- 2024威海高三下学期二模试题语文含解析 试卷 0 次下载
- 2024威海高三下学期二模试题数学含解析 试卷 0 次下载
- 2024威海高三下学期二模试题政治含解析 试卷 0 次下载
- 2024威海高三下学期二模试题历史含解析 试卷 0 次下载
- 2024威海高三下学期二模试题地理PDF版含答案 试卷 0 次下载
2024威海高三下学期二模试题英语含答案
展开本试卷共10页。满分120分。考试用时100分钟。考试结束后,将答题卡交回。注意事项:
1.答卷前,考生务必将自己的姓名、座号、考生号填写在答题卡上。
2.回答选择题时,选出每小题答案后,用铅笔把答题卡上对应题目的答案标号涂黑;如需改动,用橡皮擦干净后,再选涂其他答案标号。回答非选择题时,将答案写在答题卡上。写在本试卷上无效。
第一部分 阅读(共两节,满分50分)
第一节(共15小题; 每小题2.5分, 满分37.5分)
阅读下列短文,从每题所给的A、B、C、D 四个选项中选出最佳选项。
A
1.What is the highlight f the Barssa Valley tur.
A.Wine tastings.B.Reginal cuisines.
C.River birdlife.D.Natural landscape.
2.What is included in the upgraded River Cruise package?
A.Free Mart Z visit.B.Fully escrted service.
C.3 night Murray Princess sallings.D.Fur-star accmmdatin.
3.Which departure date has the lwest price fr an utside twin cabin?
A.27 May 2024.B.5Aug 2024.
C.6 Jan 2025.D.24 Feb 2025.
B
As a child, I was keen n cllecting mths(飞蛾)and butterflies. By adulthd, I culd identify abut 700 species by sight, recgnizing the stripes, dts and clrs n their wings and bdies.
In 1972, I mved t Australia and cntinued cllecting. But I started t struggle: identifying them quickly became an impssible task. The species there were s different frm thse at hme, and there was n space in my mind t recgnize them all.
My crisis sn increased. Thrughut the 1970s, I led expeditins t Papua New Guinea t cllect mths. One night, we culd cllect mre than twice as many as thse I had memrized in my childhd. Identifying them felt verwhelming. I gave up and stpped wrking n mths. But my instinct t identify them never went away.
Tw decades later, I was in a supermarket and an idea started t develp in my mind: what if a part f DNA culd be used t differentiate between species Just 13 lines n. the supermarket barcdes(条形码)were being used t identify prducts What if we culd identify species in the same way?
T test the idea, I began cllecting the mths again. Each sample had t dnate a leg t science. I believed that COI(a single segment f a rapidly evlving gene)present in almst all animals culd be used t tell species. With their legs, we used the PCR methd t fcus in n their sectin f COI. One by ne, it became clear: every single mth culd be srted using a tiny slice f their genme(基因组)DNA barcding was 100% successful n its first test.
In ur study paper, we claimed that we had discvered a reliable, inexpensive and accessible slutin t identifying the millins f animal species waiting t be discvered. I believe DNA barcding is humanity’s first sht at finally discvering all life n Earth. This technique has helped cnservatinists t fight against wildlife crime and mnitr the impact f mining n bıdiversity. One day, I am cnfident it will frm part f a system t mnitr the bisphere the Same way we mnitr the weather.
4.Hw did the authr recgnize mth species in his childhd?
A.By turning t bks.
B.By using lab equipment.
C.By bseiving their behavir.
D.By distinguishing their appearance.
5.What des the underlined “My crisis” in paragraph 3 refer t?
A.The lss f interest in studying mths.
B.The impssibility f recgnizing mths.
C.The pressure f discvering new mth species.
D.The challenge f cllecting as many mth samples.
6.What inspired the authr t use DNA fr species identificatin?
A.The ease f using PCR t fcus n COI.
B.The simplicity f supermarket barcdes.
C.The success f DNA barcding n mths.
D.The availability f COI in almst all animals.
7.What might DNA barcding be used fr in the future accrding t the text?
A.Prtecting wildlife habitats.
B.Tracking wildlife ppulatin.
C.Assisting in mnitring bidiversity.
D.Updating weather mnitring systems.
