高中苏教版 (2019)6.3空间向量的应用教课课件ppt
展开前面,运用向量的方法研究空间中的线面位置关系、空间中角的计算问题.能否运用向量的方法研究空间中的距离问题.问题1:立体几何中有哪些距离问题?可以怎样研究这些距离问题?两点距离是根本,点到直线的距离和点到平面的距离是基础,其它距离问题均可转化为这两类问题.
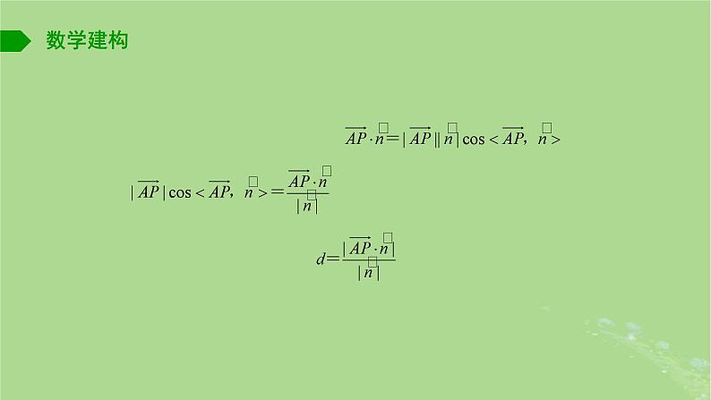
梳理出空间向量求点到平面的距离步骤:第一步,确定平面的法向量;第二步,选择参考向量;第三步,确定参考向量到法向量n的投影向量;第四步,求投影向量的长度.
例2 已知正方体ABCD-A1B1C1D1的棱长为1,求点B到平面B1CD1的距离.
思考:本题还有其他解法吗?
高中数学苏教版 (2019)选择性必修第二册6.3空间向量的应用教学演示课件ppt: 这是一份高中数学苏教版 (2019)选择性必修第二册<a href="/sx/tb_c4009169_t3/?tag_id=26" target="_blank">6.3空间向量的应用教学演示课件ppt</a>,共1页。
高中数学苏教版 (2019)选择性必修第二册6.3空间向量的应用优秀ppt课件: 这是一份高中数学苏教版 (2019)选择性必修第二册6.3空间向量的应用优秀ppt课件,共21页。PPT课件主要包含了随堂小测等内容,欢迎下载使用。
高中数学苏教版 (2019)选择性必修第二册6.3空间向量的应用优秀课件ppt: 这是一份高中数学苏教版 (2019)选择性必修第二册6.3空间向量的应用优秀课件ppt,共34页。PPT课件主要包含了学习目标,活动方案,检测反馈等内容,欢迎下载使用。

