


押题22 第1-6、9、12题 三角函数 平面向量(四大题型)(原卷版)-冲刺2024年高考数学考点押题模拟预测卷(新高考专用)
展开
这是一份押题22 第1-6、9、12题 三角函数 平面向量(四大题型)(原卷版)-冲刺2024年高考数学考点押题模拟预测卷(新高考专用),共7页。试卷主要包含了单选题,多选题,填空题等内容,欢迎下载使用。
一、单选题
1.(2022·全国·高考真题)若,则( )
A.B.
C.D.
2.(2022·全国·高考真题)记函数的最小正周期为T.若,且的图象关于点中心对称,则( )
A.1B.C.D.3
3.(2021·全国·高考真题)若,则( )
A.B.C.D.
4.(2023·全国·高考真题)已知向量,若,则( )
A.B.
C.D.
5.(2022·全国·高考真题)已知向量,若,则( )
A.B.C.5D.6
6.(2022·全国·高考真题)在中,点D在边AB上,.记,则( )
A.B.C.D.
二、多选题
7.(2021·全国·高考真题)已知为坐标原点,点,,,,则( )
A.B.
C.D.
三、填空题
8.(2023·全国·高考真题)已知向量,满足,,则 .
题型1:诱导公式、三角恒等变换
1.(2024·河南信阳·模拟预测)的值为( )
A.B.C.D.
2.(2024·全国·模拟预测)( )
A.B.C.D.
3.(2024·四川成都·三模)在平面直角坐标系中,角的始边均为,终边相互垂直,若,则( )
A.B.C.D.
4.(2024·青海西宁·二模)已知,则( )
A.B.C.D.
5.(2024·贵州黔西·一模)已知,则( )
A.B.C.D.
6.(2024·辽宁·二模)已知,,则( )
A.B.C.D.
题型2:三角函数图像与性质综合
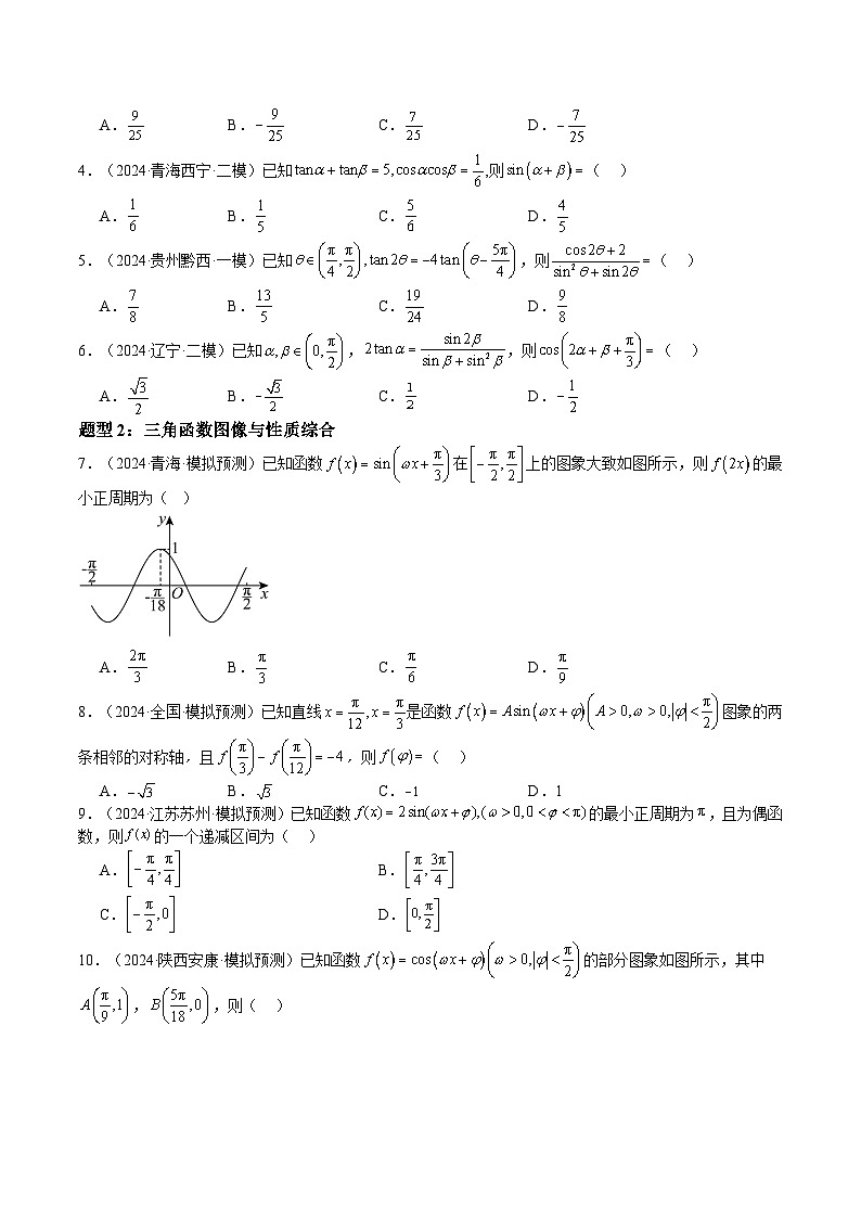