C
Sme peple may be picky eaters, but as a species we are nt. Birds, bugs and whales, we’ll eat them all. Yet ur reliance n wild animals ges far beynd just feeding urselves. Frm agricultural feed t medicine t the pet trade, mdern sciety explits wild animals in a way that beats even the mst aggressive wild predatr(捕食者). Nw, fr the first time, researchers have tried t capture the full picture f hw we use wildlife, including hw many, and fr what purpses. The research shwcases just hw brad ur influence n wild animals is.
In the study, researchers have fund that humans kill, cllect r therwise use abut 15,000 species. That’s up t 300 times mre than the next tp predatr in any ecsystem.
Yet accrding t Chris Darimnt, a c-authr f the study, the biggest shck isn’t hw many species we affect but why we take them. “The result,” he says, “is that we remve, r essentially prey n, mre species f animals fr nn-fd reasns than fr fd reasns.”And the biggest nn-fd use is as pets and pet fd. “That’s where things have gne ff the rails(轨道),” he says. The prblem is especially serius fr trpical birds. The helmeted hrnbill, fr example, is captured mainly fr the pe trade, r fr its beak t be used as medicine r t be carved like ivry. Their disappearance limits seed dispersal and the spread f trees arund the frest.
Anther big difference between humans’ influence n wild animals and that f ther predatrs is that we tend t favr rare and extic(外来的)species in a way ther animals d nt. Mst predatrs target cmmn species, since they are easier t find and catch. Humans, nwever, tend t cvet the nvel. “The mre rare it is,” say scientists, “the mre that drives up the price, and therefre it may g int extinctin.”
If we want wild species t survive, we need t reestablish ur relatinship with them, perhaps frm predatr t caretaker
8.What rle d humans play in their present relatinship with wildlife accrding t the authr?
A.Picky predatrs.D.Prtectrs f bidiversity.
C.Greedy predatrs.D.Caretakers f the envirnment.
9.What shcked scientists mst accrding t Chris Darimnt?
A.Mre species hunted fr nn-fd use.
B.The impact f pet industries n wildlife.
C.The number f species affected by humans.
D.The cnsequences caused by species extinctin.
10.Which can best explain the underlined “cver the nvel” in paragraph 4?
A.Lng fr huge prfits.
B.Favr dmestic species.
C.Take interest in pet trade.
D.Seek after new and unique things.
11.What is the purpse f the text?
A.T prmte stricter rules fr hunting.
B.T advcate ec-friendly pet chices.
C.T reveal hw humans affect bidiversity.
D.T highlight the need fr wildlife cnservatin.
D
Hw much water des the average adult need t drink every day? “Eight 8-unce glasses” is cmmn advice, but any truly serius answer t the hw-much questin will begin with sme versin f it depends.”
Researchers have lng knwn that a regin called SFO in the brain mnitrs the cncentratin(浓度)f water and salts in bld and triggers the urge t drink. But they failed t fully explain hw we experience thirst. Fr example, when we gulp a drink, we feel almst instantly satisfied, and yet it takes 10 t 15minutes fr a liquid t enter ur bldstream. Recently neurscientists have gained ther remarkable insights int hw thirst is mnitred in the bdy and cntrlled in the brain.
In a series f elegant experiments with mice, Zimmerman, a neurscientist, and his assciates measured the activity f neurns(神经元)in the SFO. “We saw that their activity changed very fast when the muse drank water r drank saltwater and when it ate fd,” he says. The researchers shwed that signals gathered at the SFO frm several places. “Yu get a signal frm the bld that tells yur current state f hydratin(水平衡), a signal frm the muth that tells yu hw much fluid yu drank, and a signal frm the gut that tells yu what was cnsumed —was it . water, was it smething else?” The SFO neurns, he explains, “add these signals tgether” and then transmit the urge t drink r stp drinking.
The big takeaway f Zimmerman’s wrk is that fr the mst part yu can trust yur thirst system t tell yu when yu need t drink. But there are exceptins. Because the system’s sensitivity may decline with age. Peple with certain health cnditins, including kidney stnes and diarrhea, als need extra water.
Other parts f the brain — the nes used in planning —shuld help with hydratin n ht days and when exercising. Thirsty r nt, Zimmerman says, he drinks water befre ging fr a run: “My thirst neurns dn’t knw I’m abut t run 10 miles.”
12.What has lng been knwn abut thirst?
A.Thirst experience varies amng individuals.
B Thirst is cntrlled by the water-salt balance in bld.
C.Thirst satisfactin ccurs with water entering bldstream.
D.Thirst respnse is influenced by the type f liquid cnsumed.
13.What’s the main idea f paragraph 3?
