|试卷下载
终身会员
搜索
    上传资料 赚现金
    2025高考数学一轮考点突破训练第四章三角函数与解三角形专题突破8ω与的取值或范围问题
    立即下载
    加入资料篮
    2025高考数学一轮考点突破训练第四章三角函数与解三角形专题突破8ω与的取值或范围问题01
    2025高考数学一轮考点突破训练第四章三角函数与解三角形专题突破8ω与的取值或范围问题02
    还剩2页未读, 继续阅读
    下载需要15学贝 1学贝=0.1元
    使用下载券免费下载
    加入资料篮
    立即下载

    2025高考数学一轮考点突破训练第四章三角函数与解三角形专题突破8ω与的取值或范围问题

    展开
    这是一份2025高考数学一轮考点突破训练第四章三角函数与解三角形专题突破8ω与的取值或范围问题,共4页。试卷主要包含了与对称性有关的取值或范围问题,与单调性有关的取值或范围问题等内容,欢迎下载使用。

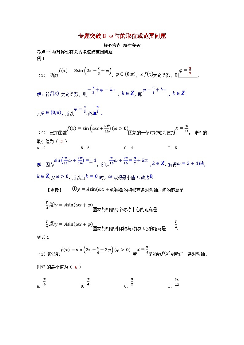
    考点一 与对称性有关的取值或范围问题
    例1
    (1) 函数,,若为奇函数,则 .
    解:若 为奇函数,则 ,,即 ,.
    又,所以.故填 .
    (2) 已知函数图象的一条对称轴为直线,则 的最小值为( B )
    A. 2B. 3C. 4D. 5
    解:因为,所以 ,,解得,.又,所以当 时, 取得最小值3.故选.
    【点拨】图象的相邻两条对称轴之间的距离是图象的相邻两个对称中心的距离是图象的相邻对称轴与对称中心的距离是.
    变式1
    (1) 设函数,若是函数图象的一条对称轴,则 的最小值为( A )
    A. B. C. D.
    解:由题意,知,,解得,.而,所以当 时,.故选 .
    (2) [2022年新课标Ⅰ卷]记函数的最小正周期为.若 ,且的图象关于点,中心对称,则( A )
    A. 1B. C. D. 3
    解:由函数的最小正周期 满足 ,得 ,解得.
    又因为函数图象关于点,中心对称,所以 ,,且,所以,,所以,.所以.故选.
    考点二 与单调性有关的取值或范围问题
    例2 已知函数在区间上单调递减,则实数 的取值范围是( C )
    A. B. ,C. D.
    解:由题意,令 ,,
    得,.
    因为函数 在区间 上单调递减,所以,
    解得,,且.
    又,所以,则.故选.
    【点拨】已知函数,在上单调递增(减),求 的取值范围可按如下步骤进行.①根据题意,可知区间的长度不大于该函数最小正周期的一半,即,求得以单调递增为例,利用,,解得 的范围.③结合①求出的 范围,对进行赋值,从而求出 (不含参数)的取值范围.
    变式2 已知,,若函数的图象关于点,对称,且函数在上单调,则 的值为( D )
    A. 4B. 3C. 2D. 1
    解:因为函数 的图象关于点,对称,所以,则 ,,解得,.
    又因为 在 上单调,所以,解得.
    当 时,,满足条件;当 时,,不满足条件.
    所以 故选 .
    考点三 与零点和极值(最值)点有关的取值或范围问题
    例3 [2022年全国甲卷]设函数在区间上恰有三个极值点、两个零点,则 的取值范围是( C )
    A. ,B. ,C. ,D. ,
    解:依题意,可得.因为,所以,.要使函数 在区间 恰有三个极值点、两个零点,由,,的图象(如图所示),
    知 ,解得,即,.故选 .
    【点拨】对于给定范围的动区间,若区间内至少含有个零点,则需要确定含有个零点的区间长度的最小值,一般和周期相关.若区间内至多含有个零点,则需要确定包含个零点的区间长度的最小值.极值(最值)点的处理方法类似.
    变式3 [2023年新课标Ⅰ卷]已知函数在区间上有且仅有3个零点,则 的取值范围是 .
    解:因为 ,所以 .
    令,得 有3个根.
    令,则 有3个根,其中.
    结合余弦函数 的图象,可得 ,故.故填 .
    相关试卷

    三角函数ω的取值范围及解三角形中的范围与最值问题-高考数学专题: 这是一份三角函数ω的取值范围及解三角形中的范围与最值问题-高考数学专题,文件包含三角函数ω的取值范围及解三角形中的范围与最值问题解析版pdf、三角函数ω的取值范围及解三角形中的范围与最值问题学生版pdf等2份试卷配套教学资源,其中试卷共37页, 欢迎下载使用。

    2025高考数学一轮考点突破训练第四章三角函数与解三角形专题突破9正余弦定理的综合应用: 这是一份2025高考数学一轮考点突破训练第四章三角函数与解三角形专题突破9正余弦定理的综合应用,共10页。试卷主要包含了最值与范围问题,多三角形背景问题,三角形中线、高线及角平分线问题等内容,欢迎下载使用。

