



山东省淄博第五中学2023-2024学年高一下学期期中考试数学试卷
展开
这是一份山东省淄博第五中学2023-2024学年高一下学期期中考试数学试卷,文件包含2024年淄博五中高一第二学期期中数学试卷docx、2024年淄博五中高一第二学期期中数学试卷答案pdf等2份试卷配套教学资源,其中试卷共9页, 欢迎下载使用。
2.已知平面向量=(-2,6)与=(-4,λ)垂直,则λ的值是( )
A.43 B.−43 C.12 D.-12
3.在△ABC中,已知a=43,c=12,C=π3,则A=( )
A.π3 B.π6 C.π6或5π6 D.π6或π3 第4题图
4.如图所示,一个水平放置的四边形OABC的斜二测画法的直观图是边长为2的正方形O1A1B1C1,则原四边形OABC的面积是( )
A.162 B.82 C.16 D.8
5.长方体的一个顶点上三条棱长分别是3,4,5,且它的8个顶点都在同一球面上,则球的表
面积是( ) A.25π B.50π C.125π D.都不对
6.一艘船以40海里/小时的速度向正北航行,在A处看灯塔S在船的北偏东30°,0.5小时后航行到B处.在B处看灯塔S在船的北偏东75°,则灯塔S与B之间的距离是( )
A.5海里 B.10海里 C.52海里 D.102海里
7.如图,在△ABC中,设=,=,=2,=4,则=( )
A.c<b<a B.a<b<c C.a<c<b D.b<c<a
二、多项选择题:本题共3小题,每小题5分,共15分.在每小题给出的四个选项中,有多项符合题目要求,全部选对的得5分,部分选对的得2或4分,有选错的得0分.
9.若复数z=m2-2m-3+(m2-1)i,(m∈R),则下列正确的是( )
A.当m=1或m=-1时,z为实数 B.若z为纯虚数,则m=-1或m=3
C.若复数z对应的点位于第二象限,则1<m<3
D.若复数z对应的点位于直线y=2x上,则z=12+24i
10.已知向量=(3,-2),=(2,t),(t∈R),则( )
A.与方向相同的单位向盘的坐标为(313,−213) B.当t=2时,与的夹角为锐角
C.当r=1时,、可作为平面内的一组基底
D.当t=4时,在方向上的投影向量为(−313,213)
11.在△ABC中,角A,B,C所对的边分别为a,b,c,已知sinA=2sinB,则下列说法正确的是( )
A.若C=2π3,则c=22b B.若C=2B,则△ABC是直角三角形
C.若△ABC是等腰三角形,则sinB=158 D.若c=3,则△ABC的面积最大值为3
三、填空题:本题共4小题,每小题5分,共20分
12.已知向量=(3,4),=(-1,5),=(2,3),若-与t+共线,则实数t=_____.
13.“阿基米德多面体”也称半正多面体,是由边数不全相同的正多边形围成的多面体,它体现了数学的对称换.二十四等边体就是一种半多正多面体.如图,棱长为1的正方体截去八个
一样的四面体,就得到二十四等边体,则该几何体的体积为______,
14.如图所示,在等腰直角△ABC中,AB=AC=2,O为BC中点,E,F分别是线段AB,AC上的动点,且∠EOF=150°,当EF∥BC时,则EF2的值为_____
四、解答题:共77分.第15题13分,第16.17题15分,第18.19题17分.
解答应写出文字说明,证明过程取演算步骤.
15.已知向量,满足||=2,||=1,(-3)·(+)=3:
(1)求|+|的值; (2)求向量与-2的夹角.
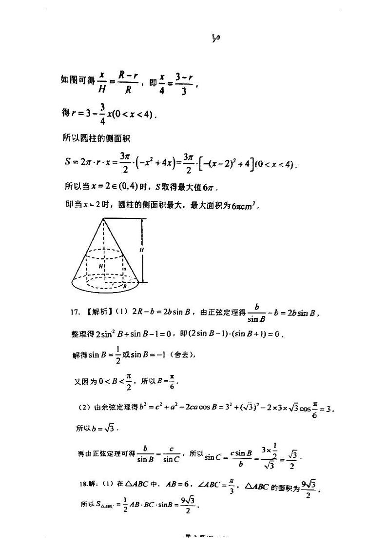
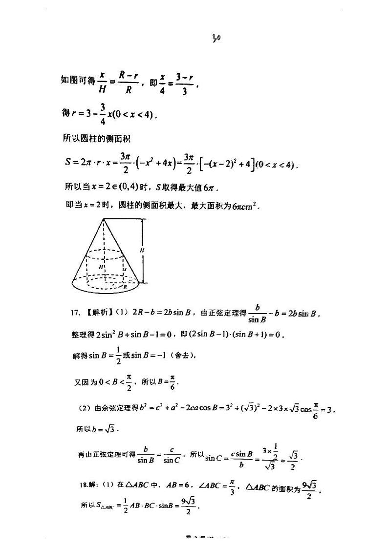
16.如图,一个圆锥的底面半径R=3cm,高H=4cm,在其内部有一个高为x厘米的内接圆柱(圆柱的下底面在圆锥的底面上,上底面圆周上的点都在圆锥的侧面上).
求圆锥的侧面积,(2)当x为何值时,圆柱的侧面积最大?求出最大值.
已知△ABC的内角A,B,C的对边分别为a,b,c,△ABC的外接圆的半径为R,且2R-b=2bsinB,且0<B<π2 (1)求B (2)若a=3,c=3,求sinC.
18.如图,在平面四边形ABCD中,∠ABC=∠ACD=π3,AB=6
(1)若△ABC的面积为932,求AC (2)在(1)的条件下,若,求cs2D.
(1)化简y=f(x)的表达式.
(2)若y=f(x)的最小正周期为π,求y=f(x),x∈(0,π2)的单调区向与值域.
(3)将(2)中的函数f(x)图像上所有的点向右平移Ψ(Ψ∈(0,π2])个单位长度,得到函数
y=g(x),且y=g(x)图像关于x=0对称.若对于任意的实数a,函数y=g(λx),x∈[a,a+π3]
与y=1的公共点个数不少于6个且不多于10个,求正实数x的取值范围.
相关试卷
这是一份2023-2024学年山东省淄博实验中学、齐盛高级中学高一(下)诊断数学试卷(4月份)(含解析),共18页。试卷主要包含了单选题,多选题,填空题,解答题等内容,欢迎下载使用。
这是一份2023-2024学年山东省淄博实验中学、齐盛高级中学高一(下)诊断数学试卷(4月份)(含解析),共18页。试卷主要包含了单选题,多选题,填空题,解答题等内容,欢迎下载使用。
这是一份山东省淄博市实验中学、淄博齐盛高级中学2023-2024学年高一下学期4月月考数学试卷(无答案),共2页。试卷主要包含了单项选择题,多项选择题,填空题,解答题等内容,欢迎下载使用。