所属成套资源:中考数学二轮复习二次函数压轴题核心考点突破专题 (2份打包,原卷版+教师版)
中考数学二轮复习二次函数压轴题核心考点突破专题12 菱形的存在性问题(2份打包,原卷版+教师版)
展开
这是一份中考数学二轮复习二次函数压轴题核心考点突破专题12 菱形的存在性问题(2份打包,原卷版+教师版),文件包含中考数学二轮复习二次函数压轴题核心考点突破专题12菱形的存在性问题原卷版doc、中考数学二轮复习二次函数压轴题核心考点突破专题12菱形的存在性问题教师版doc等2份试卷配套教学资源,其中试卷共35页, 欢迎下载使用。
作为一种特殊的平行四边形,我们已经知道可以从以下几种方式得到菱形:
(1)有一组邻边相等的平行四边形菱形;
(2)对角线互相垂直的平行四边形是菱形;
(3)四边都相等的四边形是菱形.
坐标系中的菱形存在性问题也是依据以上去得到方法.和平行四边形相比,菱形多一个“对角线互相垂直”或“邻边相等”,但这两者其实是等价的,故若四边形ABCD是菱形,则其4个点坐标需满足:
SKIPIF 1 < 0
考虑到互相垂直的两条直线斜率之积为1在初中并不适合直接用,故取两邻边相等.
即根据菱形的图形性质,我们可以列出关于点坐标的3个等式,
故菱形存在性问题点坐标最多可以有3个未知量,与矩形相同.
因此就常规题型而言,菱形存在性至少有2个动点,多则有3个动点,可细分如下两大类题型:
(1)2个定点+1个半动点+1个全动点
(2)1个定点+3个半动点
解决问题的方法也可有如下两种:
思路1:先平四,再菱形
设点坐标,根据平四存在性要求列出“A+C=B+D”(AC、BD为对角线),再结合一组邻边相等,得到方程组.
思路2:先等腰,再菱形
在构成菱形的4个点中任取3个点,必构成等腰三角形,根据等腰存在性方法可先确定第3个点,再确定第4个点.
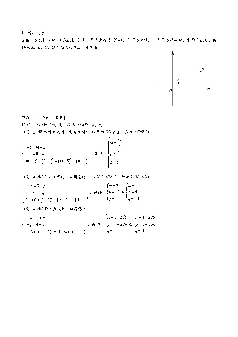
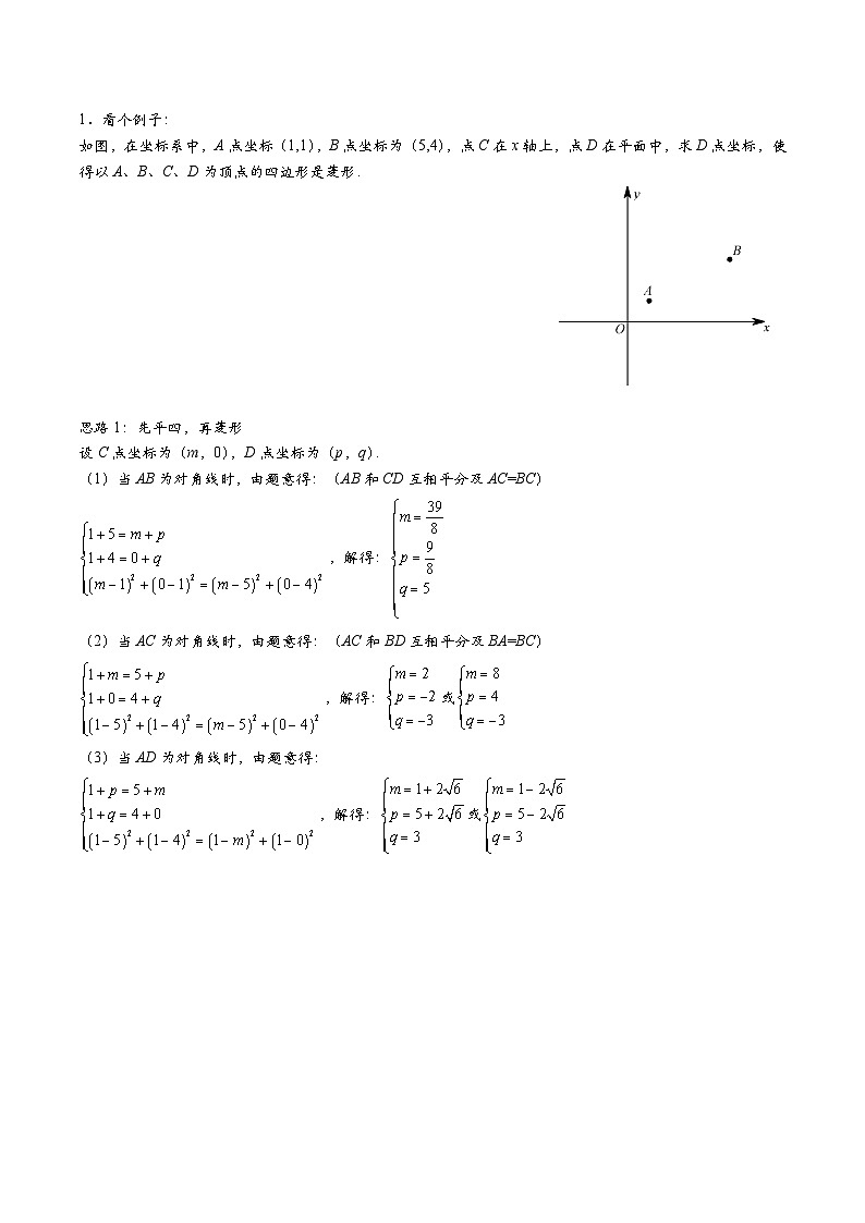
看个例子:
如图,在坐标系中,A点坐标(1,1),B点坐标为(5,4),点C在x轴上,点D在平面中,求D点坐标,使得以A、B、C、D为顶点的四边形是菱形.
