


所属成套资源:2024年中考数学压轴题型(浙江专用)专题 (含解析)
2024年中考数学压轴题型(浙江专用)压轴题06 相似相关压轴题(含解析)
展开
这是一份2024年中考数学压轴题型(浙江专用)压轴题06 相似相关压轴题(含解析),共39页。试卷主要包含了【特例感知】等内容,欢迎下载使用。
01 相似三角形压轴题
1.(2023•绍兴模拟)小明在学习角平分线知识的过程中,做了进一步探究:如图1,在△ABC中,∠BAC的平分线交BC于点D,
发现.小明想通过证明来验证这个结论.证明:延长BA至E,使得AC=AE,…请你完成上述证明过程:
结论应用
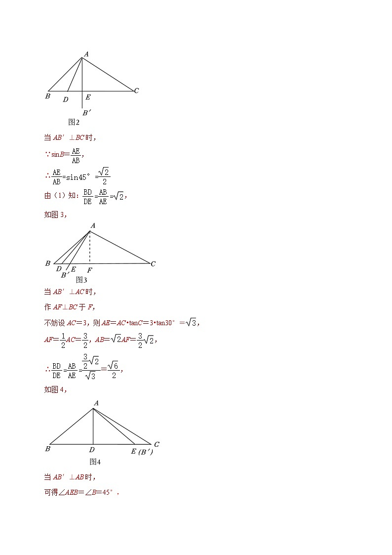
已知在△ABC中,∠C=30°,∠B=α,BC边上有一动点D,连结AD,点B关于AD的对称点为点,连结AB′交BC于点E.
(1)如图2当α=30°,AB′⊥BC,求的值.
(2)如图3当α=45°,AB′与△ABC的边垂直时,求的值.
【分析】延长BA至E,使得AC=AE,连接CE,可推出∠BAD=∠E,从而AD∥CE,从而推出,进一步得出结论;
(1)可推出AD平分∠BAE,从而得出;
(2)分为三种情形:当AB′⊥BC时,由(1)知:,当AB′⊥AC时,作AF⊥BC于F,不妨设AC=3,则AE=,AF=AC=,AF=,从而得出=,当AB′⊥AB时,可得出.
【解答】证明:如图1,
延长BA至E,使得AC=AE,连接CE,
∴∠E=∠ACE,
∴∠BAC=∠E+∠ACE=2∠E,
∵AD平分∠BAC,
∴∠BAC=∠BAD,
∴∠BAD=∠E,
∴AD∥CE,
∴,
∴;
解:(1)∵AB′⊥BC,
∴∠AEB=90°,
∵∠B=30°,
∴AB=2AE,
∵点B关于AD的对称点为点B′,
∴AD平分∠BAE,
∴;
(2)如图2,
当AB′⊥BC时,
∵sinB=,
∴
由(1)知:,
如图3,
当AB′⊥AC时,
作AF⊥BC于F,
不妨设AC=3,则AE=AC•tanC=3•tan30°=,
AF=AC=,AB=AF=,
∴=,
如图4,
当AB′⊥AB时,
可得∠AEB=∠B=45°,
∴AB=AE,
∴
综上所述:=或或1.
2.(2023•湖州)【特例感知】
(1)如图1,在正方形ABCD中,点P在边AB的延长线上,连结PD,过点D作DM⊥PD,交BC的延长线于点M.求证:△DAP≌△DCM.
【变式求异】
(2)如图2,在Rt△ABC中,∠ABC=90°,点D在边AB上,过点D作DQ⊥AB,交AC于点Q,点P在边AB的延长线上,连结PQ,过点Q作QM⊥PQ,交射线BC于点M.已知BC=8,AC=10,AD=2DB,求的值.
【拓展应用】
(3)如图3,在Rt△ABC中,∠BAC=90°,点P在边AB的延长线上,点Q在边AC上(不与点A,C重合),连结PQ,以Q为顶点作∠PQM=∠PBC,∠PQM的边QM交射线BC于点M.若AC=mAB,CQ=nAC(m,n是常数),求的值(用含m,n的代数式表示).
【分析】(1)根据正方形的性质及角的和差推出∠A=∠DCM,AD=DC,∠ADP=∠CDM,利用ASA即可证明△DAP≌△DCM;
(2)作QN⊥BC于点N,则四边形DBNQ是矩形,根据矩形的性质推出∠DQN=90°,QN=DB,根据角的和差推出∠DQP=∠MQN,结合∠QDP=∠QNM=90°,推出△DQP∽△NQM,根据相似三角形的性质得到,根据勾股定理求出AB=6,则DB=2,根据矩形的性质推出DQ∥BC,进而推出△ADQ∽△ABC,根据相似三角形的性质求解即可;
(3)根据题意推出CQ=mnAB,AQ=(m﹣mn)AB,根据勾股定理求出BC=AB,根据四边形内角和定理及邻补角定义推出∠AQP=∠NQM,结合∠A=∠QNM=90°,推出△QAP∽△QNM,根据相似三角形的性质得出,根据题意推出△QCN∽△BCA,根据相似三角形的性质求出,据此求解即可.
