- 2024届广东省大湾区高三二模语文试题+答案 试卷 0 次下载
- 2024届广东省大湾区高三二模英语试题+答案 试卷 1 次下载
- 2024届广东省大湾区高三二模日语试题+答案 试卷 0 次下载
- 2024届广东省大湾区高三二模地理试题+答案 试卷 0 次下载
- 2024届广东省大湾区高三二模政治试题+答案 试卷 0 次下载
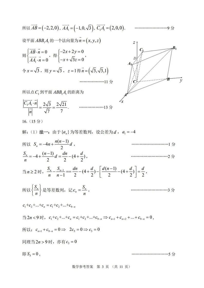
2024届广东省大湾区高三二模数学试题+答案
展开2024届广东省大湾区高三联合模拟考试数学试题(一)(含答案): 这是一份2024届广东省大湾区高三联合模拟考试数学试题(一)(含答案),共14页。
2024届大湾区高三一模数学试题含答案: 这是一份2024届大湾区高三一模数学试题含答案,共14页。
2023届广东省大湾区联合模拟考试(二)数学试题: 这是一份2023届广东省大湾区联合模拟考试(二)数学试题,文件包含2023届大湾区第二次联合考试数学答案pdf、2023大湾区普通高中毕业班联合模拟考试二数学pdf等2份试卷配套教学资源,其中试卷共21页, 欢迎下载使用。