思路1:先平四,再菱形
设C点坐标为(m,0),D点坐标为(p,q).
(1)当AB为对角线时,由题意得:(AB和CD互相平分及AC=BC)
SKIPIF 1 < 0 ,解得: SKIPIF 1 < 0
(2)当AC为对角线时,由题意得:(AC和BD互相平分及BA=BC)
SKIPIF 1 < 0 ,解得: SKIPIF 1 < 0 或 SKIPIF 1 < 0
(3)当AD为对角线时,由题意得:
SKIPIF 1 < 0 ,解得: SKIPIF 1 < 0 或 SKIPIF 1 < 0
思路2:先等腰,再菱形
先求点C,点C满足由A、B、C构成的三角形一定是等腰三角形,用等腰存在性问题的方法先确定C,再确定D点.
(1)当AB=AC时,
C点坐标为 SKIPIF 1 < 0 ,对应D点坐标为 SKIPIF 1 < 0 ;
C点坐标为 SKIPIF 1 < 0 ,对应D点坐标为 SKIPIF 1 < 0 .
(2)当BA=BC时,
C点坐标为(8,0),对应D点坐标为(4,-3);
C点坐标为(2,0),对应D点坐标为(-2,-3).
(3)AC=BC时,
C点坐标为 SKIPIF 1 < 0 ,D点坐标为 SKIPIF 1 < 0 .
以上只是两种简单的处理方法,对于一些较复杂的题目,还需具体问题具体分析,或许有更为简便的方法.
二、典例精析
如图,抛物线 SKIPIF 1 < 0 与x轴交于A、B两点,与y轴交于C点,OA=2,OC=6,连接AC和BC.
(1)求抛物线的解析式;
(2)若点M是y轴上的动点,在坐标平面内是否存在点N,使以点A、C、M、N为顶点的四边形是菱形?若存在,请直接写出点N的坐标;若不存在,请说明理由.
【分析】
(1)抛物线: SKIPIF 1 < 0 ;
(2)先考虑M点位置,即由A、C、M三点构成的三角形是等腰三角形:
①当CA=CM时,
即CM=CA= SKIPIF 1 < 0 ,M点坐标为 SKIPIF 1 < 0 、 SKIPIF 1 < 0 ,
对应N点坐标为 SKIPIF 1 < 0 、 SKIPIF 1 < 0 .
②当AC=AM时,
即AM=AC= SKIPIF 1 < 0 ,M点坐标为(0,6),
对应N点坐标为(2,0).
③当MA=MC时,
勾股定理可求得M点坐标为 SKIPIF 1 < 0 ,
对应N点坐标为 SKIPIF 1 < 0 .
综上,N点坐标为 SKIPIF 1 < 0 、 SKIPIF 1 < 0 、(2,0)、 SKIPIF 1 < 0 .
如下图依次从左到右.
三、中考真题演练
1.(2023·西藏·中考真题)在平面直角坐标系中,抛物线 SKIPIF 1 < 0 与x轴交于 SKIPIF 1 < 0 , SKIPIF 1 < 0 两点,与y轴交于点C.
(1)求抛物线的解析式;
(3)如图乙,点P为抛物线对称轴上一点,是否存在P、Q两点使以点A,C,P,Q为顶点的四边形是菱形?若存在,求出P、Q两点的坐标,若不存在,请说明理由.
【分析】(1)将 SKIPIF 1 < 0 , SKIPIF 1 < 0 代入 SKIPIF 1 < 0 ,求出 SKIPIF 1 < 0 ,即可得出答案;
(3)抛物线 SKIPIF 1 < 0 的对称轴为直线 SKIPIF 1 < 0 ,设 SKIPIF 1 < 0 , SKIPIF 1 < 0 ,求出 SKIPIF 1 < 0 , SKIPIF 1 < 0 , SKIPIF 1 < 0 ,分三种情况:以 SKIPIF 1 < 0 为对角线或以 SKIPIF 1 < 0 为对角线或以 SKIPIF 1 < 0 为对角线.