【解答】(1)证明:在正方形ABCD中,∠A=∠ADC=∠BCD=90°,AD=DC,
∴∠DCM=180°﹣∠BCD=90°,
∴∠A=∠DCM,
∵DM⊥PD,
∴∠ADP+∠PDC=∠CDM+∠PDC=90°,
∴∠ADP=∠CDM,
在△DAP和△DCM中,
,
∴△DAP≌△DCM(ASA);
(2)解:如图2,作QN⊥BC于点N,
∵∠ABC=90°,DQ⊥AB,QN⊥BC,
∴四边形DBNQ是矩形,
∴∠DQN=90°,QN=DB,
∵QM⊥PQ,
∴∠DQP+∠PQN=∠MQN+∠PQN=90°,
∴∠DQP=∠MQN,
∵∠QDP=∠QNM=90°,
∴△DQP∽△NQM,
∴,
∵BC=8,AC=10,∠ABC=90°,
∴,
∵AD=2DB,
∴DB=2,
∵∠ADQ=∠ABC=90°,
∴DQ∥BC,
∴△ADQ∽△ABC,
∴,
∴,
∴;
(3)解:∵AC=mAB,CQ=nAC,
∴CQ=mnAB,
∴AQ=AC﹣CQ=(m﹣mn)AB,
∵∠BAC=90°,
∴,
如图3,作QN⊥BC于点N,
∵∠BAC+∠ABN+∠BNQ+∠AQN=360°,∠BAC=90°,
∴∠ABN+∠AQN=180°,
∵∠ABN+∠PBN=180°,
∴∠AQN=∠PBN,
∵∠PQM=∠PBC,
∴∠PQM=∠AQN,
∴∠AQP=∠NQM,
∵∠A=∠QNM=90°,
∴△QAP∽△QNM,
∴,
∵∠A=∠QNC=90°,∠QCN=∠BCA,
∴△QCN∽△BCA,
∴,
∴,
∴.
02 相似与四边形的结合问题
1.(2023•鄞州区校级模拟)【感知】如图①,在四边形ABCD中,点E为边BC上的一点,连接AE、DE,∠AED=90°,
可得到△ABE∽△△ECD(不需要证明).
【探索】如图②,有一矩形纸片ABCD,点E为边BC的中点,点F为边AB上的一点.连接DE,EF,将矩形纸片ABCD分别沿DE、EF折叠,使CE、BE在EG处重合.
(1)求证:△BEF∽△CDE.
(2)若BC=8,CD=5,则BF= .
【应用】如图③,在边长为2的正方形ABCD中,点E为边BC的中点.连接DE,将△CDE沿DE折叠得到△FDE,DF交AC于点G,直接写出CG的长.
【分析】(1)根据矩形的性质得到∠B=∠C=90°,再根据折叠的性质得,,再利用等角的余角相等,可得∠BEF=∠EDC,进而证明△BEF∽△CDE;
(2)利用△BEF∽△CDE,得到,代入数值计算即可求解;
【应用】延长DF交AB于点H,连接HE,根据已知条件可证明Rt△BEH≌Rt△FEH(HL),再证明△BEF∽△CDE,利用相似比即可求得BH的长,进而求出AH,再根据AB∥CD得到∠BAG=∠GCD,以及对顶角相等得∠AGH=∠CGD,即可证明△AGH∽△CGD,从而得出相似比,进而得以求解.
【解答】(1)证明:∵四边形ABCD是矩形,
∴∠B=∠C=90°,
∴∠DEC+∠EDC=90°,
∵将矩形ABCD沿着DE、EF折叠,使CE、BE在EG处重合,
∴,,
∵∠CEG+∠BEG=180°,
∴,
即∠FED=90°,
∴∠BEF+∠CED=180°﹣∠FED=90°,
∴∠BEF=∠EDC,
∴△BEF∽△CDE;
(2)解:∵点E为边BC的中点,BC=8,
∴,
∵△BEF∽△CDE,
∴,
即,,
故答案为:;
【应用】解:延长DF交AB于点H,如图所示:
∵四边形ABCD是正方形,
∴∠B=∠DCE=∠ADC=90°,AB=BC=CD=AD=2,
由折叠的性质可知:∠DFE=∠DCE=90°,CE=EF,
∵点E为边BC的中点,
∴,
在Rt△BEH和Rt△FEH中,
,
∴Rt△BEH≌Rt△FEH(HL),
∴,
∵,
∴,
∴∠BEH=∠CDE,
又∵∠B=∠DCE=90°,
∴△BEH∽△CDE,
∴,即,
∴,
∴,
∵AB∥CD,
∴∠BAG=∠GCD,
∵∠AGH=∠CGD,
∴△AGH∽△CGD,
∴,
在Rt△ADC中,,
∴,
∴,
∴.
2.(2023•余姚市一模)【基础巩固】
(1)如图1,在△ABC中,D为BC上一点,连结AD,E为AD上一点,连结CE,若∠BAD=∠ACE,CD=CE,求证:△ABD∽△CAE.
