







还剩38页未读,
继续阅读
2024成都中考数学二轮重点专题研究 微专题 直角三角形存在性问题(课件)
展开
这是一份2024成都中考数学二轮重点专题研究 微专题 直角三角形存在性问题(课件),共46页。PPT课件主要包含了例题图②,例题图③,例题图④等内容,欢迎下载使用。
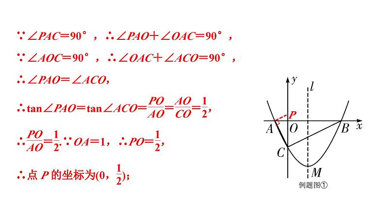
例题图①例题图②例题图②例题图③例题图③例题图③例题图④例题图④例题图④
相关课件
2024甘肃中考数学二轮重点专题研究 微专题 折叠问题(课件):
这是一份2024甘肃中考数学二轮重点专题研究 微专题 折叠问题(课件),共18页。PPT课件主要包含了∠AGF,第1题图,第2题图①,第2题图②,第2题图③,第2题图④,第2题图⑤,第2题图⑥,第3题图①,第3题图②等内容,欢迎下载使用。
2024成都中考数学二轮重点专题研究 微专题 特殊四边形存在性问题(课件):
这是一份2024成都中考数学二轮重点专题研究 微专题 特殊四边形存在性问题(课件),共60页。PPT课件主要包含了例题图①,例题图④,例题图⑤,例题图⑥,例题图⑦,例题图⑧,第4题图等内容,欢迎下载使用。
2024成都中考数学二轮重点专题研究 微专题 角度问题(课件):
这是一份2024成都中考数学二轮重点专题研究 微专题 角度问题(课件),共48页。PPT课件主要包含了例题图③,例题图⑤,第2题图,第2题解图等内容,欢迎下载使用。