【详解】(1)解:(1)∵ SKIPIF 1 < 0 , SKIPIF 1 < 0 两点在抛物线上,
∴ SKIPIF 1 < 0
解得, SKIPIF 1 < 0 ,
∴抛物线的解析式为: SKIPIF 1 < 0 ;
(3)存在,理由如下:
抛物线 SKIPIF 1 < 0 的对称轴为:直线 SKIPIF 1 < 0 ,
设 SKIPIF 1 < 0 , SKIPIF 1 < 0 ,
∵ SKIPIF 1 < 0 ,
则 SKIPIF 1 < 0 ,
SKIPIF 1 < 0 ,
SKIPIF 1 < 0 ,
∵以 SKIPIF 1 < 0 为顶点的四边形是菱形,
∴分三种情况:以 SKIPIF 1 < 0 为对角线或以 SKIPIF 1 < 0 为对角线或以 SKIPIF 1 < 0 为对角线,
当以 SKIPIF 1 < 0 为对角线时,则 SKIPIF 1 < 0 ,如图1,
∴ SKIPIF 1 < 0 ,
解得: SKIPIF 1 < 0 ,
∴ SKIPIF 1 < 0 或 SKIPIF 1 < 0
∵四边形 SKIPIF 1 < 0 是菱形,
∴ SKIPIF 1 < 0 与 SKIPIF 1 < 0 互相垂直平分,即 SKIPIF 1 < 0 与 SKIPIF 1 < 0 的中点重合,
当 SKIPIF 1 < 0 时,
∴ SKIPIF 1 < 0 ,
解得: SKIPIF 1 < 0 ,
∴ SKIPIF 1 < 0
当 SKIPIF 1 < 0 时,
∴ SKIPIF 1 < 0 ,
解得: SKIPIF 1 < 0 ,
∴ SKIPIF 1 < 0
以 SKIPIF 1 < 0 为对角线时,则 SKIPIF 1 < 0 ,如图2,
∴ SKIPIF 1 < 0 ,
解得: SKIPIF 1 < 0 ,
∴ SKIPIF 1 < 0 ,
∵四边形 SKIPIF 1 < 0 是菱形,
∴ SKIPIF 1 < 0 与 SKIPIF 1 < 0 互相垂直平分,即 SKIPIF 1 < 0 与 SKIPIF 1 < 0 中点重合,
∴ SKIPIF 1 < 0 ,
解得: SKIPIF 1 < 0 ,
∴ SKIPIF 1 < 0 ;
当以 SKIPIF 1 < 0 为对角线时,则 SKIPIF 1 < 0 ,如图3,
∴ SKIPIF 1 < 0 ,
解得: SKIPIF 1 < 0 ,
∴ SKIPIF 1 < 0 ,
∵四边形 SKIPIF 1 < 0 是菱形,
∴ SKIPIF 1 < 0 与 SKIPIF 1 < 0 互相垂直平分,即 SKIPIF 1 < 0 与 SKIPIF 1 < 0 的中点重合,
∴ SKIPIF 1 < 0 ,
解得: SKIPIF 1 < 0
∴ SKIPIF 1 < 0 ,
综上所述,符合条件的点P、Q的坐标为: SKIPIF 1 < 0 , SKIPIF 1 < 0 或 SKIPIF 1 < 0 , SKIPIF 1 < 0 或 SKIPIF 1 < 0 , SKIPIF 1 < 0 或 SKIPIF 1 < 0 或 SKIPIF 1 < 0
2.(2023·辽宁锦州·中考真题)如图,抛物线 SKIPIF 1 < 0 交 SKIPIF 1 < 0 轴于点 SKIPIF 1 < 0 和 SKIPIF 1 < 0 ,交 SKIPIF 1 < 0 轴于点 SKIPIF 1 < 0 ,顶点为 SKIPIF 1 < 0 .
(1)求抛物线的表达式;
(3)在(2)的条件下,若点 SKIPIF 1 < 0 是对称轴上一点,点 SKIPIF 1 < 0 是坐标平面内一点,在对称轴右侧的抛物线上是否存在点 SKIPIF 1 < 0 ,使以 SKIPIF 1 < 0 , SKIPIF 1 < 0 , SKIPIF 1 < 0 , SKIPIF 1 < 0 为顶点的四边形是菱形,且 SKIPIF 1 < 0 ,如果存在,请直接写出点 SKIPIF 1 < 0 的坐标;如果不存在,请说明理由.
【详解】(1)解:∵抛物线 SKIPIF 1 < 0 经过点 SKIPIF 1 < 0 , SKIPIF 1 < 0 ,
∴ SKIPIF 1 < 0 ,解得 SKIPIF 1 < 0 .
∴抛物线的表达式为: SKIPIF 1 < 0 .
(3)解:存在,点 SKIPIF 1 < 0 的坐标为 SKIPIF 1 < 0 或 SKIPIF 1 < 0 .
如下图,连接 SKIPIF 1 < 0 , SKIPIF 1 < 0 ,
∵四边形 SKIPIF 1 < 0 是菱形, SKIPIF 1 < 0 ,
∴ SKIPIF 1 < 0 ,
∵ SKIPIF 1 < 0 ,
∴ SKIPIF 1 < 0 是等边三角形.