【尝试应用】
(2)如图2,在平行四边形ABCD中,对角线AC、BD交于点O,E为OC上一点,连结BE,∠CBE=∠DCO,BE=DO,若BD=12,OE=5,求AC的长.
【拓展提升】
(3)如图3,在菱形ABCD中,对角线AC、BD交于点O,E为BC中点,F为DC上一点,连结OE、AF,∠AEO=∠CAF,若,AC=6,求菱形ABCD的边长.
【分析】(1)可证得∠CDE=∠CED,从而∠ADB=∠CEA,进一步得出结论;
(2)可证得∠BEO=∠BOE,从而得出∠BEC=∠COD,进而得出△BEC∽△COD,从而,设OC=x,则CE=OC﹣OE=x﹣5,从而得出,从而求得x的值,进一步得出结果;
(3)延长AG,BC,交于点G,可得出△CGF∽△DAF,从而,进而表示出CG,可证得△AOE∽△GCA,从而,进而求得t的值,进一步得出结果.
【解答】(1)证明:∵CD=CE,
∴∠CDE=∠CED,
∴180°﹣∠CDE=180°﹣∠CED,
∴∠ADB=∠CEA,
∵∠BAD=∠ACE,
∴△ABD∽△CAE.
(2)解:∵四边形ABCD是平行四边形,
∴,
∴BE=DO=BO=6.
∴∠BEO=∠BOE,
∴180°﹣∠BEO=180°﹣∠BOE,
∴∠BEC=∠COD.
∵∠CBE=∠DCO,
∴△BEC∽△COD,
∴,
设OC=x,则CE=OC﹣OE=x﹣5,
∴,
∴x1=9,x2=﹣4(舍去),
∴OC=9,
∴AC=2OC=18;
(3)解:如图,
延长AG,BC,交于点G.
∵,
∴设DF=5t,FC=3t,则CD=8t,
∵四边形ABCD是菱形,
∴AB=AD=BC=CD=8t,AD∥BC,,AC⊥BD,
∴△CGF∽△DAF,
∴,
即,
∴.
在Rt△BOC中,
∵E为BC的中点,
∴OE=CE=BC=4t.
∴∠COE=∠ACE,
∴∠AOE=∠ACG,
∵∠AEO=∠CAF,
∴△AOE∽△GCA,
∴,
即,
∴t1=,t2=﹣(舍去),
∴,
即菱形ABCD的边长为.
3.(2023•婺城区模拟)在矩形ABCD中,AB=4,AD=10,E是AD上的一点,且AE=2,M是直线AB上一点,射线ME交直线CD于点F,EG⊥ME交直线BC于点G,连结MG、FG,直线FG交直线AD于点N.
(1)①当点M为AB中点时,求DF与EG的长;
②求的值.
(2)若△EGN为等腰三角形时,求满足条件的AM的长.
【分析】(1)①过点G作GH⊥AD于点H,易得AB=GH=2,△AEM为等腰直角三角形∠DEF=∠AEM=45°,进而得到△DEF为等腰直角三角形,DF=DE=8,由EG⊥ME可推出∠GEH=45°,则△GEH为等腰直角三角形,EG=GH=;
②过点G作GK⊥AD于点K,易得KG=AB=4,DE=8,易证△AEM∽△KGE,△KGE∽△DEF,得到=,,于是tan∠EGM=,tan∠EFG=,进而可得∠EGM=∠EFG,由等角加同角相等得∠MGF=90°,在Rt△FGM中,tan∠MFG==;
(2)易得△AEM∽△DEF,得到,设AM=a,则BM=4﹣a,DF=4a,CF=4+4a,易证BGM∽△CFG,根据相似三角形的性质可求得BG=2a+2,CG=8﹣2a,再分三种情况讨论:(Ⅰ)当EG=NG时,过点G作GP⊥AD于点P,则AP=BG=2a+2,PE=PN,进而求出PN=PE=2a,EN=4a,DN=8﹣4a,再利用平行线分线段成比例得到,以此建立方程求解即可;(Ⅱ)当EN=NG时,过点E作EQ⊥BC于点Q,则∠NEG=∠NGE,AE=BQ=2,AB=EQ=4,进而求出QG=2a,由平行线的性质得到∠NEG=∠EGQ,于是∠EGQ=∠NGE,由等角的余角相等得∠QFG=∠EFG,则tan∠QFG=tan∠EFG==,以此建立方程求解即可;(Ⅲ)当EN=EG时,则∠ENG=∠EGN,由平行线的性质可得∠ENG=∠NGC,于是∠EGN=∠NGC,由等角的余角相等得∠EFG=∠CFG,进而得到tan∠CFG=tan∠EFG==,以此建立方程求解即可.