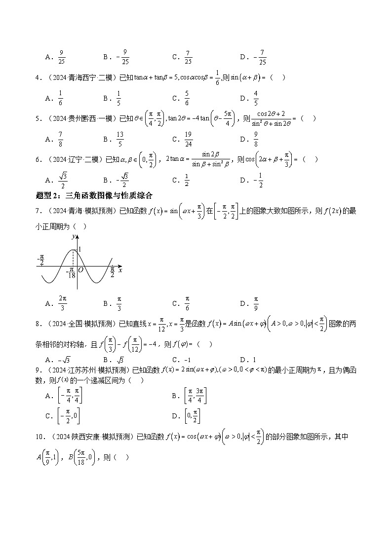
7.(2024·青海·模拟预测)已知函数在上的图象大致如图所示,则的最小正周期为( )
A.B.C.D.
8.(2024·全国·模拟预测)已知直线是函数图象的两条相邻的对称轴,且,则( )
A.B.C.D.1
9.(2024·江苏苏州·模拟预测)已知函数的最小正周期为,且为偶函数,则的一个递减区间为( )
A.B.
C.D.
10.(2024·陕西安康·模拟预测)已知函数的部分图象如图所示,其中,,则( )
A.B.
C.直线是图象的一条对称轴D.是图象的一个对称中心
11.(2024·陕西汉中·二模)函数的图象如图所示,为图象上两点,对于向量,为了得到的图象,需要将图象上所有点的坐标( )
A.横坐标伸长到原来的2倍(纵坐标不变),再向右平移个单位
B.横坐标伸长到原来的2倍(纵坐标不变),再向右平移个单位
C.横坐标缩短到原来的(纵坐标不变),再向右平移个单位
D.横坐标缩短到原来的(纵坐标不变),再向右平移个单位
12.(2024·山西吕梁·二模)已知函数在区间上单调递减,则函数的解析式可以为( )
A.B.
C.D.
13.(2024·陕西咸阳·模拟预测)已知函数,则下列结论正确的有( )
A.的最小正周期为
B.直线是图像的一条对称轴
C.在上单调递增
D.若在区间上的最大值为,则
14.(2024·四川泸州·三模)已知函数()在有且仅有三个零点,则的取值范围是( )
A.B.C.D.
15.(2024·江苏南通·二模)已知函数()在区间上单调递增,则的最大值为( )
A.B.C.D.
16.(2024·山西晋城·二模)将函数的图象向右平移()个单位长度,得到函数的图象,若函数在区间上恰有两个零点,则的取值范围是( )
A.B.C.D.
