山东省菏泽市2024届高三下学期3月一模考试 数学试卷及参考答案
展开
这是一份山东省菏泽市2024届高三下学期3月一模考试 数学试卷及参考答案,文件包含数学试题docx、数学答案pdf等2份试卷配套教学资源,其中试卷共10页, 欢迎下载使用。
一、选择题: 本题共 8 小题, 每小题 5 分, 共 40 分. 在每小题给出的四个选项中, 只有一项是符合题目要求的.
1.已知样本数据为 x1、x2、x3、x4、x5、x6、x7, 去掉一个最大值和一个最小值后的数据与原来的数据相比, 下列数字特征一定不变的是
A. 极差B. 平均数C. 中位数D. 方差
2.已知复数 z 满足 z(1+i)=i2024, 其中 i 为虚数单位, 则 z 的虚部为
A. -12B. 12C. -12iD. 22
3.已知集合 A={x∣x=3n,n∈Z},B={x∣0≤x≤6}, 则 A∩B=
A. {1,2}B. {3,6}C. {0,1,2}D. {0,3,6}
4.p:m=2,q:(mx+y)5 的展开式中 x2y3 项的系数等于 40 , 则 p 是 q 的
A. 充分不必要条件B. 必要不充分条件
C. 充要条件D. 既不充分又不必要条件
5.已知向量 a=(sinθ,csθ),b=(2,1), 若 a⋅b=|b|, 则 tanθ=
A. 22B. 2C. 3D. 32
6.已知 f(x)=xh(x), 其中 h(x) 是奇函数且在 R 上为增函数, 则
A. flg213>f2-32>f2-23B. f2-32>f2-23>flg213
C. flg213>f2-23>f2-32D. f2-23>f2-32>flg213
7.已知圆 C1:x2+(y-3)2=8 与圆 C2:(x-a)2+y2=8 相交于 A、 B 两点, 直线 AB 交 x轴于点 P, 则 S△C1PC2 的最小值为
A. 32B. 92C. 272D. 232
8.若数列 an 的通项公式为 an=(-1)n-1n, 记在数列 an 的前 n+2n∈N* 项中任取两数都是正数的概率为 Pn, 则
A. P1=23B. P90,b>0) 的右焦点 F 且交双曲线右支于 A、B 两点, A 在第一象限, 若 |OF|=|AF|, 则 C 的离心率为_________
14.关于 x 的不等式 xeax+bx-lnx≥1(a>0) 恒成立, 则 ba 的最小值为_______
四、解答题: 本题共 5 小题, 共 77 分. 解答应写出文字说明、证明过程或演算步骤.
15.(13 分) 已知数列 an 的前 n 项和为 Sn, 且 Sn=2an-2n∈N*.
(1) 求数列 an 的通项公式;
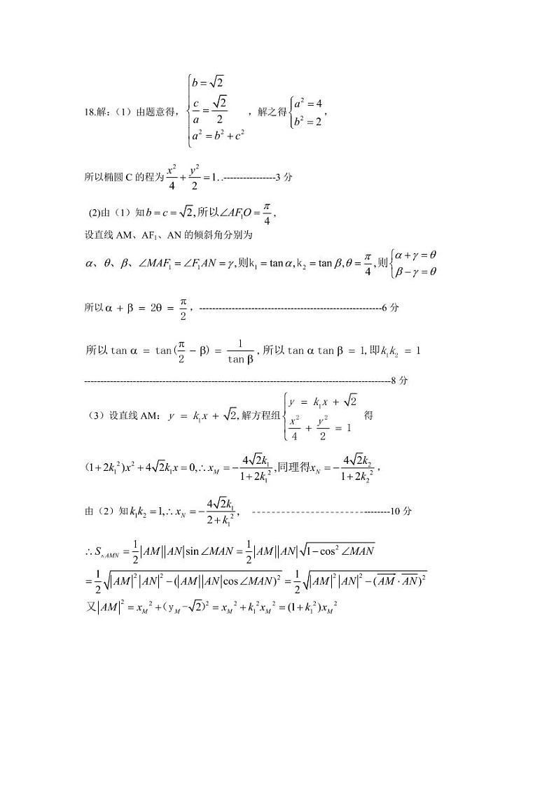
(2) 若 bn=lg2a2n-1,cn=1bnbn+1, 求证: c1+c2+c3+⋯+cnb>0) 与 y 轴的一个交点为 A(0,2), 离心率为 22,F1,F2 为左、右焦点, M,N 为粗圆上的两动点, 且 ∠MAF1=∠NAF1.
(1) 求粗圆 C 的方程;
(2) 设 AM,AN 的斜率分别为 k1,k2, 求 k1k2 的值;
(3) 求 △AMN 面积的最大值.
19.(17 分) 帕德近似是法国数学家亨利. 帕德发明的用有理多项式近似特定函数的方法. 给定两个正整数 m,n, 函数 f(x) 在 x=0 处的 [m,n] 阶帕德近似定义为:
R(x)=a0+a1x+⋯+amxm1+b1x+⋯+bnxn, 且满足: f(0)=R(0),f'(0)=R'(0),f''(0)=R''(0),⋯, f(m+n)(0)=R(m+n)(0).
(注: f''(x)=f'(x)',f'''(x)=f''(x)',f(4)(x)=f'''(x)',f(5)(x)=f(4)(x)',⋯;f(n)(x) 为 f(n-1)(x) 的导数)
已知 f(x)=ln(x+1) 在 x=0 处的 [1,1] 阶帕德近似为 R(x)=ax1+bx.
(1) 求实数 a,b 的值;
(2) 比较 f(x) 与 R(x) 的大小;
(3) 若 h(x)=f(x)R(x)-12-mf(x) 在 (0,+∞) 上存在极值, 求 m 的取值范围.球号
1 号球
3 号球
答对概率
0.8
0.5
奖金
100
500
相关试卷
这是一份山东省烟台市、德州市2024届高三下学期一模考试 数学试卷及参考答案,文件包含数学试题docx、数学答案pdf等2份试卷配套教学资源,其中试卷共8页, 欢迎下载使用。
这是一份山东省潍坊市2024届高三下学期3月一模考试 数学试卷及参考答案,文件包含数学试题docx、数学答案pdf等2份试卷配套教学资源,其中试卷共6页, 欢迎下载使用。
这是一份山东省临沂市2024届高三下学期3月一模考试 数学试卷及参考答案,文件包含数学试题docx、数学答案pdf等2份试卷配套教学资源,其中试卷共11页, 欢迎下载使用。