【解答】解:(1)①当点M为AB中点时,如图,过点G作GH⊥AD于点H,
则∠GHA=90°,
∵四边形ABCD为矩形,
∴∠A=∠B=90°,
∴四边形ABGH为矩形,
AB=GH=2,
∵点M为AB的中点,
∴AM=BM=2,
∵AE=2,
∴AM=AE=2,DE=AD﹣AE=8,
∴△AEM为等腰直角三角形,∠AEM=45°,
∴∠DEF=∠AEM=45°,
∴△DEF为等腰直角三角形,DF=DE=8,
∵EG⊥ME,
∴∠MEG=90°,
∴∠GEH=45°,
∴△GEH为等腰直角三角形,EG=GH=,
∴DF=8,EG=;
②如图,过点G作GK⊥AD于点K,
则KG=AB=4,
∵AE=2,
∴DE=8,
∵EG⊥ME,
∴∠AEM+∠KEG=90°,∠KGE+∠KEG=90°,∠KEG+∠DEF=90°,
∴∠AEM=∠KGE=∠DEF,
∴△AEM∽△KGE,△KGE∽△DEF,
∴,即=,
,即,
∴tan∠EGM=,tan∠EFG=,
∴∠EGM=∠EFG,
∵∠EGF+∠EFG=90°,
∴∠EGF+∠EGM=90°,即∠MGF=90°,
∴tan∠EFG==;
(2)∵∠AEM=∠DEF,∠EAM=∠EDF=90°,
∴△AEM∽△DEF,
∴,即,
设AM=a,则BM=4﹣a,DF=4a,
∴CF=CD+DF=4+4a,
由(1)②可知,∠MGF=90°,
∴∠BGM+∠CGF=90°,
∠CFG+∠CGF=90°,
∴∠BGM=∠CFG,
∵∠B=∠C=90°,
∴△BGM∽△CFG,
∴,即,
∴BG=2a+2,CG=8﹣2a,
(Ⅰ)当EG=NG时,如图,过点G作GP⊥AD于点P,
则AP=BG=2a+2,PE=PN,
∴PN=PE=AP﹣AE=2a,
∴EN=4a,
∴DN=DE﹣EN=8﹣4a,
∵DN∥BC,
∴,即,
解得:a1=,(舍去),
∴AM=;
(Ⅱ)当EN=NG时,如图,过点E作EQ⊥BC于点Q,
则∠NEG=∠NGE,AE=BQ=2,AB=EQ=4,
∴QG=BC﹣BQ﹣CG=10﹣2﹣(8﹣2a)=2a,
∵AD∥BC,
∴∠NEG=∠EGQ,
∴∠EGQ=∠NGE,
∴∠QFG=∠EFG,
∴tan∠QFG=tan∠EFG==,
∴=,
解得:a=1,
∴AM=1;
(Ⅲ)当EN=EG时,如图,
则∠ENG=∠EGN,
∵AD∥BC,
∴∠ENG=∠NGC,
∴∠EGN=∠NGC,
∴∠EFG=∠CFG,
∵tan∠CFG=tan∠EFG=,
∴=,
解得:a=,
∴AM=.
当NG=GE时,同理可得,
∴AM=+1,
综上,当AM=或1或或+1时,△EGN为等腰三角形.
03 相似与圆的结合问题
1.(2023•温州)如图1,AB为半圆O的直径,C为BA延长线上一点,CD切半圆于点D,BE⊥CD,交CD延长线于点E,交半圆于点F,已知OA=,AC=1.如图2,连结AF,P为线段AF上一点,过点P作BC的平行线分别交CE,BE于点M,N,过点P作PH⊥AB于点H.设PH=x,MN=y.
(1)求CE的长和y关于x的函数表达式;
(2)当PH<PN,且长度分别等于PH,PN,a的三条线段组成的三角形与△BCE相似时,求a的值;
(3)延长PN交半圆O于点Q,当NQ=x﹣3时,求MN的长.
【分析】(1)先求出CD的长,由平行线分线段成比例可得,可求CE的长,通过证明△BCE∽△NME,可得,即可求解;
(2)分三种情况讨论,由相似三角形的性质列出方程可求解;
(3)由锐角三角函数可求BG的长,由线段的数量关系列出方程,即可求解.
【解答】解:(1)如图1,连接OD,
∵CD切半圆O于点D,
∴OD⊥CE,
∵OA=,AC=1,
∴OC=,BC=4,
∴CD==2,
∵BE⊥CE,
∴OD∥BE,
∴,
∴,
∴CE=,
如图2,∵∠AFB=∠E=90°,
∴AF∥CE,
∴MN∥CB,
∴四边形APMC是平行四边形,
∴CM=PA====x,
∵NM∥BC,
∴△BCE∽△NME,
∴,
∴=,
∴y=﹣x+4;
(2)∵PN=y﹣1=﹣x+4﹣1=﹣x+3,PH<PN,△BCE的三边之比为3:4:5,
∴可分为三种情况,
当PH:PN=3:5时,x=﹣x+3,解得:x=,
∴a=x=,
当PH:PN=4:5时,x=﹣x+3,解得:x=,
∴a=x=,
当PH:PN=3:4时,x=﹣x+3,解得:x=,
∴a=x=,
综上所述:a的值为或或;
(3)如图3,连接AQ,BQ,过点Q作QG⊥AB于点G,
则∠AQB=∠AGQ=90°,PH=QG=x,
∴∠QAB=∠BQG,
∵NQ=x﹣3,PN=y﹣1=﹣x+3,
∴HG=PQ=NQ+PN=x,
∵AH=x,
∴AG=AH+HG=3x,
∴tan∠BQG=tan∠QAB===,
∴BG=QG=x,
∴AB=AG+BG=x=3,
∴x=,
∴y=﹣x+4=,
∴MN的长为.