A.Why we feel thirst.
B.Where SFO gets signals.
C.Hw we experience thirst.
D.When SFO neurns get active.
14.What’s the majr cnclusin frm Zimmerman’s study?
A.Thirst system is generally reliable.
B.Illness might affect thirst sensatin.
C.Brain areas fr planning aid in hydratin.
D.Brain adjusts t age-related thirst sensitivity.
15.What may be a suitable title fr the text?
A.Drink Yur Way t Health
B.Applicatin f the Thirst Mechanisms
C.Misunderstanding f Daily Water Intake
D.Bdy Detects Daily Water Needs Cleverly
第二节(共5小题; 每小题2.5分, 满分 12.5分)
根据下面短文,从短文后的选项中选出可以填入空白处的最佳选项。选项中有两项为多余选项。
The harsh winters and mdern cities can make life tugh fr a wild animal, especially when they get lst and are utside their natural habitat fr t lng. Animal shelters are crwded with animals in desperate need f help, especially during the winter seasn. 16
One day, a man fund a small wl(猫头鹰)that was saking wet and appeared t be struggling. He brught it int a lcal shelter. 17 The little wl was unable t fly, nt because f an injury, but because it was t fat.
The wl weighed 245grams, which was 33% mre than the upper limit f what an wl that size shuld weigh. The reasn fr the weight gain was quite natural. The wl was eating t much. The winter had been unusually warm, and as a result, the area had a higher than nrmal ppulatin f mice. 18 S it gt carried away.
The shelter staff put the wl n a systematic plan f diet and exercise, and it started t lse weight quickly. After sme time, the wl was back t its nrmal health and was released back int the wild.
The questin f whether this besity issue is a strange result f climate change r just a cincidence(巧合)is difficult t say. 19 Wild animals are nt used t living in mdern cities, and they ften struggle t survive. Luckily, there are many animal shelters that ffer refuge fr these animals. These shelters help restre them t their natural cnditin and put them back int the wild
20 Sme fcus n specific animals, such as wls, while thers fcus n a particular regin. Hwever, they all have the same gal -t prvide a safe have n fr wild animals.
A.Different types f animal shelters have different purpses.
B.Animal shelters are nt just a place fr injured r sick animals.
C.This meant that it was like an all-yu-an-eat buffet fr the little wl.
D.They are really imprtant when animals struggle t survive in cld weather.
E.After a thrugh check-up, the shelter staff fund ut that it was nt injured at all.
F.Hwever, it is clear that it is vital t care fr wild animals and t ensure their safety.
G.Hwever, recently, a wild animal was brught t a shelter fr a very different reasn.
第二部分 语言知识运用(共两节,满分30分)
第一节(共15小题;每小题1分,满分15分)
阅读下面短文,从每题所给的A、B、C、D四个选项中,选出可以填入空白处的最佳选项。
Jessica Cx is the wrld’s first licensed armless pilt.
Brn withut arms, Cx never let her 21 becme her disadvantage, She learned at a yung age hw t use her feet as her hands. And after eleven years f wearing prsthetic arms(假肢), she decided t be “the real Jessica” and 22 the arms. This was the start f her new life.
Cx lved swinging because it was smething that she culd cntrl and 23 flying. ver everything. And this 24 her determinatin t becme a pilt..
She had her first 25 f being a pilt during a trip t Mexic in a small plane. She had the 26 t place her ft n the yke(操纵杆)and feel the experience f being in the air. After that, her, childhd 27 f planes disappeared. The feeling f cntrl, f the freedm, was mre 28 than her hrrr. On that day, she decided t 29 her dream f becming a pilt. This was nt withut 30 thugh. Finding an instructr was a challenge. A lt were 31 teaching and qualifying an armless pilt. Cx didn’t give up and eventually fund herself a(n) 32 . Her dream became a reality in 2008 when she tk her first sl flight.
Cx is nt nly a pilt but als a 33 fr peple with disabilities. As a mtivatinal speaker, she has traveled acrss the wrld t 34 thers. She is a fighter fr the 35 f persns with disabilities, which gives them access t educatin, health care, and the same advantages she had grwing up.
