2024年中考数学考信息必刷卷03(四川成都专用)
展开
这是一份2024年中考数学考信息必刷卷03(四川成都专用),文件包含信息必刷卷03四川成都专用-2024年中考数学考前信息必刷卷原卷版docx、信息必刷卷03四川成都专用-2024年中考数学考前信息必刷卷解析版docx、信息必刷卷03四川成都专用-2024年中考数学考前信息必刷卷参考答案docx等3份试卷配套教学资源,其中试卷共44页, 欢迎下载使用。
A卷(共100分)
第Ⅰ卷(共32分)
一、选择题(本题共8个小题,每小题4分,共32分).
第Ⅱ卷(共68分)
填空题(本题共5个小题,每题4分,满分20分,将答案填在答题纸上)
9.1 10. 11. 12. 13.
三、解答题 (本大题共5小题,共48分.其中:14题满分12分,15-16题每题满分8分,17-18题每题满分10分,解答应写出文字说明、证明过程或演算步骤.)
14.(12分)【答案】(1)(2)不等式组的解集为:;不等式组的整数解为:
【详解】解:(1)
(3分)
(5分)
;(6分)
(2)解不等式①得,;(7分)
解不等式②得,;(8分)
∴不等式组的解集为:;(10分)
∴不等式组的整数解为:(12分)
15.(8分)【答案】(1),;(2)频数分布直方图见解析;(3)人.
【详解】(1)解:(1);(2分)
(人),.(4分)
(2)解:;频数分布直方图如图所示.
(6分)
(3)(人).答:本次竞赛成绩为优秀的学生约有人.(8分)
16.(8分)【答案】(1)车后盖最高点到地面的距离为(2)没有危险,详见解析
【详解】(1)如图,作,垂足为点
在中∵,∴ ∴(2分)
∵平行线间的距离处处相等 ∴
答:车后盖最高点到地面的距离为.(4分)
(2)没有危险,理由如下:过作,垂足为点
∵,∴(5分)
∵∴(6分)
在中,∴.(7分)
∵平行线间的距离处处相等∴到地面的距离为.∵ ∴没有危险.(8分)
17.(10分)【答案】(1)证明见解析(2)
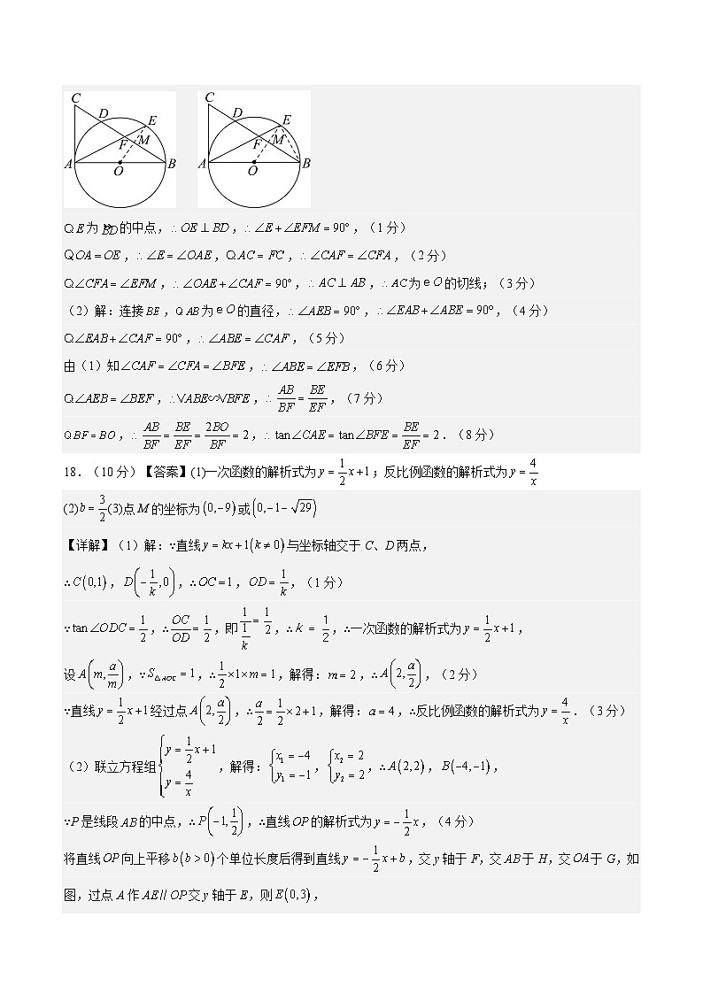
【详解】(1)证明:连接交于点M,
为的中点,,,(1分)
,,,,(2分)
,,,为的切线;(3分)
(2)解:连接,为的直径,,,(4分)
,,(5分)
由(1)知,,(6分)
,,,(7分)
,,.(8分)
18.(10分)【答案】(1)一次函数的解析式为;反比例函数的解析式为
(2)(3)点M的坐标为或
【详解】(1)解:∵直线与坐标轴交于C、D两点,
∴,,∴,,(1分)
∵,∴,即,∴,∴一次函数的解析式为,
设,∵,∴,解得:,∴,(2分)
∵直线经过点,∴,解得:,∴反比例函数的解析式为.(3分)
(2)联立方程组,解得:,,∴,,
∵P是线段的中点,∴,∴直线的解析式为,(4分)
将直线向上平移个单位长度后得到直线,交y轴于F,交于H,交于G,如图,过点A作交y轴于E,则,
∵点P是线段的中点,∴,
∵直线向上平移个单位将的面积分成两部分,∴,(5分)
∵,∴,∴,∴,
∵,∴,∴,代入,得.(6分)
(3)根据“四边形是直角等补形”可知:四边形中只有一组邻边相等,且只有一组对角为直角,当,时,如图,过点A、B分别作y轴,x轴的平行线交于点K,交y轴于L,则,
∵,,∴,,,(7分)
∵,∴,∴,
∴即,∴,∴,∴,(8分)
当时,如图,过点B作轴于L,
则,,,(9分)
∴,∴,∴.