1.如图,在Rt△ABC中,∠BAC=90°,AD⊥BC于点D,E为AC边上的中点,连接BE交AD于F,将△AFE沿着AC翻折到△AGE,恰好有GE∥AD,则下列结论:①四边形AFEG为菱形;②2AE2=BD•BC;③S△ABF=S△CBF;④连接BG,.上述结论中正确的有 ①②③ .(填正确的序号).
【分析】由折叠的性质可得AF=AG,EF=GE,∠EAF=∠EAG,由平行线的性质可得∠EAG=∠GEA,可证AG=GE=AF=EF,可判断①;通过证明△BAE∽△CAB,△BAD∽△BCA,可得AB2=AE•AC,AB2=BC•BD,可判断②;由中线的性质可得S△ABF=S△ABE,S△BFC=S△BEC,可判断③;设AE=x,则AC=2x,利用x表示GH,BH的长,可求tan∠ABG==,可判断④,即可求解.
【解答】解:①∵将△AFE沿着AC翻折到△AGE,
∴△AFE≌△AGE,
∴AF=AG,EF=GE,∠EAF=∠EAG,
∵GE∥AD,
∴∠FAE=∠GEA,
∴∠EAG=∠GEA,
∴AG=GE,
∴AF=AG=EF=EG,
∴四边形AFEG是菱形,
故①正确;
②∵AD⊥BC,
∴∠ADB=∠BAC=90°,
又∵∠ABD=∠ABC,
∴△BAD∽△BCA,
∴,
∴AB2=BC•BD,
∵AF=EF,
∴∠FAE=∠FEA,
∵∠BAE=90°,
∴∠FAB=∠FBA,
∴AF=BF,
∵∠ABF+∠AEB=90°,∠BAF+∠ABD=90°,
∴∠ABD=∠AEB,
又∵∠BAE=∠BAE=90°,
∴△BAE∽△CAB,
∴,
∴AB2=AE•AC,
∵E为AC边上的中点,
∴AC=2AE,
∴AB2=AE•AC=2AE2=BC•BD,
故②正确;
③∵AE=EC,
∴S△ABE=S△BEC,
∵BF=EF,
∴S△ABF=S△ABE,S△BFC=S△BEC,
∴S△ABF=S△CBF;
故③正确;
④如图,过点G作GH⊥AB,交BA的延长线于H,
设AE=x,则AC=2x,
∵AB2=AE•AC,
∴AB=x,
∴BE===x,
∴AF=EF=x,
∵四边形AFEG是菱形,
∴AG∥BE,AG=AF=x,
∴∠HAG=∠ABE,
又∵∠H=∠BAE=90°,
∴△BAE∽△AHG,
∴===,
∴AH=AB=x,HG=AE=,
∴BH=AH+AB=x,
∴tan∠ABG===,
故④错误,
故答案为:①②③.
2.如图,在矩形ABCD中,AB=5,AD=3,先将△ABC沿AC翻折到△AB′C处,再将△AB'C沿翻折到△AB'C'处,延长CD交AC′于点M,则DM的长为 .
【分析】过点C′作C′E⊥AD的延长线于点E,设CD与AB′交于点G,根据矩形性质和翻折性质,设B′G=DG=x,CG=CD﹣DG=5﹣x,利用勾股定理求出x的值,证明△ADG∽△AB′F,求出B′F=,然后证明△CDF≌△AB′F(AAS),得DF=B′F=,再由△C′EF∽△CDF,得==,求出C′E=,EF=,证明△ADM∽△AEC′,对应边成比例即可求出DM的长.
【解答】解:如图,过点C′作C′E⊥AD的延长线于点E,设CD与AB′交于点G,
∵四边形ABCD是矩形,
∴AB=CD=5,AD=BC=3,AB∥CD,
∴∠BAC=∠DCA,
由翻折可知:∠BAC=∠B′AC,
∴∠B′AC=∠DCA,
∴GA=GC,
由翻折可知:B′A=BA=5,B′C=BC=B′C′=3,
∴B′A=CD=5,
∴B′G=DG,
设B′G=DG=x,
∴CG=CD﹣DG=5﹣x,
在Rt△B′CG中,根据勾股定理得:
B′G2+B′C2=CG2,
∴x2+32=(5﹣x)2,
∴x=,
∴B′G=DG=x=,
∴AG=CG=5﹣x=,
∵∠DAG=∠B′AF,∠ADG=∠AB′F=90°,
∴△ADG∽△AB′F,
∴=,
∴=,
∴B′F=,
∴C′F=C′B′﹣B′F=3﹣=,CF=CB′+B′F=3+=,
∵∠CFD=∠AFB′,∠CDF=∠AB′F=90°,CD=AB′,
∴△CDF≌△AB′F(AAS),
∴DF=B′F=,
∵C′E⊥AD,CD⊥AD,
∴C′E∥CD,
∴△C′EF∽△CDF,
∴==,
∴==,
∴C′E=,EF=,
∴DE=DF+EF=+=,
∴AE=AD+DE=3+=,
∵C′E∥DM,
∴△ADM∽△AEC′,
∴=,
∴=,
∴DM=.