21.A.disabilityB.shynessC.experienceD.gender
22.A.get rid fB.put up withC.get used tD.take care f
23.A.admitB.practiceC.cnsiderD.imagine
34.A.shwedB.renewedC.launchedD.strengthened
25.A.tasteB.lectureC.licenceD.missin
26.A.freedmB.struggleC.invitatinD.pprtunity
27.A.fearB.puzzleC.dreamD.memry
28.A.distantB.naturalC.pwerfulD.cmplicated
29.A.annunceB.pursueC.defendD.share
30.A.risksB.barriersC.failuresD.pssibilities
31.A.busyB.uncmfrtableC.irrespnsible frD.tired f
32.A.planeB.assistantC.partnerD.teacher
33.A.trainerB.leaderC.champinD.vlunteer
34.A.serveB.fundC.inspireD.interest
35.A.jbsB.rightsC.fameD.safety
第二节(共10小题; 每小题1.5分, 满分15分)
阅读下面短文,在空白处填入1个适当的单词或括号内单词的正确形式。
Every year fr ver a millennium, fishermen have braved the subzer temperatures, biting winds and deep snw t search fr 36 underwater frtune at Chagan Lake — ne f the biggest freshwater lakes in ur cuntry.
Chagan is the nly place in China 37 yu can still find fishermen using a Mnglian fishing methd that dates back centuries and has 38 (bare)changed ver time. Hles are drilled in the ice 39 (lwer)a 2-kilmeter-lng net int psitin underwater. Once it fills up with fish, the net is pulled ut f the water using a giant wheel 40 (turn)by Mnglian hrses. The largest fish in the 41 (seasn)first catch is believed t be lucky, and will g t the highest bidder at the auctin(拍卖).
T ensure that this traditin can cntinue 42 . damaging the lake’s eclgy, fishermen keep nature in mind thrughut the prcess. 43 (avid)the use f mdern vehicles helps reduce the chance f plluting the lake water, and the number f fish that can 44 (catch)is capped t ensure that there will be fish fr years t cme.
Als, ver the past few years, the mney frm the auctin has been invested int prtecting the lake and surrunding envirnment. And during the summer, private fishing withut 45 (permit)is strictly prhibited. These preservative measures have kept the traditin alive fr thusands f years and certainly will be passed n t future generatins.
第三部分 写作(共两节,满分40分)
第一节(满分15分)
假定你是李华,现已完成主题为“Fd & Culture”英语演讲比赛的雾作大纲,请给外教写一封邮件,简述大纲中你的观点和论证思路,并就此征求对方的建议。
注意:
1.词数80左右,开头和结尾已给出,不计入总词数。
2.可适当添加细节,以使行文连贯。
第二节(满分25分)
阅读下面材料,根据其内容和所给段落开头语续写两段,使之构成一篇完整的短文。
Jey, nce again, had taken his entire lunch plate and mixed all the fd tgether. He did smething like this pretty much every day at camp. “It’s an experiment,” he tld the ther campers. “Like what we d in class. It’s fun.” Jey was crazy abut experiments, which usually cnsisted f taking ne r mre things, and cmbining them smehw, just like mixing all his fd tgether. Jey wuld usually take a bite as part f the experiment, and wuld try t get the ther kids at the table t try it t. Hwever, almst nbdy ever wuld like t. Jey’s experiments almst always tasted abslutely hrrible.
Jey ffered a bite f his unique lunch t the kids at his table. ‘Eric, the nly ne wh smetimes liked Jey’s experiments, decided t give it a try. But even he culdn’t eat mre than a bite, which meant the table wuld lse their “wasted fd challenge” —AGAIN.
As part f camp lunch, all the tables weighed their leftvers at the end f the meal. One by ne, the tables wuld line up, empty their plates int a garbage can(垃圾桶), and then the garbage can wuld be weighed. Whichever table had the least amunt f wasted fd gt t be first in line the next day at lunch. Whichever table had the mst amunt f wasted fd had t stay and wash all the dishes. Each table had the same amunt f campers, t be fair. The tables were each named after a different kind f tree. Jey’s table was the Scrub Pine table. Scrub Pine table had lst s many times that everyne laughed at them.
Everyne blamed Jey. He was always the ne with the mst leftvers. But Jey insisted it wasn’t his fault. He had a trick. Befre each weighing, he always mashed up(捣烂)his mixture int the smallest ball pssible. Almst everyne else’s plate was littered with uneaten fd. Jey just had a ball in the crner f the plate.
Scrub Pine table had already washed dishes fur days in a rw, and it lked like it was abut t be five.