∴ SKIPIF 1 < 0 ,
∵ SKIPIF 1 < 0 , SKIPIF 1 < 0 , SKIPIF 1 < 0 ,
∴ SKIPIF 1 < 0 SKIPIF 1 < 0 , SKIPIF 1 < 0 ,点 SKIPIF 1 < 0 与点 SKIPIF 1 < 0 关于对称轴 SKIPIF 1 < 0 对称,
∴ SKIPIF 1 < 0 , SKIPIF 1 < 0 ,
∴ SKIPIF 1 < 0 是等边三角形, SKIPIF 1 < 0 SKIPIF 1 < 0 SKIPIF 1 < 0 ,
∴ SKIPIF 1 < 0 ,
∴ SKIPIF 1 < 0 即 SKIPIF 1 < 0 , SKIPIF 1 < 0 ,
∴ SKIPIF 1 < 0 .
∴ SKIPIF 1 < 0 .
∴直线 SKIPIF 1 < 0 的表达式为: SKIPIF 1 < 0 .
与抛物线表达式联立得 SKIPIF 1 < 0 .
∴点 SKIPIF 1 < 0 坐标为 SKIPIF 1 < 0 .
如下图,连接 SKIPIF 1 < 0 , SKIPIF 1 < 0 , SKIPIF 1 < 0 ,
同理可证: SKIPIF 1 < 0 SKIPIF 1 < 0 是等边三角形, SKIPIF 1 < 0 是等边三角形, SKIPIF 1 < 0 .
∴ SKIPIF 1 < 0 ,
∵ SKIPIF 1 < 0 , SKIPIF 1 < 0 ,
∴ SKIPIF 1 < 0 .
∴ SKIPIF 1 < 0 .
∴ SKIPIF 1 < 0 .
∴直线 SKIPIF 1 < 0 的表达式为: SKIPIF 1 < 0 .
与抛物线表达式联立得 SKIPIF 1 < 0 .
∴点 SKIPIF 1 < 0 坐标为 SKIPIF 1 < 0 .
3.(2023·四川雅安·中考真题)在平面直角坐标系中,已知抛物线 SKIPIF 1 < 0 过点 SKIPIF 1 < 0 ,对称轴是直线 SKIPIF 1 < 0 .
(1)求此抛物线的函数表达式及顶点M的坐标;
(3)已知点E在抛物线的对称轴上,点D的坐标为 SKIPIF 1 < 0 ,是否存在点F,使以点A,D,E,F为顶点的四边形为菱形?若存在,请直接写出点F的坐标;若不存在,请说明理由.
【详解】(1)解:由题意可得:
SKIPIF 1 < 0 ,解得: SKIPIF 1 < 0 ,
所以抛物线的函数表达式为 SKIPIF 1 < 0 ;
当 SKIPIF 1 < 0 时, SKIPIF 1 < 0 ,则顶点M的坐标为 SKIPIF 1 < 0 .
(3)解:存在点F,使以点A,D,E,F为顶点的四边形为菱形
①如图:线段 SKIPIF 1 < 0 作为菱形的边,
当 SKIPIF 1 < 0 为菱形的对角线时,作 SKIPIF 1 < 0 关于直线 SKIPIF 1 < 0 的对称线段交 SKIPIF 1 < 0 于E,连接 SKIPIF 1 < 0 ,作点E关于 SKIPIF 1 < 0 的对称点F,即 SKIPIF 1 < 0 为菱形,由对称性可得F的坐标为 SKIPIF 1 < 0 ,故存在点F,使以点A,D,E,F为顶点的四边形为菱形,此时 SKIPIF 1 < 0 .
当 SKIPIF 1 < 0 为菱形对角线时, SKIPIF 1 < 0 ,
设 SKIPIF 1 < 0 , SKIPIF 1 < 0 ,
则 SKIPIF 1 < 0 ,解得: SKIPIF 1 < 0 或 SKIPIF 1 < 0 ,
∴ SKIPIF 1 < 0 或 SKIPIF 1 < 0
②线段 SKIPIF 1 < 0 作为菱形的对角线时,
如图:设 SKIPIF 1 < 0
∵菱形 SKIPIF 1 < 0 ,
∴ SKIPIF 1 < 0 , SKIPIF 1 < 0 的中点G的坐标为 SKIPIF 1 < 0 ,点G是 SKIPIF 1 < 0 的中点,
∴ SKIPIF 1 < 0 ,解得 SKIPIF 1 < 0 ,
∴ SKIPIF 1 < 0 ,
设 SKIPIF 1 < 0 ,
则有: SKIPIF 1 < 0 ,解得: SKIPIF 1 < 0 ,
∴ SKIPIF 1 < 0 .
综上,当 SKIPIF 1 < 0 或 SKIPIF 1 < 0 或 SKIPIF 1 < 0 或 SKIPIF 1 < 0 时,以点A,D,E,F为顶点的四边形为菱形.
4.(2023·湖南·中考真题)如图,在平面直角坐标系中,抛物线 SKIPIF 1 < 0 经过点 SKIPIF 1 < 0 和点 SKIPIF 1 < 0 ,且与直线 SKIPIF 1 < 0 交于 SKIPIF 1 < 0 两点(点 SKIPIF 1 < 0 在点 SKIPIF 1 < 0 的右侧),点 SKIPIF 1 < 0 为直线 SKIPIF 1 < 0 上的一动点,设点 SKIPIF 1 < 0 的横坐标为 SKIPIF 1 < 0 .