故答案为:.
3.如图,在△ABC中,AB=BC,AD⊥BC,CE⊥AB,垂足分别是点D、点E,点F在DA的延长线上,连接BF交CE的延长线于点M,AD=2CD.
(1)若AE=2,则BD= 3 ;
(2)若BM:MF=6:7,EM=1,则AF= .
【分析】(1)证明△ADC≌△CEA(AAS),推出AE=CD=2,推出AD=2CD=4,设BE=BD=x,在Rt△ABD中,则有(x+2)2=x2+42,求出x即可解决问题;
(2)过F作FH⊥BA交BA的延长线于H,首先利用AAS证明△ABD≌△CBE,得BD=BE,设AD=2a,则DC=a,则BD=BE=a,由△BEM∽△BHF得FH,再由△AFH∽△ABD,即可解决问题.
【解答】(1)解:∵BA=BC,
∴∠BAC=∠BCA,
在△ABD和△CBE中,
,
∴△ABD≌△CBE(AAS);
∴BD=BE,∠BAD=∠BCE,
∴∠DAC=∠ACE,
∵∠AEC=∠ADC=90°,AC=CA,
∴△ADC≌△CEA(AAS),
∴AE=CD=2,
∴AD=2CD=4,
设BE=BD=x,
在Rt△ABD中,则有(x+2)2=x2+42,
∴x=3,
∴BD=3;
故答案为:3;
(2)解:过F作FH⊥BA交BA的延长线于H,
由(1)知:△ADC≌△CEA(AAS),
∴AE=CD,
∵AD⊥BC,AD=2CD,
设AD=2a,则DC=a,
设BE=BD=x,
在Rt△ABD中,则有(x+a)2=x2+(2a)2,
∴x=a,
∴BD=a,
∵△ABD≌△CBE(AAS),
∴BD=BE=a,
∵CE⊥AB,FH⊥BA,
∴EM∥FH,
∴△BEM∽△BHF,
∴=,
∵BM:MF=6:7,
∴BM:BF=6:13,
∵EM=1,
∴=,
∴FH=,
∵∠BAD=∠FAH,∠ADB=∠FHA=90°,
∴△AFH∽△ABD,
∴=,
∵AB=AE+BE=a+a=a,BD=a,
∴=,
∴AF=.
故答案为:.
4.如图1,在矩形ABCD中,AB=6,BC=8,点O在边BC上,以O为圆心BO为半径作⊙O,⊙O与射线BD的另一个交点为E,直线CE与射线AD交于点F.
(1)设BO=x,BE=y,求y与x之间的函数关系式,并直接写出x的取值范围;
(2)如图2,连接AO,当AO∥CE时,请求出⊙O的半径;
(3)如果射线EC与⊙O的另一个交点为Q,连接OQ,问是否存在△COQ为直角三角形,若存在,请直接写出Rt△COQ的面积;若不存在,请说明理由.
【分析】(1)过点O作OM⊥BD于点M,根据垂径定理得出,根据勾股定理求出,证明△BOM∽△BDC,得出,即,求出函数的解析式,最后求出x的取值范围即可;
(2)过点E作EH⊥BC于点H,设EH=3k,则BH=4k,根据勾股定理求出,求出,得,,求出,证明△ABO∽△EHC,得出,即 ,求出结果即可;
(3)根据哪个角是直角分类讨论,画出图形,利用勾股定理或相似三角形的性质列方程,求出直角边长即可得出答案.