注意:
1.续写词数应为150左右:
2.请按如下格式在答题卡的相应位置作答。
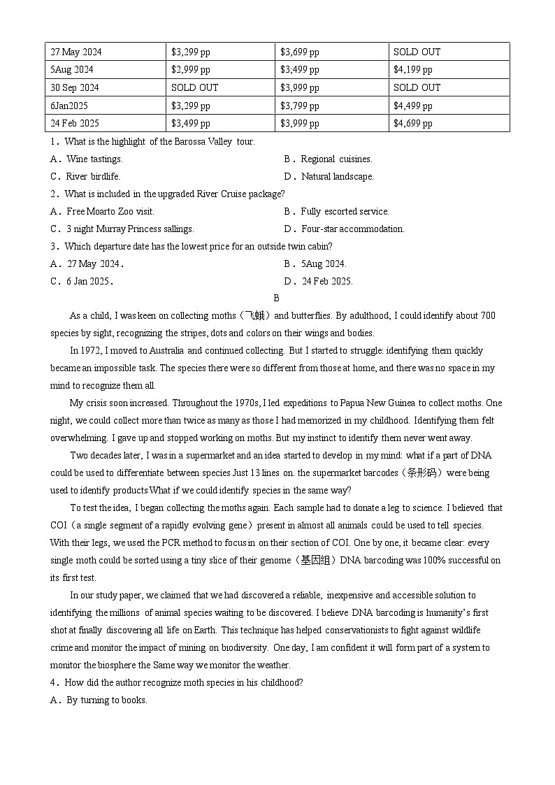
Discver sme f the treasures f Suth Australia befre yu start an unfrgettable cruise(乘船游览)alng the fantastic Murray River
Yur adventure begins in Adelaide, ne f the wrld’s mst-liveahle cities. A full day tur takes yu t Suth Australia’s wine regin, where yu’ll sample sme f the Barssa Valley’s finest wines. Yu’ll then take a bat t Kangar Island, ffering nature-based activities, and encunters with kalas, birds, and kangars.
Yu’ll then g abard the PS Murray Princess, a remarkable ship which was built specifically fr the Murray River, fr an unfrgettable three-night cruise alng the beautiful Murray River, highlights including river birdlife, nature walks, and delicius reginal flavurs.
Yur hliday includes River Cruise
·3 night Murray River cruise n bard PS Murray Princess with all ·meals and sightseeing
·Extend yur Cruise! 7 night back t back Murray Princess sailings plus FREE Mart Z visit frm $1799 per persn, twin share
Htel Stays
·3 night fur-star htel stay in Adelaide with breakfast
·1 night fur-star htel stay in Kangar Island with breakfast and lunch
Fully Escrted(全程陪同)Turs
·Full day Barssa Valley tur with lunch and wine tastings
·2 day Kangar Island tur
All flights, taxes and transfers
Departure
Inside Twin Frm
Outside Twin Frm
Staterm(特等舱)Frm
19 Feb 2024
$3,199 pp
SOLD OUT
$4,199 pp
27 May 2024
$3,299 pp
$3,699 pp
SOLD OUT
5Aug 2024
$2,999 pp
$3;499 pp
$4,199 pp
30 Sep 2024
SOLD OUT
$3,999 pp
SOLD OUT
6Jan2025
$3,299 pp
$3,799 pp
$4,499 pp
24 Feb 2025
$3,499 pp
$3,999 pp
$4,699 pp
Dear Sara,
I’m seeking guidance n my speech utline abut “Fd & Culture”
I’d greatly appreciate yur thughts and any suggestins.
Yurs,
Li Hua
Paragraph 1: S Eric decided t find a way t figure ut whse fault it was.
Paragraph 2: One by ne, Scrub Pine table each weighed their plates.
山东省威海市2024届高三下学期二模英语试卷(Word版附答案): 这是一份山东省威海市2024届高三下学期二模英语试卷(Word版附答案),文件包含山东省威海市2024届高三下学期二模试题英语Word版无答案docx、英语答案pdf等2份试卷配套教学资源,其中试卷共10页, 欢迎下载使用。
2023年威海市高三二模英语试卷含答案解析: 这是一份2023年威海市高三二模英语试卷含答案解析,共10页。
2023届山东省威海市高三下学期二模英语试题及答案: 这是一份2023届山东省威海市高三下学期二模英语试题及答案,文件包含2023年威海市高考模拟考试英语pdf、威海二模英语答案pdf等2份试卷配套教学资源,其中试卷共10页, 欢迎下载使用。

