





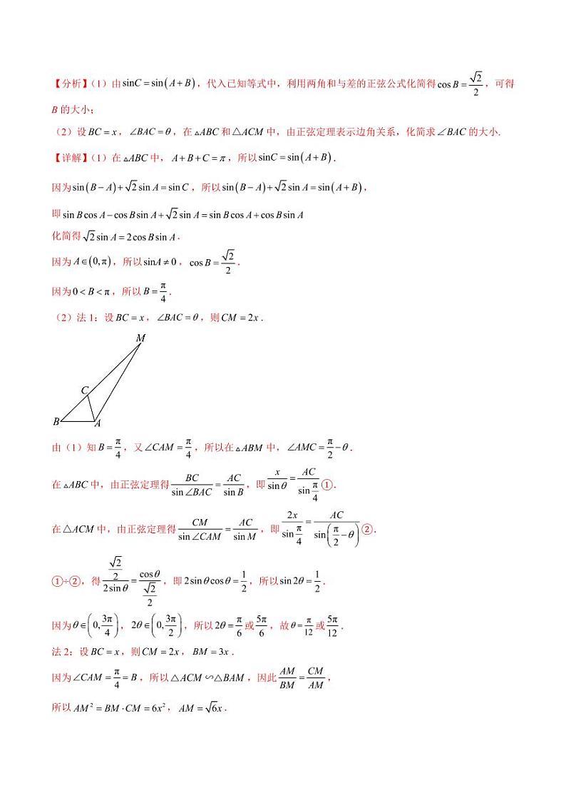
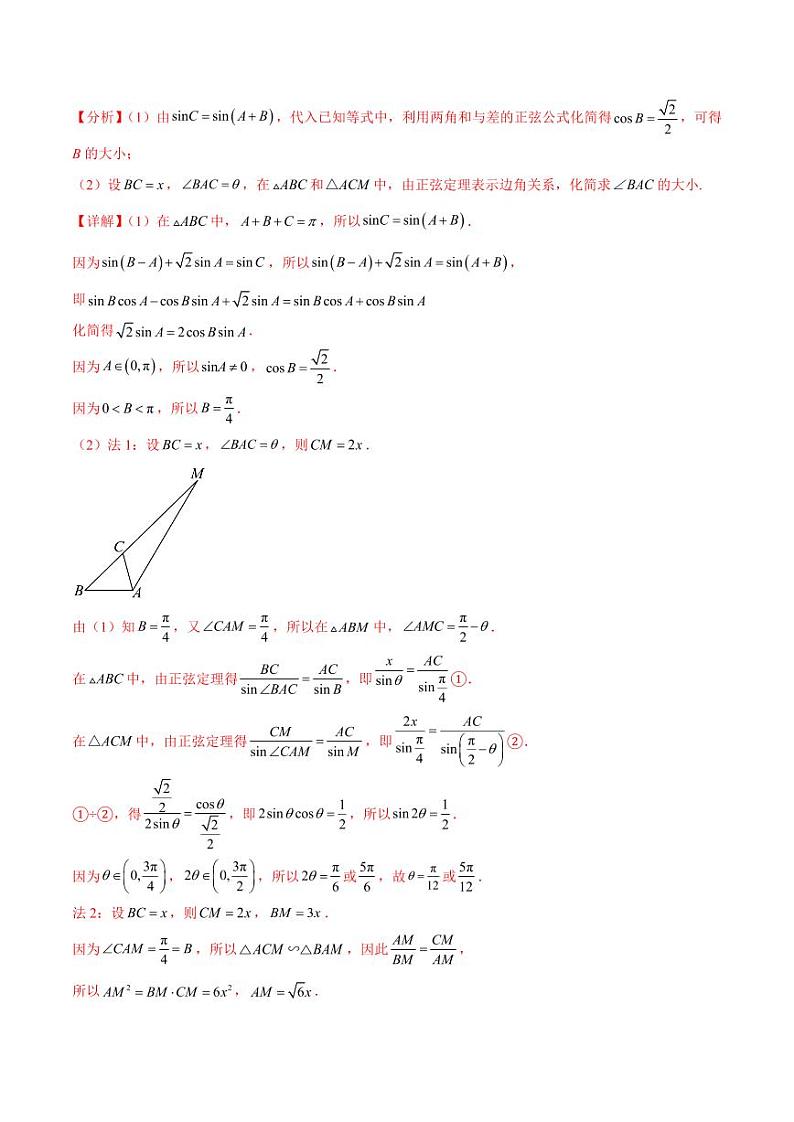
大题01 解三角形(精选30题)-【黄金冲刺】2024年考前15天高考数学极限满分冲刺(新高考通用)
展开大题07 新定义综合-【三轮冲刺】2024年考前15天高考数学极限满分冲刺(新高考通用): 这是一份大题07 新定义综合-【三轮冲刺】2024年考前15天高考数学极限满分冲刺(新高考通用),文件包含大题07新定义综合数列新定义函数新定义集合新定义精选30题原卷版docx、大题07新定义综合数列新定义函数新定义集合新定义精选30题解析版docx等2份试卷配套教学资源,其中试卷共64页, 欢迎下载使用。
大题06 圆锥曲线-【三轮冲刺】2024年考前15天高考数学极限满分冲刺(新高考通用): 这是一份大题06 圆锥曲线-【三轮冲刺】2024年考前15天高考数学极限满分冲刺(新高考通用),文件包含大题06圆锥曲线椭圆双曲线抛物线精选30题原卷版docx、大题06圆锥曲线椭圆双曲线抛物线精选30题解析版docx等2份试卷配套教学资源,其中试卷共80页, 欢迎下载使用。
大题05 导数(精选30题)-【三轮冲刺】2024年考前15天高考数学极限满分冲刺(新高考通用): 这是一份大题05 导数(精选30题)-【三轮冲刺】2024年考前15天高考数学极限满分冲刺(新高考通用),文件包含大题05导数精选30题原卷版docx、大题05导数精选30题解析版docx等2份试卷配套教学资源,其中试卷共52页, 欢迎下载使用。