【解答】解:(1)过点O作OM⊥BD于点M,如图1所示:
∵OM⊥BD,,
∵四边形ABCD为矩形,
∴AB=CD=6,AD=BC=8,∠ACD=∠ADC=∠BAD=90°,
由勾股定理得,
∵∠OBM=∠CBD,∠OMB=∠BCD=90°,
∴△BOM∽△BDC,
∴ ,
解得:,
当直线CE恰好经过A点时,,
∴5=x,
解得:,
∴;
(2)过点E作EH⊥BC于点H,如图2所示:
则∠EHB=90°,,
设EH=3k,则BH=4k,
∴,
∴,
解得:,
∴,,
∴,
∵CE∥AO,
∴∠ECH=∠AOB,
∵∠ABO=∠EHC=90°,
∴△ABO∽△EHC,
∴,
∴,
解得:或(不合题意,舍去),
即此时⊙O的半径为;
(3)存在△COQ为直角三角形,理由如下:
①若∠OQC=90° 时,过点O作OM⊥BD于点M,ON⊥BD于点N,如图3所示:
∵OQ⊥CE,点Q在⊙O上,
∴此时CE与⊙O相切,
∴E、Q重合,
∵,
∴,,,,
∵OM⊥BQ,
∴,
∵,
∴,
∵∠OMQ=∠CQO=∠CNQ=90°,∠OQM+∠MOQ=∠OQM+∠CQN=90°,
∴∠MOQ=∠CQN,
∴△OMQ∽△QNC,
∴,
即,
∴,
解得:,
∵,
此时不符合题意;
②∠OCQ=90° 时,此时E与D重合,如图4所示:
根据勾股定理得:x2=62+(8﹣x)2,
解得:,
则,
∵OC⊥DQ,
∴CQ=CD=6,
∴;
③∠COQ=90° 时,过点E作EF⊥BC,交BC延长线于点F,如图5,
则OB=OE=OF=x,,
∵,
∴,
解得:,
∵,
∴,
解得:,
∴,OC=8﹣x,
∵∠EFC=∠COQ=90°,∠ECF=∠OCQ,
∴△ECF∽△QCO,
∴,
∴,
代入数据,,
解得x=7,
∴,
综上,△OCQ的面积为或.
5.在学习图形的旋转时,创新小组同学们借助三角形和菱形感受旋转带来图形变化规律和性质.
【操作探究】
(1)如图1,已知△ABC,∠C=90°,将△ABC绕着直角边AC中点G旋转,得到△DEF,当△DEF的顶点D恰好落在△ABC的斜边AB上时,斜边DE与AC交于点H.
①猜想:∠ADC= 90 °.
②证明:△DGH∽△ADH.
【问题解决】
(2)在(1)的条件下,已知AC=4,BC=3,求CH的长.
【拓展提升】
(3)如图2,在菱形ABCD中,AC=8,BD=6,将菱形ABCD绕着AB中点M顺时针旋转,得到菱形EFGH,当菱形EFGH的顶点E分别恰好落在菱形ABCD的AD边和对角线BD上时,菱形EFGH的边与BC边相交于点N,请直接写出BN的长.
【分析】(1)①依据题意,可得AG=DG=GC,从而A、D、C在以G为圆心,AG为半径的圆上,进而可以判断∠ADC的度数;
②依据题意,由旋转的性质可知,∠HDG=∠HAD,又∠AHD=∠DHG,进而可以得解;
(2)依据题意,由勾股定理得,,又△DEF 的锐角顶点D恰好落在△ABC 的斜边AB上,从而可得A、D、C在以G为圆心,AG为半径的圆上,则∠ADC=90°,进而求出,再结合△HDG~△HAD,可得,又设GH=5x,则DH=8x,AH=5x+2,进而建立方程计算可以得解;
(3)依据题意,分两种情形进行讨论:①当E落在AD上时,连接BF、BE、EN,先证△AME≌△BMF,可得AE∥BF,又AE∥BC,从而BC和BF在同一直线,F在CB的延长线上,由(1)①可知∠AEB=90° (已证),则∠EBN=∠AEB=90°,可得,又
又S菱形ABCD=BC•BE,从而可得,再在Rt△EFB中,求出BF,又结合△EFN和菱形ABCD等底等高,进而S△EFN=S菱形ABCD,最后求出NF再进行计算可以得解;②当E落在BD上时,作EK⊥BC交BC于点K,由旋转可知,AM=BM=EM=MF,可得∠AEB=90°,先证E、M、B、N四点共圆,再作图连接MN和BE,可求得,结合,,可得BK的值,又在Rt△ENK中,由勾股定理可得BN的值.
【解答】(1)解:①由题意可知,AG=DG=GC,
∴A、D、C在以G为圆心,AG为半径的圆上.
∴∠ADC=90°.
故答案为:90.
②证明:由旋转的性质可知,∠HDG=∠HAD,
∵∠AHD=∠DHG,
∴△HDG~△HAD.
(2)解:∵AC=4,BC=3,由勾股定理得,.
∵△DEF 的锐角顶点D恰好落在△ABC 的斜边AB上,
∴AG=DG=GC.
∴A、D、C在以G为圆心,AG为半径的圆上,
∴∠ADC=90°.
∵,
∴.
∴.
∵△HDG~△HAD,
∴.
设GH=5x,则DH=8x,AH=5x+2,
∴.
∴解得 ,经检验, 是方程的解.
∴.
∴.
(3)解:①当E落在AD上时,如图所示,连接BF、BE、EN,
由M是中点和旋转可知,AM=EM=BM=MF,
又∵∠AME=∠BMF,
∴△AME≌△BMF,
∴∠EAM=∠FBM.
∴AE∥BF.
又∵四边形ABCD是菱形,
∴AE∥BC.