多选题
题型3:平面向量
17.(2024·全国·模拟预测)已知向量,则( )
A.若,则
B.若,则
C.若,则向量与向量的夹角的余弦值为
D.若,则向量在向量上的投影向量为
18.(2024·江苏南通·二模)已知向量在向量方向上的投影向量为,向量,且与夹角,则向量可以为( )
A.B.C.D.
19.(2024·河北廊坊·模拟预测)如图,在矩形中,是的中点,是上的一点,且,则下列说法正确的是( )
A.B.
C.D.
20.(2023·江苏·一模)已知为复数,设,,在复平面上对应的点分别为A,B,C,其中O为坐标原点,则( )
A.B.
C.D.
21.(2024·全国·模拟预测)已知向量.若,则( )
A.B.
C.在方向上的投影向量为D.与反向的单位向量是
22.(2024·吉林·二模)已知平面向量,,,,,,且,则( )
A.与的夹角为
B.的最大值为5
C.的最小值为2
D.若,则的取值范围
三、填空题
题型4:三角函数与平面向量的综合应用(含其他模块、新考法)
23.(2024·上海崇明·二模)已知A、B、C是半径为1的圆上的三个不同的点,且,则的最小值是 .
24.(2024·广东韶关·二模)已知平面向量均为单位向量,且,则向量与的夹角为 ,的最小值为 .
25.(2024·江苏苏州·模拟预测)在中,若,则 .
26.(2024·辽宁抚顺·三模)太极图被称为“中华第一图”,其形状如阴阳两鱼互抱在一起,因而又被称为“阴阳鱼太极图”.如图所示的图形是由半径为2的大圆和两个对称的半圆弧组成的,线段过点且两端点分别在两个半圆弧上,是大圆上一动点,则的最小值为 .
27.(2024·全国·模拟预测)设随机变量,向量与向量的夹角为锐角的概率是0.5,则的值是 .
28.(2024·江西南昌·一模)“南昌之星”摩天轮半径为80米,建成时为世界第一高摩天轮,成为南昌地标建筑之一.已知摩天轮转一圈的时间为30分钟,甲乙两人相差10分钟坐上摩天轮,那么在摩天轮上,他们离地面高度差的绝对值的取值范围是 .
29.(2024·安徽池州·模拟预测)筒车亦称为“水转筒车”,一种以流水为动力,取水灌田的工具,筒车发明于隋而盛于唐,距今已有多年的历史如图,假设在水流量稳定的情况下,一个半径为米的筒车按逆时针方向做每分钟转一圈的匀速圆周运动,筒车的轴心距离水面的高度为米,设筒车上的某个盛水筒的初始位置为点(水面与筒车右侧的交点),从此处开始计时,分钟时,该盛水筒距水面距离为,则 .
30.(2024·湖南岳阳·二模)已知椭圆的左右焦点分别为,其中,过的直线与椭圆交于两点,若,则该椭圆离心率的取值范围是 .
押题22 三角函数 平面向量 高考模拟题型分布表
题型序号
题型内容
题号
题型1
诱导公式、三角恒等变换
1-6(单选)
题型2
三角函数图像与性质综合
7-16(单选)
题型3
平面向量
17-22(多选)
题型4
三角函数与平面向量的综合应用(含其他模块、新考法)
23-30(填空题)
相关试卷
这是一份押题19 第1-6、9、12题 导数及其应用(四大题型)(原卷版)-冲刺2024年高考数学考点押题模拟预测卷(新高考专用),共5页。试卷主要包含了单选题,多选题,填空题等内容,欢迎下载使用。
这是一份押题06 第18题 数列(九大题型)(原卷版)-冲刺2024年高考数学考点押题模拟预测卷(新高考专用),共8页。试卷主要包含了已知是等差数列,,已知数列满足,,且,的无穷数列称为M数列,已知等比数列的前项和为.,已知数列,,已知数列中,,且,为其前项的和等内容,欢迎下载使用。
这是一份押题23 第1-6、9、12题 函数 数列 不等式(七大题型)(原卷版)-冲刺2024年高考数学考点押题模拟预测卷(新高考专用),共7页。试卷主要包含了单选题,多选题,填空题等内容,欢迎下载使用。