



所属成套资源:【二轮复习】2024届高考数学《8+3+3》小题强化训练(新高考九省联考题型)
【二轮复习】高考数学“8+3+3”小题强化训练1(新高考九省联考题型).zip
展开
这是一份【二轮复习】高考数学“8+3+3”小题强化训练1(新高考九省联考题型).zip,文件包含二轮复习高中数学“8+3+3”小题强化训练1新高考九省联考题型原卷版docx、二轮复习高中数学“8+3+3”小题强化训练1新高考九省联考题型解析版docx等2份试卷配套教学资源,其中试卷共10页, 欢迎下载使用。
1.对两个具有线性相关关系的变量x和y进行统计时,得到一组数据,通过这组数据求得回归直线方程为,则m的值为( )
A. 3B. 5C. 5.2D. 6
【答案】A
【解析】易知,代入得.
故选:A
2.已知m,n表示两条不同直线,表示平面,下列说法正确的是( )
A. 若则B. 若,,则
C. 若,,则D. 若,,则
【答案】B
【解析】线面垂直,则有该直线和平面内所有的直线都垂直,故B正确.
故选:B
3.已知向量,满足,,且,则在方向上的投影向量为( )
A. 3B. C. D.
【答案】D
【解析】,则,故,
在方向上的投影向量.
故选:D.
4.若n为一组从小到大排列的数1,2,4,8,9,10的第六十百分位数,则二项式的展开式的常数项是( )
A. 7B. 8C. 9D. 10
【答案】A
【解析】因为n为一组从小到大排列的数1,2,4,8,9,10的第六十百分位数,,
所以,
二项式的通项公式为,
令,所以常数项为,
故选:A
5.折扇是我国古老文化的延续,在我国已有四千年左右的历史,“扇”与“善”谐音,折扇也寓意“善良”“善行”.它常以字画的形式体现我国的传统文化,也是运筹帷幄、决胜千里、大智大勇的象征(如图1).图2是一个圆台的侧面展开图(扇形的一部分),若两个圆弧DE,AC所在圆的半径分别是3和6,且,则该圆台的体积为( )
A. B. C. D.
【答案】D
【解析】设圆台上下底面的半径分别为,由题意可知,解得,
,解得:,作出圆台的轴截面,如图所示:
图中,,
过点向作垂线,垂足为,则,
所以圆台的高,
则上底面面积,,由圆台的体积计算公式可得:
,
故选:D.
6.已知函数的两个零点分别为,若三个数适当调整顺序后可为等差数列,也可为等比数列,则不等式的解集为( )
A. B.
C. D.
【答案】A
【解析】由函数的两个零点分别为,
即是的两个实数根据,则
因为,可得,
又因为适当调整可以是等差数列和等比数列,
不妨设,可得,解得,
所以,所以,
则不等式,即为,解得,所以不等式的解集为.
故选:A.
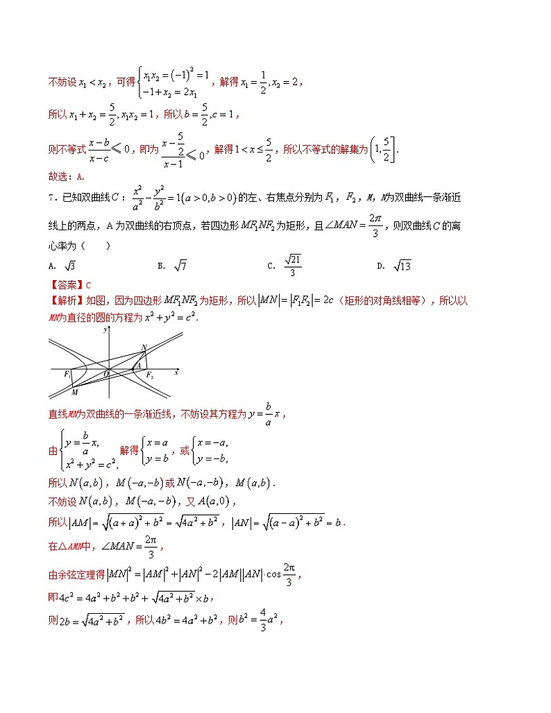
7.已知双曲线:的左、右焦点分别为,,M,N为双曲线一条渐近线上的两点,为双曲线的右顶点,若四边形为矩形,且,则双曲线的离心率为( )
A. B. C. D.
【答案】C
【解析】如图,因为四边形为矩形,所以(矩形的对角线相等),所以以MN为直径的圆的方程为.