∴BC和BF在同一直线,F在CB的延长线上,由(1)①可知∠AEB=90° (已证).
∴∠EBN=∠AEB=90°.
∴.
∵菱形ABCD中,AC=8,BD=6,如图所示,
∴ ,BD⊥AC.
∴,S菱形ABCD=AC•BD=×8×6=24.
又∵S菱形ABCD=BC•BE=24,
∴.
在Rt△EFB中,EF=5,,
∴.
∵△EFN和菱形ABCD等底等高,
∴.
∴.
∴.
∴.
②当E落在BD上时,如图所示,作EK⊥BC交BC于点K.
由旋转可知,AM=BM=EM=MF,
∴∠AEB=90°.
∵四边形ABCD是菱形,
∴AC⊥BD,AD∥BC.
∴E在对角线AC的中点上,即E在AC和BD的交点上.
∵E是BD的中点,M是BH的中点,
∴EM∥DH,;EM∥BC,.
由旋转可知,∠DAB=∠FEH.
∵AD∥BC,
∴∠DAB+∠ABC=180°.
∴∠FEH+∠ABC=180°.
∴E、M、B、N四点共圆.
如下图所示,连接MN和BE,
∵ME=MB,
∴∠MEB=∠MNB=∠ENM=∠EBM.
∵BN∥EM,
∴∠EMN=∠ENM.
∴.
∴,.
∴ .
∴ .
在Rt△ENK中, ,
∴.
∴.
6.综合与实践.
【问题发现】
(1)如图1,在正方形ABCD中,E为对角线AC上的动点,过点B作BE的垂线,过点C作AC的垂线,两条垂线交于点F,连接EF,求证:BE=BF.
【类比探究】
(2)如图2,在矩形ABCD中,E为对角线AC上的动点,过点B作BE的垂线,过点C作AC的垂线,两条垂线交于点F,且∠ACB=60°,连接EF,求的值.
【拓展延伸】
(3)如图3,在(2)的条件下,将E改为直线AC上的动点,其余条件不变,取线段EF的中点M,连接BM,CM.若,则当△CBM是直角三角形时,请求出CF的长.
【分析】(1)由“ASA”可证△ABE≌△CBF,可得BE=BF;
(2)通过证明△ABE∽△CBF,可得==;
(3)求出EF=2CM=2,设CF=x,则AE=x,分两种情况解答,由勾股定理可求出答案.
【解答】(1)证明:∵四边形ABCD是正方形,
∴∠BAC=∠BCA=45°,∠ABC=90°,AB=BC,
∵BE⊥BF,CF⊥AC,
∴∠EBF=∠ECF=90°=∠ABC,
∴∠ABE=∠CBF,∠BCF=45°=∠BAC,
∴△ABE≌△CBF(ASA),
∴BE=BF;
(2)解:∵∵BE⊥BF,CF⊥AC,
∴∠EBF=∠ECF=90°,
∴点C,点E,点B,点F四点共圆,
∴∠ACB=∠EFB=60°,
∴∠BAE=∠BEF=30°,
∴AB=BC,BE=BF,
∴=
∵∠EBF=∠ABC,
∴∠ABE=∠CBF,
∴△ABE∽△CBF,
∴==;
(3)解:由(2)知:==,
∵AB=2,
∴CB=2,
∵△ABE∽△CBF,
∴∠ABE=∠CBF,
∴∠EBF=∠EBC+∠CBF=∠EBC+∠ABE=∠ABC=90°,
∵M为EF的中点,
∴BM=EF,
由(2)知∠ACF=90°,
∴CM=EF,
∴BM=CM,
又∵△CBM是直角三角形,
∴CM=BC=,
∴EF=2CM=2,
设CF=x,则AE=x,
∵∠CAB=30°,BC=2,
∴AC=2BC=4,
∴CE=AC﹣AE=4﹣x,
∵∠ECF=90°,
∴CE2+CF2=EF2,
∴x2+(4﹣x)2=8,
∴x=﹣1或x=+1(不合题意,舍去),
当∠MBC=90°或∠MCB=90°时,点M不存在,
当E在AC延长线上时,设CF=x,则AE=x,
∵∠CAB=30°,BC=2,
∴AC=2BC=4,
∴CE=AE﹣AC=x﹣4,
∵∠ECF=90°,
∴CE2+CF2=EF2,
∴x2+(x﹣4)2=8,
∴x=﹣1(不合题意,舍去)或x=+1,
综上所述,CF的长为﹣1或+1.
相关试卷
这是一份2024年中考数学压轴题型(浙江专用)压轴题04 圆的综合压轴题(含解析),共45页。试卷主要包含了,连接OF等内容,欢迎下载使用。
这是一份2024年中考数学压轴题型(浙江专用)压轴题03 二次函数代数类考点压轴题(含解析),共39页。试卷主要包含了已知二次函数,定义等内容,欢迎下载使用。
这是一份2024年中考数学压轴题型(浙江专用)压轴题02 反比例函数综合压轴题(含解析),共30页。试卷主要包含了已知等内容,欢迎下载使用。