还剩25页未读,
继续阅读
浙江省绍兴市第一中学2024届高三下学期5月模拟数学试题
展开
这是一份浙江省绍兴市第一中学2024届高三下学期5月模拟数学试题,共28页。
相关试卷
浙江省绍兴市第一中学2024届高三下学期5月模拟数学试卷(Word版附答案):
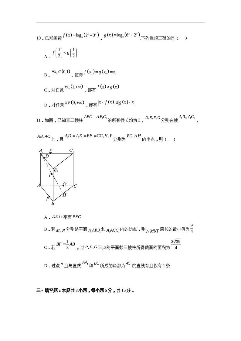
这是一份浙江省绍兴市第一中学2024届高三下学期5月模拟数学试卷(Word版附答案),共23页。试卷主要包含了已知,则,已知函数,.下列选项正确的是等内容,欢迎下载使用。
2022-2023学年浙江省绍兴市第一中学高二下学期学考模拟数学试题含答案:
这是一份2022-2023学年浙江省绍兴市第一中学高二下学期学考模拟数学试题含答案,共16页。试卷主要包含了单选题,多选题,双空题,填空题,解答题等内容,欢迎下载使用。
2023届浙江省绍兴市第一中学高三下学期4月限时训练数学试题含解析:
这是一份2023届浙江省绍兴市第一中学高三下学期4月限时训练数学试题含解析,共24页。试卷主要包含了单选题,多选题,填空题,解答题等内容,欢迎下载使用。

