·期中)在中,边上的中线.
(1)求的长;
(2)求的值.
3.(2024·天津红桥·二模)在中,内角,,的对边分别为,,,已知,,且.
(1)求的值;
(2)求的值;
(3)求的值.
4.(23-24高一下·湖北·阶段练习)已知的三个内角满足:.
(1)求的值;
(2)求角的大小.
二、正弦定理基础:求角
1.(2024高一·上海·专题练习)记的内角A,B,C的对边分别为a,b,c,已知,求角B.
2.(23-24高一下·黑龙江绥化·期中)(1)记的内角A,B,C的对边分别是a,b,c,已知.求A;
(2)在中,a,b,c分别是角A,B,C的对边,,求角B的大小.
3.(23-24高一下·天津·期中)在中,分别是角所对的边,.
(1)求的值;
(2)求的值;
(3)求的值.
4.(22-23高一下·江苏·阶段练习)在中,内角,,所对的边分别为,,,且.
(1)求角的大小;
(2)若,求的值.
三、边化角型:面积范围
1.(23-24高一下·四川·期中)锐角的内角的对边分别为,已知
(1)求角的值;
(2)若求面积的取值范围.
2.(2024·全国·模拟预测)已知的三个内角所对的边分别为,满足.
(1)求角.
(2)当面积的最大值为时,求的值.
3.(23-24高一下·陕西咸阳·阶段练习)已知a,b,c是的内角A,B,C所对的边,,且满足.
(1)求B;
(2)求面积的最大值.
4.(2024·山西·一模)中角所对的边分别为,其面积为,且.
(1)求;
(2)已知,求的取值范围.
四、边化角型:周长范围
1.(23-24高一下·陕西西安·阶段练习)在中,内角A,B,C所对的边分别为a,b,c.已知.
(1)求A;
(2)若,求周长的取值范围.
2.(23-24高一下·广东湛江·阶段练习)已知A,B,C为的三内角,且其对边分别为a,b,c.若 且 .
(1)求角A的大小;
(2)若,求的周长的取值范围.
3.(2024·辽宁·模拟预测)已知的内角的对边分别为.
(1)求;
(2)若为锐角三角形,且,求的周长的取值范围.
4.(23-24高一下·贵州贵阳·阶段练习)在中,内角所对的边分别是,已知,
(1)求角;
(2)若,求周长的最大值.
五、边化角型:四边形面积范围
1.(23-24高一下·河南三门峡·阶段练习)如图,在平面四边形ABCD中,,,,.
(1)若,求BD和AB的值;
(2)求四边形ABCD面积的最大值.
2.(23-24高一下·广西·阶段练习)如图,在平面四边形中,.
(1)当时,求四边形的对角线和的长度;
(2)设,记四边形的面积为,求的表达式,并求出它的最大值.
3.(23-24高一下·黑龙江哈尔滨·阶段练习)如图,在平面四边形中,,,.
(1)若,求;
(2)求四边形面积的取值范围;
(3)若,求.
4.(23-24高一下·甘肃武威·阶段练习)在平面四边形中(在的两侧),.
(1)若,求;
(2)若,求四边形的面积的最大值.
六、边化角型:有角无边
1.(2024·河北沧州·模拟预测)已知在中,角A,B,C所对的边分别为a,b,c,且.
(1)求C;
(2)求的最大值.
2.(23-24高一下·重庆·阶段练习)在中,.
(1)求的大小;
(2)求的取值范围.
3.(23-24高二上·浙江金华·阶段练习)记锐角的内角为,
(1)若,求角的最大值;
(2)当角时,求的取值范围.
4.(2024·辽宁·一模)在中,内角所对的边分别为,满足.
(1)求证:;
(2)若为锐角三角形,求的最大值.
七、边化角型:角非对边型
1.(23-24高一下·吉林长春·阶段练习)的内角A,B,C所对的边分别是a,b,c,已知
(1)求角B;
(2)若,角,求的取值范围.
2.(2024·贵州遵义·阶段练习)记的内角A,B,C的对边分别为a,b,c,已知.
(1)求A;
(2)若为锐角三角形,,求b的取值范围.
3.(2024·四川德阳·阶段练习)的内角的对边分别为,已知.
(1)求;
(2)若为锐角三角形,且,求面积的取值范围.