(1)求抛物线的解析式.
(3)抛物线与 SKIPIF 1 < 0 轴交于点 SKIPIF 1 < 0 ,点 SKIPIF 1 < 0 为平面直角坐标系上一点,若以 SKIPIF 1 < 0 为顶点的四边形是菱形,请求出所有满足条件的点 SKIPIF 1 < 0 的坐标.
【分析】(1)待定系数法求解析式即可求解;
(3)根据题意,分别求得 SKIPIF 1 < 0 ,①当 SKIPIF 1 < 0 为对角线时, SKIPIF 1 < 0 ,②当 SKIPIF 1 < 0 为边时,分 SKIPIF 1 < 0 , SKIPIF 1 < 0 ,根据勾股定理即可求解.
【详解】(1)解:∵抛物线 SKIPIF 1 < 0 经过点 SKIPIF 1 < 0 和点 SKIPIF 1 < 0 ,
∴ SKIPIF 1 < 0 ,
解得: SKIPIF 1 < 0 ,
∴抛物线解析式为: SKIPIF 1 < 0 ;
(3)∵抛物线与 SKIPIF 1 < 0 轴交于点 SKIPIF 1 < 0 ,
∴ SKIPIF 1 < 0 ,当 SKIPIF 1 < 0 时, SKIPIF 1 < 0 ,即 SKIPIF 1 < 0 ,
∵ SKIPIF 1 < 0 , SKIPIF 1 < 0
∴ SKIPIF 1 < 0 ,
SKIPIF 1 < 0 , SKIPIF 1 < 0 ,
①当 SKIPIF 1 < 0 为对角线时, SKIPIF 1 < 0 ,
∴ SKIPIF 1 < 0 ,
解得: SKIPIF 1 < 0 ,
∴ SKIPIF 1 < 0 ,
∵ SKIPIF 1 < 0 的中点重合,
∴ SKIPIF 1 < 0 ,
解得: SKIPIF 1 < 0 ,
∴ SKIPIF 1 < 0 ,
②当 SKIPIF 1 < 0 为边时,
当四边形 SKIPIF 1 < 0 为菱形, SKIPIF 1 < 0
∴ SKIPIF 1 < 0 ,
解得: SKIPIF 1 < 0 或 SKIPIF 1 < 0 ,
∴ SKIPIF 1 < 0 或 SKIPIF 1 < 0 ,
∴ SKIPIF 1 < 0 或 SKIPIF 1 < 0 ,
由 SKIPIF 1 < 0 的中点重合,
∴ SKIPIF 1 < 0 或 SKIPIF 1 < 0 ,
解得: SKIPIF 1 < 0 或 SKIPIF 1 < 0 ,
∴ SKIPIF 1 < 0 或 SKIPIF 1 < 0 ,
当 SKIPIF 1 < 0 时;
如图所示,即四边形 SKIPIF 1 < 0 是菱形,
点 SKIPIF 1 < 0 的坐标即为四边形 SKIPIF 1 < 0 为菱形时, SKIPIF 1 < 0 的坐标,
∴ SKIPIF 1 < 0 点为 SKIPIF 1 < 0 或 SKIPIF 1 < 0 ,
综上所述, SKIPIF 1 < 0 点为 SKIPIF 1 < 0 或 SKIPIF 1 < 0 或 SKIPIF 1 < 0 或 SKIPIF 1 < 0 或 SKIPIF 1 < 0 .
【点睛】本题考查了二次函数的性质,面积问题,菱形的性质与判定,勾股定理,熟练掌握二次函数的性质,细心的计算是解题的关键.
5.(2023·四川广安·中考真题)如图,二次函数 SKIPIF 1 < 0 的图象交 SKIPIF 1 < 0 轴于点 SKIPIF 1 < 0 ,交 SKIPIF 1 < 0 轴于点 SKIPIF 1 < 0 ,点 SKIPIF 1 < 0 的坐标为 SKIPIF 1 < 0 ,对称轴是直线 SKIPIF 1 < 0 ,点 SKIPIF 1 < 0 是 SKIPIF 1 < 0 轴上一动点, SKIPIF 1 < 0 轴,交直线 SKIPIF 1 < 0 于点 SKIPIF 1 < 0 ,交抛物线于点 SKIPIF 1 < 0 .
(1)求这个二次函数的解析式.
(3)若点 SKIPIF 1 < 0 在 SKIPIF 1 < 0 轴上运动,则在 SKIPIF 1 < 0 轴上是否存在点 SKIPIF 1 < 0 ,使以 SKIPIF 1 < 0 、 SKIPIF 1 < 0 为顶点的四边形是菱形?若存在,请直接写出所有满足条件的点 SKIPIF 1 < 0 的坐标;若不存在,请说明理由.
【分析】(1)先根据二次函数对称轴公式求出 SKIPIF 1 < 0 ,再把 SKIPIF 1 < 0 代入二次函数解析式中进行求解即可;
(3)分如图3-1,图3-2,图3-3,图3-4,图3-5,图3-6所示, SKIPIF 1 < 0 为对角线和边,利用菱形的性质进行列式求解即可.
