所属成套资源:2024届高考新结构数学-选择填空强化训练 (2份打包,原卷版+解析版)
2024届高考新结构数学-选择填空强化训练五(2份打包,原卷版+解析版)
展开
这是一份2024届高考新结构数学-选择填空强化训练五(2份打包,原卷版+解析版),文件包含2024届高考新结构数学-选择填空强化训练五原卷版docx、2024届高考新结构数学-选择填空强化训练五解析版docx等2份试卷配套教学资源,其中试卷共12页, 欢迎下载使用。
1.样本数据16,24,14,10,20,30,12,14,40的中位数为( )
A. 14B. 16C. 18D. 20
2.若复数是纯虚数,则实数( )
A. B. C. D.
3.已知圆,圆,则这两圆的位置关系为( )
A. 内含B. 相切C. 相交D. 外离
4.有5辆车停放6个并排车位,货车甲车体较宽,停靠时需要占两个车位,并且乙车不与货车甲相邻停放,则共有( )种停放方法.
A. 72B. 144C. 108D. 96
5.冬季是流感高发期,其中甲型流感病毒传染性非常强.基本再生数与世代间隔是流行病学基本参考数据.某市疾控中心数据库统计分析,可以用函数模型来描述累计感染甲型流感病毒的人数随时间t,(单位:天)的变化规律,其中指数增长率与基本再生数和世代间隔T之间的关系近似满足,根据已有数据估计出时,.据此回答,累计感染甲型流感病毒的人数增加至的3倍至少需要(参考数据:,)( )
A. 6天B. 7天C. 8天D. 9天
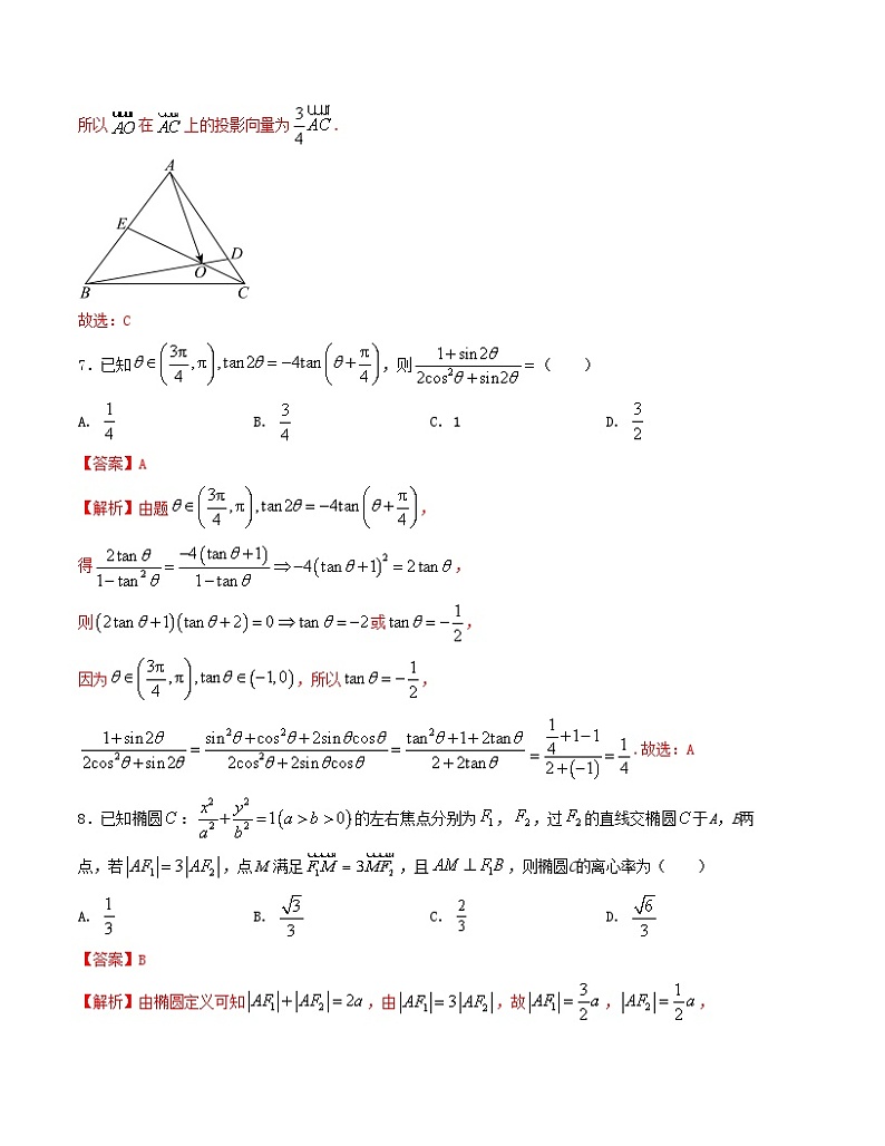
6.在等边中,已知点,满足,,与交于点,则在上的投影向量为( )
A. B. C. D.
7.已知,则( )
A. B. C. 1D.
8.已知椭圆:的左右焦点分别为,,过的直线交椭圆于A,B两点,若,点满足,且,则椭圆C的离心率为( )
A. B. C. D.
二、选择题:本题共3小题,每小题6分,共18分.在每小题给出的选项中,有多项符合题目要求.全部选对的得6分,部分选对的得部分分,有选错的得0分.
9.某学校高一年级学生有900人,其中男生500人,女生400人,为了获得该校高一全体学生的身高信息,现采用样本量比例分配的分层随机抽样方法抽取了容量为180的样本,经计算得男生样本的均值为170,方差为19,女生样本的均值为161,方差为28,则下列说法中正确的是( )
A. 男生样本容量为100B. 抽取的样本的方差为43
C. 抽取的样本的均值为166D. 抽取的样本的均值为165.5
10.在前n项和为的正项等比数列中,,,,则( )
A. B.
C. D. 数列中的最大项为
11.已知双曲线的左、右焦点分别为、,过左焦点的直线与双曲线的左支相交于两点(在第二象限),点与关于坐标原点对称,点的坐标为),则下列结论正确的是( )
A. 记直线、的斜率分別为、,则3
B. 若,则
C. 的最小值为6
D. 的取值范围是
三、填空题:本题共3小题,每小题5分,共15分.
12.已知平面向量满足,,,则向量夹角的余弦值为__________.
13.若函数在区间内没有零点,则正数ω的取值范围是____.
14.在四面体中,,若,则四面体体积的最大值是__________,它的外接球表面积的最小值为__________.
相关试卷
这是一份2024届高考新结构数学-选择填空强化训练四(2份打包,原卷版+解析版),文件包含2024届高考新结构数学-选择填空强化训练四原卷版docx、2024届高考新结构数学-选择填空强化训练四解析版docx等2份试卷配套教学资源,其中试卷共11页, 欢迎下载使用。
这是一份2024届高考新结构数学-选择填空强化训练十(2份打包,原卷版+解析版),文件包含2024届高考新结构数学-选择填空强化训练十原卷版docx、2024届高考新结构数学-选择填空强化训练十解析版docx等2份试卷配套教学资源,其中试卷共15页, 欢迎下载使用。
这是一份2024届高考新结构数学-选择填空强化训练六(2份打包,原卷版+解析版),文件包含2024届高考新结构数学-选择填空强化训练六原卷版docx、2024届高考新结构数学-选择填空强化训练六解析版docx等2份试卷配套教学资源,其中试卷共12页, 欢迎下载使用。