    2025高考数学一轮课时作业第四章三角函数与解三角形专题突破8ω与的取值或范围问题(附解析): 这是一份2025高考数学一轮课时作业第四章三角函数与解三角形专题突破8ω与的取值或范围问题(附解析),共4页。试卷主要包含了 【多选题】等内容,欢迎下载使用。

    • 精品推荐
    • 所属专辑

    免费资料下载额度不足,请先充值

    每充值一元即可获得5份免费资料下载额度

    今日免费资料下载份数已用完,请明天再来。

    充值学贝或者加入云校通,全网资料任意下。

    提示

    您所在的“深圳市第一中学”云校通为试用账号,试用账号每位老师每日最多可下载 10 份资料 (今日还可下载 0 份),请取消部分资料后重试或选择从个人账户扣费下载。

    您所在的“深深圳市第一中学”云校通为试用账号,试用账号每位老师每日最多可下载10份资料,您的当日额度已用完,请明天再来,或选择从个人账户扣费下载。

    您所在的“深圳市第一中学”云校通余额已不足,请提醒校管理员续费或选择从个人账户扣费下载。

    重新选择
    明天再来
    个人账户下载
    下载确认
    您当前为教习网VIP用户,下载已享8.5折优惠
    您当前为云校通用户,下载免费
    下载需要:
    本次下载:免费
    账户余额:0 学贝
    首次下载后60天内可免费重复下载
    立即下载
    即将下载:资料
    资料售价:学贝 账户剩余:学贝
    选择教习网的4大理由
    • 更专业
      地区版本全覆盖, 同步最新教材, 公开课⾸选;1200+名校合作, 5600+⼀线名师供稿
    • 更丰富
      涵盖课件/教案/试卷/素材等各种教学资源;900万+优选资源 ⽇更新5000+
    • 更便捷
      课件/教案/试卷配套, 打包下载;手机/电脑随时随地浏览;⽆⽔印, 下载即可⽤
    • 真低价
      超⾼性价⽐, 让优质资源普惠更多师⽣
    VIP权益介绍
    • 充值学贝下载 本单免费 90%的用户选择
    • 扫码直接下载
    元开通VIP,立享充值加送10%学贝及全站85折下载
    您当前为VIP用户,已享全站下载85折优惠,充值学贝可获10%赠送
      充值到账1学贝=0.1元
      0学贝
      本次充值学贝
      0学贝
      VIP充值赠送
      0学贝
      下载消耗
      0学贝
      资料原价
      100学贝
      VIP下载优惠
      0学贝
      0学贝
      下载后剩余学贝永久有效
      0学贝
      • 微信
      • 支付宝
      支付:¥
      元开通VIP,立享充值加送10%学贝及全站85折下载
      您当前为VIP用户,已享全站下载85折优惠,充值学贝可获10%赠送
      扫码支付0直接下载
      • 微信
      • 支付宝
      微信扫码支付
      充值学贝下载,立省60% 充值学贝下载,本次下载免费
        下载成功

        Ctrl + Shift + J 查看文件保存位置

        若下载不成功,可重新下载,或查看 资料下载帮助

        本资源来自成套资源

        更多精品资料

        正在打包资料,请稍候…

        预计需要约10秒钟,请勿关闭页面

        服务器繁忙,打包失败

        请联系右侧的在线客服解决

        单次下载文件已超2GB,请分批下载

        请单份下载或分批下载

        支付后60天内可免费重复下载

        我知道了
        正在提交订单

        欢迎来到教习网

        • 900万优选资源,让备课更轻松
        • 600万优选试题,支持自由组卷
        • 高质量可编辑,日均更新2000+
        • 百万教师选择,专业更值得信赖
        微信扫码注册
        qrcode
        二维码已过期
        刷新

        微信扫码,快速注册

        还可免费领教师专享福利「樊登读书VIP」

        手机号注册
        手机号码

        手机号格式错误

        手机验证码 获取验证码

        手机验证码已经成功发送,5分钟内有效

        设置密码

        6-20个字符,数字、字母或符号

        注册即视为同意教习网「注册协议」「隐私条款」
        QQ注册
        手机号注册
        微信注册

        注册成功

        下载确认

        下载需要:0 张下载券

        账户可用:0 张下载券

        立即下载
        账户可用下载券不足,请取消部分资料或者使用学贝继续下载 学贝支付

        如何免费获得下载券?

        加入教习网教师福利群,群内会不定期免费赠送下载券及各种教学资源, 立即入群

        即将下载

        2025高考数学一轮考点突破训练第四章三角函数与解三角形专题突破8ω与的取值或范围问题
        该资料来自成套资源,打包下载更省心 该专辑正在参与特惠活动,低至4折起
        [共10份]
        浏览全套
          立即下载(共1份)
          返回
          顶部
          Baidu
          map