【详解】(1)解:∵二次函数 SKIPIF 1 < 0 的对称轴为直线 SKIPIF 1 < 0 ,
∴ SKIPIF 1 < 0 ,
∴ SKIPIF 1 < 0 ,
∵二次函数经过点 SKIPIF 1 < 0 ,
∴ SKIPIF 1 < 0 ,即 SKIPIF 1 < 0 ,
∴ SKIPIF 1 < 0 ,
∴二次函数解析式为 SKIPIF 1 < 0 ;
(2)解:∵二次函数经过点 SKIPIF 1 < 0 ,且对称轴为直线 SKIPIF 1 < 0 ,
∴ SKIPIF 1 < 0 ,
∴ SKIPIF 1 < 0 ,
∵二次函数 SKIPIF 1 < 0 与y轴交于点C,
∴ SKIPIF 1 < 0 ,
∴ SKIPIF 1 < 0 ;
设直线 SKIPIF 1 < 0 的解析式为 SKIPIF 1 < 0 ,
∴ SKIPIF 1 < 0 ,
∴ SKIPIF 1 < 0 ,
∴直线 SKIPIF 1 < 0 的解析式为 SKIPIF 1 < 0 ,
设 SKIPIF 1 < 0 ,则 SKIPIF 1 < 0 , SKIPIF 1 < 0 ,
∴ SKIPIF 1 < 0 ;
∵ SKIPIF 1 < 0 ,
∴ SKIPIF 1 < 0
SKIPIF 1 < 0
SKIPIF 1 < 0
SKIPIF 1 < 0
SKIPIF 1 < 0 ,
∵ SKIPIF 1 < 0 ,
∴当 SKIPIF 1 < 0 时, SKIPIF 1 < 0 最大,最大值为 SKIPIF 1 < 0 ,
∴此时点P的坐标为 SKIPIF 1 < 0 ;
(3)解:设 SKIPIF 1 < 0 ,则 SKIPIF 1 < 0 , SKIPIF 1 < 0 ,
∵ SKIPIF 1 < 0 轴,
∴ SKIPIF 1 < 0 轴,即 SKIPIF 1 < 0 ,
∴ SKIPIF 1 < 0 是以 SKIPIF 1 < 0 、 SKIPIF 1 < 0 为顶点的菱形的边;
如图3-1所示,当 SKIPIF 1 < 0 为对角线时,
∵ SKIPIF 1 < 0 ,
∴ SKIPIF 1 < 0 是等腰直角三角形,
∴ SKIPIF 1 < 0 ,
∵ SKIPIF 1 < 0 ,
∴ SKIPIF 1 < 0 ,
∴ SKIPIF 1 < 0 ,
∴ SKIPIF 1 < 0 轴,
∴ SKIPIF 1 < 0 轴,即 SKIPIF 1 < 0 轴,
∴点C与点N关于抛物线对称轴对称,
∴点N的坐标为 SKIPIF 1 < 0 ,
∴ SKIPIF 1 < 0 ,
∴ SKIPIF 1 < 0 ;
如图3-2所示,当 SKIPIF 1 < 0 为边时,则 SKIPIF 1 < 0 ,
∵ SKIPIF 1 < 0 , SKIPIF 1 < 0 , SKIPIF 1 < 0
∴ SKIPIF 1 < 0 , SKIPIF 1 < 0
∴ SKIPIF 1 < 0 ,
解得 SKIPIF 1 < 0 或 SKIPIF 1 < 0 (舍去),
∴ SKIPIF 1 < 0 ,
∴ SKIPIF 1 < 0 ;
如图3-3所示,当 SKIPIF 1 < 0 为边时,则 SKIPIF 1 < 0 ,
同理可得 SKIPIF 1 < 0 ,
∴ SKIPIF 1 < 0 ,
解得 SKIPIF 1 < 0 或 SKIPIF 1 < 0 (舍去),
∴ SKIPIF 1 < 0 ,
∴ SKIPIF 1 < 0 ;
如图3-4所示,当 SKIPIF 1 < 0 为边时,则 SKIPIF 1 < 0 ,
同理可得 SKIPIF 1 < 0 ,
解得 SKIPIF 1 < 0 (舍去)或 SKIPIF 1 < 0 (舍去);
如图3-5所示,当 SKIPIF 1 < 0 为对角线时,
∴ SKIPIF 1 < 0 ,
∵ SKIPIF 1 < 0 ,
∴ SKIPIF 1 < 0 ,
∴ SKIPIF 1 < 0 ,
∴ SKIPIF 1 < 0 轴,
∴ SKIPIF 1 < 0 轴,这与题意相矛盾,
∴此种情形不存在
如图3-6所示,当 SKIPIF 1 < 0 为对角线时,设 SKIPIF 1 < 0 交于S,
∵ SKIPIF 1 < 0 轴,
∴ SKIPIF 1 < 0 ,
∵ SKIPIF 1 < 0 ,
∴ SKIPIF 1 < 0 ,这与三角形内角和为180度矛盾,
∴此种情况不存在;
综上所述, SKIPIF 1 < 0 或 SKIPIF 1 < 0 或 SKIPIF 1 < 0 .
