


还剩5页未读,
继续阅读
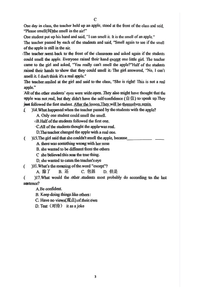
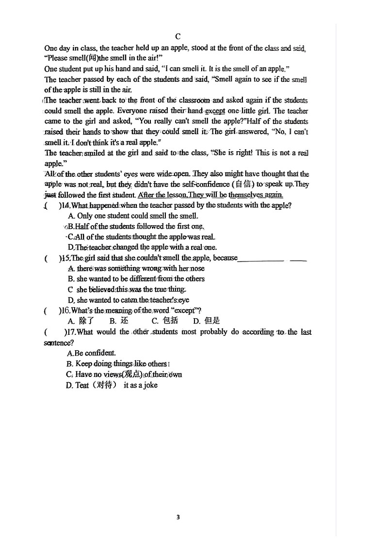
辽宁省大连市甘井子区2023-2024学年七年级下学期4月月考英语试题(图片版无答案)
展开
这是一份辽宁省大连市甘井子区2023-2024学年七年级下学期4月月考英语试题(图片版无答案),共8页。
相关试卷
辽宁省大连市甘井子区2023-2024学年七年级上学期1月期末英语试题:
这是一份辽宁省大连市甘井子区2023-2024学年七年级上学期1月期末英语试题,共8页。
辽宁省大连市甘井子区2023-2024学年七年级上学期1月期末英语试题:
这是一份辽宁省大连市甘井子区2023-2024学年七年级上学期1月期末英语试题,共8页。
辽宁省大连市甘井子区2023-2024学年七年级上学期1月期末英语试题:
这是一份辽宁省大连市甘井子区2023-2024学年七年级上学期1月期末英语试题,共8页。