4.(23-24高三下·陕西安康·开学考试)在中,角的对边分别是,,,且.
(1)求角的大小;
(2)若,求面积的最大值.
八、边化角型:边非对称型
1.(23-24高一下·湖南衡阳·阶段练习)在中,内角的对边分别为.
(1)求;
(2)若,求的最大值.
2.(23-24高一下·浙江·期中)在中,角所对的边分别为,且满足
(1)求角的值;
(2)若且,求的取值范围.
3.(23-24高一下·河北石家庄·阶段练习)在中,角A、B、C的对边分别为a、b、c,若,且.
(1)求角B的大小;
(2)若,求的取值范围.
4.(23-24高一下·山西运城·阶段练习)已知△ABC中,角A,B,C的对边分别为a,b,c,△ABC的外接圆半径为R,且.
(1)求B;
(2)若,,求的取值范围.
九、边化角型:比值分式型范围
1.(23-24高一下·吉林长春·期中)记的内角A,B,C所对的边分别为a,b,c.已知向量,.
(1)设单位向量,若与共线,且,求A;
(2)当且为斜三角形时:
(i)若,求B;
(ii)求的最小值.
2.(23-24高一下·浙江·阶段练习)在中,内角的对边分别为,且.
(1)求角;
(2)若,求面积的最大值;
(3)若为锐角三角形,求的取值范围.
3.(23-24高一下·山东滨州·开学考试)从下面两个条件中任选一个补全题干,并回答相关问题.已知在三角形中,
条件①:
条件②:
(1)求;
(2)若该三角形是锐角三角形,求的取值范围.
4.(2024·江西鹰潭·二模)的内角的对边分别为,,,满足.
(1)求证:;
(2)求的最小值.
十、“三大线”型:中线型范围
1.(2021·河南·三模)在中,角的对边分别为,,,且.
(1)求角的大小;
(2)若边上的中线,求三角形面积的最大值.
2.(23-24高二下·辽宁本溪·开学考试)在①;②;③;这三个条件中任选一个,补充在下面的问题中,并解答问题(其中S为的面积).
问题:在中,角A,B,C的对边分别为a,b,c,且______.
(1)求角B的大小;
(2)AC边上的中线,求的面积的最大值.
3.(23-24高一下·云南·阶段练习)在中,角的对边分别是,且.
(1)求角;
(2)若的中线,求面积的最大值.
4.(2024·全国·模拟预测)在中,内角的对边分别为.已知.
(1)求.
(2)若点为边的中点,且,求面积的最大值.
十一、“三大线”型:角平分线型范围
1.(23-24高一下·山东·阶段练习)的内角的对边分别为,满足
(1)求;
(2)的角平分线与交于点,求的最小值.
2.(23-24高二下·广东汕头·期中)在△ABC中,角A,B,C的对边长依次是a,b,c,,.
(1)求角B的大小;
(2)若AD是∠BAC的内角平分线,当△ABC面积最大时,求AD的长.
3.(2024·山西吕梁·一模)设的内角的对边分别为,已知.
(1)求;
(2)设的角平分线交于点,求的最小值.
4.(2023·湖南郴州·三模)在中,内角所对的边分别为,已知
(1)求角.
(2)的角平分线交于点,且,求的最小值.
十二、“三大线”型:高与范围最值型
1.(2023·全国·模拟预测)已知中,角的对边分别为.
(1)求;
(2)若边上的高为,求面积的最小值.
2.(2023·全国·模拟预测)已知中,角A,B,C的对边分别为a,b,c,.
(1)求B;
(2)若AC边上的高为,求b取得最小值时的面积.
3.(22-23高二下·河北·期末)记的内角A、B、C的对边分别为a、b、c,且.
(1)求角的大小;
(2)设边上的高,求面积的最小值.
4.(2022·福建福州·三模)已知的内角、、所对的边分别为、、,.
(1)求角;
(2)若边上的高线长为,求面积的最小值.
十三、“三大线”型:定比分点型范围
1.(23-24高一下·浙江·期中)在中,内角的对边分别为,且.
(1)求角;
(2)若点为边上靠近的三等分点,且,求面积的最大值.
2.(23-24高一下·江苏镇江·阶段练习)在①;②两个条件中任选一个,补充在下面的问题中,并解答该问题.在中,角A,B,C所对的边分别是a,b,c,且______.