【点睛】本题主要考查了二次函数综合,一次函数与几何综合,菱形的性质,勾股定理,求二次函数解析式等等,利用分类讨论的思想求解是解题的关键.
6.(2023·重庆·中考真题)如图,在平面直角坐标系中,抛物线 SKIPIF 1 < 0 过点 SKIPIF 1 < 0 ,且交x轴于点 SKIPIF 1 < 0 ,B两点,交y轴于点C.
(1)求抛物线的表达式;
(2)点P是直线 SKIPIF 1 < 0 上方抛物线上的一动点,过点P作 SKIPIF 1 < 0 于点D,过点P作y轴的平行线交直线 SKIPIF 1 < 0 于点E,求 SKIPIF 1 < 0 周长的最大值及此时点P的坐标;
(3)在(2)中 SKIPIF 1 < 0 周长取得最大值的条件下,将该抛物线沿射线 SKIPIF 1 < 0 方向平移 SKIPIF 1 < 0 个单位长度,点M为平移后的抛物线的对称轴上一点.在平面内确定一点N,使得以点A,P,M,N为顶点的四边形是菱形,写出所有符合条件的点N的坐标,并写出求解点N的坐标的其中一种情况的过程.
【答案】(1) SKIPIF 1 < 0
(2) SKIPIF 1 < 0 周长的最大值 SKIPIF 1 < 0 ,此时点 SKIPIF 1 < 0
(3)以点A,P,M,N为顶点的四边形是菱形时 SKIPIF 1 < 0 或 SKIPIF 1 < 0 或 SKIPIF 1 < 0
【分析】(1)把 SKIPIF 1 < 0 、 SKIPIF 1 < 0 代入 SKIPIF 1 < 0 计算即可;
(2)延长 SKIPIF 1 < 0 交 SKIPIF 1 < 0 轴于 SKIPIF 1 < 0 ,可得 SKIPIF 1 < 0 ,进而得到 SKIPIF 1 < 0 , SKIPIF 1 < 0 ,求出 SKIPIF 1 < 0 的最大值即可;
(3)先求出平移后的解析式,再设出M,N的坐标,最后根据菱形的性质和判定计算即可.
【详解】(1)把 SKIPIF 1 < 0 、 SKIPIF 1 < 0 代入 SKIPIF 1 < 0 得, SKIPIF 1 < 0 ,
解得 SKIPIF 1 < 0 ,
∴抛物线的表达式为 SKIPIF 1 < 0 ;
(2)延长 SKIPIF 1 < 0 交 SKIPIF 1 < 0 轴于 SKIPIF 1 < 0 ,
∵过点P作 SKIPIF 1 < 0 于点D,过点P作y轴的平行线交直线 SKIPIF 1 < 0 于点E,
∴ SKIPIF 1 < 0 , SKIPIF 1 < 0 ,
∴ SKIPIF 1 < 0 ,
∴ SKIPIF 1 < 0 ,
∴ SKIPIF 1 < 0 ,
∴当 SKIPIF 1 < 0 最大时 SKIPIF 1 < 0 周长的最大
∵抛物线的表达式为 SKIPIF 1 < 0 ,
∴ SKIPIF 1 < 0 ,
∴直线 SKIPIF 1 < 0 解析式为 SKIPIF 1 < 0 , SKIPIF 1 < 0
设 SKIPIF 1 < 0 ,则 SKIPIF 1 < 0
∴ SKIPIF 1 < 0 ,
∴当 SKIPIF 1 < 0 时 SKIPIF 1 < 0 最大,此时 SKIPIF 1 < 0
∵ SKIPIF 1 < 0 周长为 SKIPIF 1 < 0 ,
∴ SKIPIF 1 < 0 周长的最大值为 SKIPIF 1 < 0 ,此时 SKIPIF 1 < 0 ,
即 SKIPIF 1 < 0 周长的最大值 SKIPIF 1 < 0 ,此时点 SKIPIF 1 < 0 ;
(3)∵将该抛物线沿射线 SKIPIF 1 < 0 方向平移 SKIPIF 1 < 0 个单位长度,可以看成是向右平移2个单位长度再向下平移一个单位长度,
∴平移后的解析式为 SKIPIF 1 < 0 ,此抛物线对称轴为直线 SKIPIF 1 < 0 ,
∴设 SKIPIF 1 < 0 , SKIPIF 1 < 0
∵ SKIPIF 1 < 0 , SKIPIF 1 < 0
∴ SKIPIF 1 < 0 , SKIPIF 1 < 0 , SKIPIF 1 < 0 ,
当 SKIPIF 1 < 0 为对角线时,此时以点A,P,M,N为顶点的四边形是菱形
∴ SKIPIF 1 < 0 与 SKIPIF 1 < 0 互相平分,且 SKIPIF 1 < 0
∴ SKIPIF 1 < 0 ,解得 SKIPIF 1 < 0
∵ SKIPIF 1 < 0 中点坐标为 SKIPIF 1 < 0 , SKIPIF 1 < 0 中点坐标为 SKIPIF 1 < 0 ,
∴ SKIPIF 1 < 0 ,解得 SKIPIF 1 < 0 ,
此时 SKIPIF 1 < 0 ;
当 SKIPIF 1 < 0 为边长且 SKIPIF 1 < 0 和 SKIPIF 1 < 0 是对角线时,此时以点A,P,M,N为顶点的四边形是菱形
∴ SKIPIF 1 < 0 与 SKIPIF 1 < 0 互相平分,且 SKIPIF 1 < 0
∴ SKIPIF 1 < 0 ,解得 SKIPIF 1 < 0
∵ SKIPIF 1 < 0 中点坐标为 SKIPIF 1 < 0 , SKIPIF 1 < 0 中点坐标为 SKIPIF 1 < 0 ,
∴ SKIPIF 1 < 0 ,解得 SKIPIF 1 < 0 ,
此时 SKIPIF 1 < 0 或 SKIPIF 1 < 0 ;
同理,当 SKIPIF 1 < 0 为边长且 SKIPIF 1 < 0 和 SKIPIF 1 < 0 是对角线时,此时以点A,P,M,N为顶点的四边形是菱形
∴ SKIPIF 1 < 0 和 SKIPIF 1 < 0 互相平分,且 SKIPIF 1 < 0
SKIPIF 1 < 0 ,此方程无解;
综上所述,以点A,P,M,N为顶点的四边形是菱形时 SKIPIF 1 < 0 或 SKIPIF 1 < 0 或 SKIPIF 1 < 0 ;
【点睛】本题是二次函数的综合题,考查了待定系数法,相似三角形的性质与判定,菱形的性质及应用,中点坐标公式等知识,解题的关键是用含字母的代数式表示相关点的坐标及相关线段的长度.