直线MN为双曲线的一条渐近线,不妨设其方程为,
由解得,或
所以,或,.
不妨设,,又,
所以,.
在△AMN中,,
由余弦定理得,
即,
则,所以,则,
所以.
故选:C.
8.已知,则有( )
A. B. C. D.
【答案】C
【解析】令,则.
当时,有,所以,
所以,在上恒成立,
所以,在上单调递增,
所以,,
所以,,即,所以
令,则在时恒大于零,故为增函数,
所以,而,所以,
所以,
故选:C
二、选择题:本题共3小题,每小题6分,共18分.在每小题给出的选项中,有多项符合题目要求.全部选对的得6分,部分选对的得部分分,有选错的得0分.
9.已知函数,则( )
A. 函数为偶函数 B. 曲线对称轴为
C. 在区间单调递增 D. 的最小值为
【答案】AC
【解析】
,
即,
对于A,,易知为偶函数,所以A正确;
对于B,对称轴为,故B错误;
对于C,,单调递减,则
单调递增,故C正确;
对于D,,则,所以,故D错误;
故选:AC
10.设为复数,则下列命题中正确的是( )
A.
B. 若,则复平面内对应的点位于第二象限
C.
D. 若,则的最大值为2
【答案】ABD
【解析】对于A,设,故,则,,故成立,故A正确,
对于B,,,显然复平面内对应的点位于第二象限,故B正确,
对于C,易知,,当时,,故C错误,
对于D,若,则,而,易得当时,最大,此时,故D正确.
故选:ABD
11.已知菱形的边长为2,.将沿着对角线折起至,连结.设二面角的大小为,则下列说法正确的是( )
A. 若四面体为正四面体,则
B. 四面体的体积最大值为1
C. 四面体的表面积最大值为
D. 当时,四面体的外接球的半径为
【答案】BCD
【解析】如图,取中点,连接,则,,为二面角的平面角,即.
若是正四面体,则,不是正三角形,,A错;
四面体的体积最大时,平面,此时到平面的距离最大为,而,所以,B正确;
,
易得,,
未折叠时,折叠到重合时,,中间存在一个位置,使得,则,,此时取得最大值2,
所以四面体的表面积最大值为,C正确;
当时,如图,设分别是和的外心,在平面内作,作,,则是三棱锥外接球的球心,
由上面证明过程知平面与平面、平面垂直,即四点共面,
,则,,,
为球半径,D正确.
故选:BCD.
三、填空题:本题共3小题,每小题5分,共15分.
12.设集合,,则____________.
【答案】
【解析】因为,所以,即,
因为,解得,所以,
所以,.
故答案为:
13.已知正项等比数列的前项和为,且,则的最小值为__________.
【答案】
【解析】设正项等比数列的公比为,则,
所以,
,
则,则,可得,则,
所以,
,
当且仅当时,即当时,等号成立,
故的最小值为.
故答案为:24
14.已知为拋物线的焦点,过点的直线与拋物线交于不同的两点,,拋物线在点处的切线分别为和,若和交于点,则的最小值为__________.
【答案】10
【解析】的焦点为,设直线方程为,.
联立直线与抛物线方程有,则.
又求导可得,故直线方程为.
又,故,同理.
联立可得,解得,代入可得,代入韦达定理可得,故.
故,当且仅当,即时取等号.
故答案为:10
相关试卷
这是一份【二轮复习】高考数学“8+3+3”小题强化训练18(新高考九省联考题型).zip,文件包含二轮复习高中数学“8+3+3”小题强化训练18新高考九省联考题型原卷版docx、二轮复习高中数学“8+3+3”小题强化训练18新高考九省联考题型解析版docx等2份试卷配套教学资源,其中试卷共12页, 欢迎下载使用。
这是一份【二轮复习】高考数学“8+3+3”小题强化训练17(新高考九省联考题型).zip,文件包含二轮复习高中数学“8+3+3”小题强化训练17新高考九省联考题型原卷版docx、二轮复习高中数学“8+3+3”小题强化训练17新高考九省联考题型解析版docx等2份试卷配套教学资源,其中试卷共10页, 欢迎下载使用。
这是一份【二轮复习】高考数学“8+3+3”小题强化训练15(新高考九省联考题型).zip,文件包含二轮复习高中数学“8+3+3”小题强化训练15新高考九省联考题型原卷版docx、二轮复习高中数学“8+3+3”小题强化训练15新高考九省联考题型解析版docx等2份试卷配套教学资源,其中试卷共11页, 欢迎下载使用。