(1)求角B的大小:
(2)若点D在的延长线上,且,,求面积的最大值.
3.(23-24高一下·广西百色·阶段练习)的内角的对边分别为,已知.
(1)求;
(2)若点在上,满足,求面积的最大值.
4.(2024·全国·模拟预测)在中,角所对的边分别为,且满足.
(1)求角;
(2)若点在线段上,且满足,求面积的最大值.
十四、内切圆型
1.(2024·全国·模拟预测)在中,角A,B,C所对的边分别为a,b,c,且.
(1)求;
(2)若,求内切圆半径取值范围.
2.(23-24高三上·江苏·阶段练习)已知的内角,,所对的边分别为,,,且.
(1)求;
(2)若,求内切圆周长的最大值.
3.(22-23高一下·山东淄博·期末)如图,平面四边形中,,,,的内角,,的对边分别是,,,且满足.
(1)判断四边形是否有外接圆?若有,求其半径;若无,说明理由,
(2)求内切圆半径的取值范围.
4.(22-23高一下·黑龙江双鸭山·阶段练习)已知的三个内角的对边分别为,且,.
(1)求的最大值;
(2)若的内切圆半径为,求的最大值.
十五、外接圆型
1.(2024·全国·模拟预测)已知中,角,,的对边分别是,,,.
(1)求角的大小;
(2)若,外接圆的半径为,内切圆半径为,求的最小值.
2.(2024·湖北武汉·模拟预测)已知锐角的三内角的对边分别是,且,
(1)求角的大小;
(2)如果该三角形外接圆的半径为,求的取值范围.
3.(2024·江西宜春·模拟预测)记的内角A,B,C所对的边分别为a,b,c,已知.
(1)求的值;
(2)若外接圆的半径为,且为锐角,求面积的最大值.
十六、新定义型压轴题
1.(23-24高一下·广东广州·期中)在中,内角的对边分别为,已知
(1)求角;
(2)已知,点是边上的两个动点(不重合),记.
①当时,设的面积为,求的最小值:
②三角和差化积公式是一组应用广泛的三角恒等变换式,其形式如图:
它在工程学、绘图测量学等方面,有着广泛的应用.现记,请利用该公式,探究是否存在实常数和,对于所有满足题意的,都有成立?若存在,求出和的值;若不存在,说明理由.
2.(23-24高一下·江苏常州·期中)三角形的布洛卡点是法国数学家、数学教育学家克洛尔于1816年首次发现,但他的发现并未被当时的人们所注意.1875年,布洛卡点被一个数学爱好者布洛卡重新发现,并用他的名字命名.当内一点满足条件时,则称点为的布洛卡点,角为布洛卡角.如图,在中,角所对边长分别为,点为的布洛卡点,其布洛卡角为.
(1)若.求证:
①(为的面积);
②为等边三角形.
(2)若,求证:.
3.(23-24高一上·江苏扬州·阶段练习),满足,且有,.
(1)求,的解析式.
(2)令的图象位于上方的的取值的集合为,有,使中,且满足的的取值只有一对.设所对边分别为,其中,是线段上一动点.证明:为定值
(3)在(2)的条件下为内部一点,求最小值.
注:.
4.(22-23高一下·福建厦门·期末)在中,内角A,B,C的对边分别为a,b,c.已知.
(1)求角A;
(2)已知,,点P,Q是边上的两个动点(P,Q不重合),记.
①当时,设的面积为S,求S的最小值:
②记,.问:是否存在实常数和k,对于所有满足题意的,,都有成立?若存在,求出和k的值;若不存在,说明理由.
5.(2024·河北·二模)若内一点满足,则称点为的布洛卡点,为的布洛卡角.如图,已知中,,,,点为的布洛卡点,为的布洛卡角.
(1)若,且满足,求的大小.
(2)若为锐角三角形.
相关试卷
这是一份专题05解三角形压轴小题归类(原卷+解析),文件包含专题05解三角形压轴小题归类原卷版docx、专题05解三角形压轴小题归类解析版docx等2份试卷配套教学资源,其中试卷共52页, 欢迎下载使用。
这是一份2024年高考数学二轮培优专题 数列综合大题归类(原卷版+含解析),共43页。
这是一份2024年新高考数学二轮培优专题 数列综合大题归类(原卷版+含解析),共43页。