综上所述,点M的坐标为或.(10分)
B卷(共50分)
一、填空题(本题共5个小题,每题4分,满分20分,将答案填在答题纸上)
19. 20. 21. 22.4 23.
二、解答题 (本大题共3小题,共30分.其中:24题满分8分,25题满分10分,26题满分12分,解答应写出文字说明、证明过程或演算步骤.)
24.(8分)【答案】(1)A,B两种葡萄每千克的售价各是12元,8元.
(2)当包装A品种葡萄100包时,所获总利润最大,最大总利润为元
【详解】(1)解:设葡萄种植基地销售的A,B两种葡萄每千克的售价各是x元,y元,根据题意,得
,解得答:A,B两种葡萄每千克的售价各是12元,8元.(3分)
(2)设包装A品种葡萄m包,则包装B品种葡萄包,设总利润为w元,
则,解得,(5分)
总利润,(6分)
∵,∴w随着m的增大而增大,
∵,∴当时,得到最大值,
∴当包装A品种葡萄100包时,所获总利润最大,最大总利润为元(8分)
25.(10分)【答案】(1),(2)或(3)见解析
【详解】(1)解:对于抛物线,当时,,则,(1分)
当,即解得:,∴ (3分)
(2)解:如图所示,以为斜边向上作等腰直角三角形,
∵,则,∴ (4分)
∴依题意,,∴是半径为的与抛物线的交点,
设,其中∴,(5分)
整理得解得:
∵∴或则或;(6分)
(3)解:设,∵,,设直线的解析式分别为
∴,解得:,∴(7分)
联立,消去得:,
∴,即 由可得
依题意,直线的解析式为即(8分)
联立则∴,,
∴消去得:(9分)
解得:(与直线重合,故舍去)或 即点的运动轨迹是一条定直线.
(10分)
26.(12分)【答案】(1)(2)(3)或
【详解】(1)解:中,,,,,
是边上的中线,,(1分)
点是的中点,点是的中点,是的中位线,
,,
将沿翻折得到,,,,(2分)
是的中位线,,,
设,则,在中,,,
即当点是边的中点时,的长为;(3分)
(2)解:由(1)知,,将沿翻折得到,,,
在和中,,,(4分)
,设,则,,(5分)
,(经检验是原方程的根);(6分)
(3)解:①如图,当时,
,,,,,
作于,,,,(7分)
,,,,
,;(8分)
②如图,当时,,,,,(9分)
,,,(10分)
,,,(11分)
,,,;
综上所述,存在点,使得为直角三角形,的长为或.(12分)
1
2
3
4
5
6
7
8
A
C
A
D
A
B
A
D
相关试卷
这是一份必刷卷03-2023年中考数学考前信息必刷卷(安徽专用),文件包含必刷卷03-2023年中考数学考前信息必刷卷安徽专用解析版docx、必刷卷03-2023年中考数学考前信息必刷卷安徽专用原卷版docx等2份试卷配套教学资源,其中试卷共32页, 欢迎下载使用。
这是一份必刷卷01-2023年中考数学考前信息必刷卷(安徽专用),文件包含必刷卷01-2023年中考数学考前信息必刷卷安徽专用解析版docx、必刷卷01-2023年中考数学考前信息必刷卷安徽专用原卷版docx等2份试卷配套教学资源,其中试卷共35页, 欢迎下载使用。
这是一份必刷卷03——2023年中考数学考前30天冲刺必刷卷(四川成都专用),文件包含必刷卷032023年中考数学考前30天冲刺必刷卷四川成都专用解析版docx、必刷卷032023年中考数学考前30天冲刺必刷卷四川成都专用原卷版docx等2份试卷配套教学资源,其中试卷共33页, 欢迎下载使用。