7.(2023·四川达州·中考真题)如图,抛物线 SKIPIF 1 < 0 过点 SKIPIF 1 < 0 .
(1)求抛物线的解析式;
(3)若点 SKIPIF 1 < 0 是抛物线对称轴上一动点,点 SKIPIF 1 < 0 为坐标平面内一点,是否存在以 SKIPIF 1 < 0 为边,点 SKIPIF 1 < 0 为顶点的四边形是菱形,若存在,请直接写出点 SKIPIF 1 < 0 的坐标;若不存在,请说明理由.
【分析】(1)利用待定系数法代入求解即可;
(3)分两种情况进行分析:若 SKIPIF 1 < 0 为菱形的边长,利用菱形的性质求解即可.
【详解】(1)解:将点 SKIPIF 1 < 0 代入解析式得:
SKIPIF 1 < 0 ,
解得: SKIPIF 1 < 0 ,
∴抛物线的解析式为 SKIPIF 1 < 0 ;
(3)存在, SKIPIF 1 < 0 或 SKIPIF 1 < 0 或 SKIPIF 1 < 0 , SKIPIF 1 < 0 ,证明如下:
∵ SKIPIF 1 < 0 ,
∵抛物线的解析式为 SKIPIF 1 < 0 ,
∴对称轴为: SKIPIF 1 < 0 ,
设点 SKIPIF 1 < 0 ,
若 SKIPIF 1 < 0 为菱形的边长,菱形 SKIPIF 1 < 0 ,
则 SKIPIF 1 < 0 ,即 SKIPIF 1 < 0 ,
解得: SKIPIF 1 < 0 , SKIPIF 1 < 0 ,
∵ SKIPIF 1 < 0 ,
∴ SKIPIF 1 < 0 ,
∴ SKIPIF 1 < 0 , SKIPIF 1 < 0 ;
若 SKIPIF 1 < 0 为菱形的边长,菱形 SKIPIF 1 < 0 ,
则 SKIPIF 1 < 0 ,即 SKIPIF 1 < 0 ,
解得: SKIPIF 1 < 0 , SKIPIF 1 < 0 ,
∵ SKIPIF 1 < 0 ,
∴ SKIPIF 1 < 0 ,
∴ SKIPIF 1 < 0 , SKIPIF 1 < 0 ;
综上可得:
SKIPIF 1 < 0 或 SKIPIF 1 < 0 或 SKIPIF 1 < 0 , SKIPIF 1 < 0 .
【点睛】题目主要考查二次函数的综合应用,包括待定系数法确定函数解析式,三角形面积问题及特殊四边形问题,全等三角形的判定和性质等,理解题意,综合运用这些知识点是解题关键.
相关试卷
这是一份中考数学二轮复习二次函数压轴题核心考点突破专题24 线段最值问题(2份打包,原卷版+教师版),文件包含中考数学二轮复习二次函数压轴题核心考点突破专题24线段最值问题原卷版doc、中考数学二轮复习二次函数压轴题核心考点突破专题24线段最值问题教师版doc等2份试卷配套教学资源,其中试卷共21页, 欢迎下载使用。
这是一份中考数学二轮复习二次函数压轴题核心考点突破专题23 将军饮马模型(2份打包,原卷版+教师版),文件包含中考数学二轮复习二次函数压轴题核心考点突破专题23将军饮马模型原卷版doc、中考数学二轮复习二次函数压轴题核心考点突破专题23将军饮马模型教师版doc等2份试卷配套教学资源,其中试卷共31页, 欢迎下载使用。
这是一份专题7二次函数与菱形存在性问题(教师版)-拔尖2023中考数学压轴题突破(全国通用),共97页。

