资料中包含下列文件,点击文件名可预览资料内容





还剩3页未读,
继续阅读
湖北省武汉市育才高级中学2023-2024学年高一下学期4月月考数学试题(附解析版)
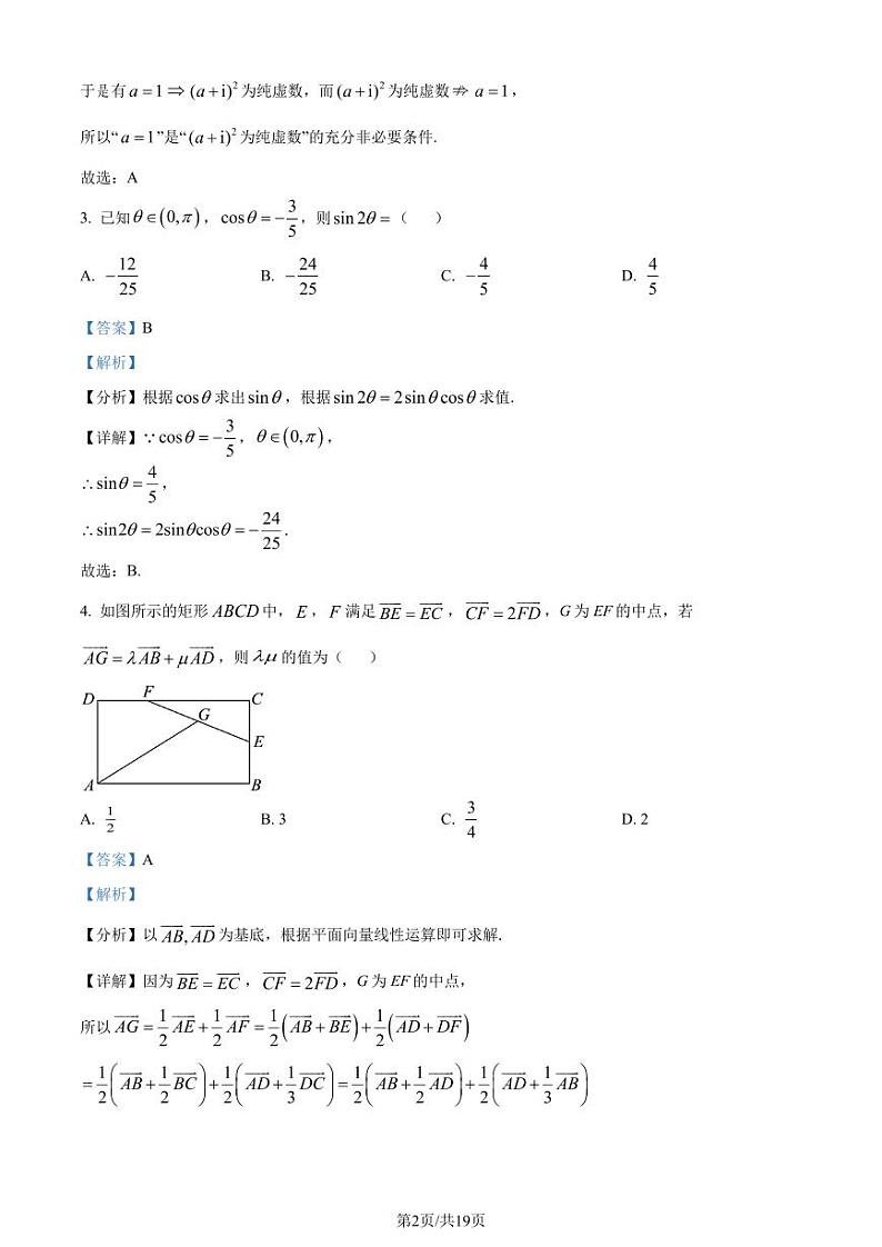
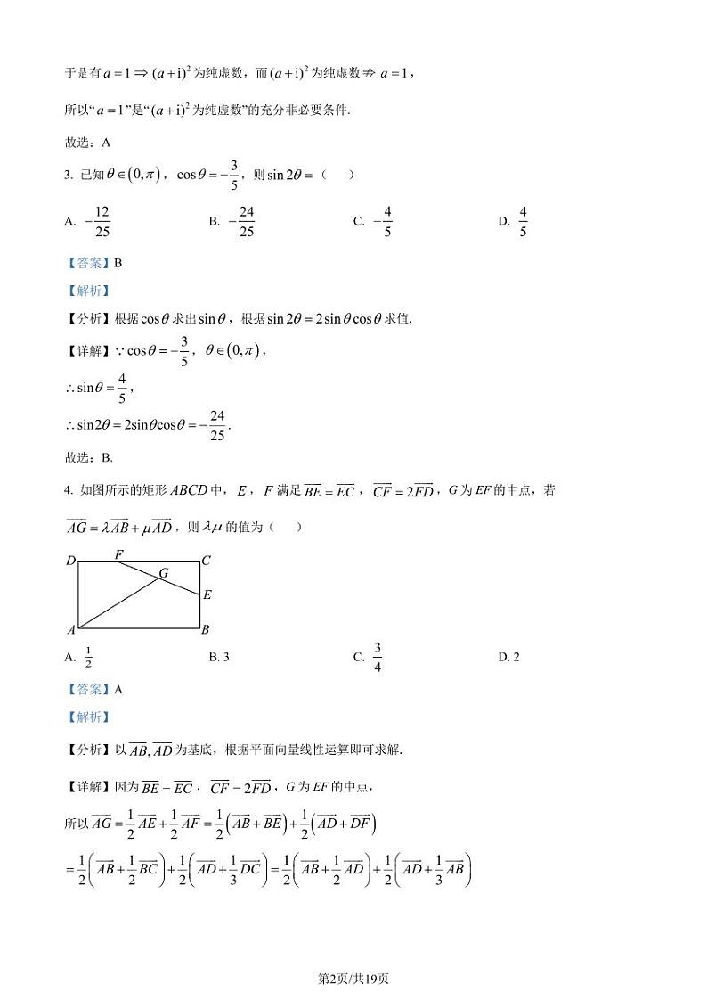
展开
这是一份湖北省武汉市育才高级中学2023-2024学年高一下学期4月月考数学试题(附解析版),文件包含湖北省武汉市育才高级中学2023-2024学年高一下学期4月月考数学试题原卷版pdf、湖北省武汉市育才高级中学2023-2024学年高一下学期4月月考数学试题解析版pdf等2份试卷配套教学资源,其中试卷共24页, 欢迎下载使用。
相关试卷
湖北省武汉市育才高级中学2023-2024学年高一下学期4月月考数学试题(原卷版+解析版):
这是一份湖北省武汉市育才高级中学2023-2024学年高一下学期4月月考数学试题(原卷版+解析版),文件包含湖北省武汉市育才高级中学2023-2024学年高一下学期4月月考数学试题原卷版docx、湖北省武汉市育才高级中学2023-2024学年高一下学期4月月考数学试题解析版docx等2份试卷配套教学资源,其中试卷共24页, 欢迎下载使用。
湖北省武汉市第十一中学2023-2024学年高一下学期3月月考数学试题(Word版附解析):
这是一份湖北省武汉市第十一中学2023-2024学年高一下学期3月月考数学试题(Word版附解析),文件包含湖北省武汉市第十一中学2023-2024学年高一下学期3月月考数学试卷Word版含解析docx、湖北省武汉市第十一中学2023-2024学年高一下学期3月月考数学试卷Word版无答案docx等2份试卷配套教学资源,其中试卷共23页, 欢迎下载使用。
湖北省武汉市育才高级中学2023-2024学年高一下学期4月月考数学试题:
这是一份湖北省武汉市育才高级中学2023-2024学年高一下学期4月月考数学试题,共16页。试卷主要包含了单选题,多选题,填空题,解答题等内容,欢迎下载使用。
