


还剩10页未读,
继续阅读
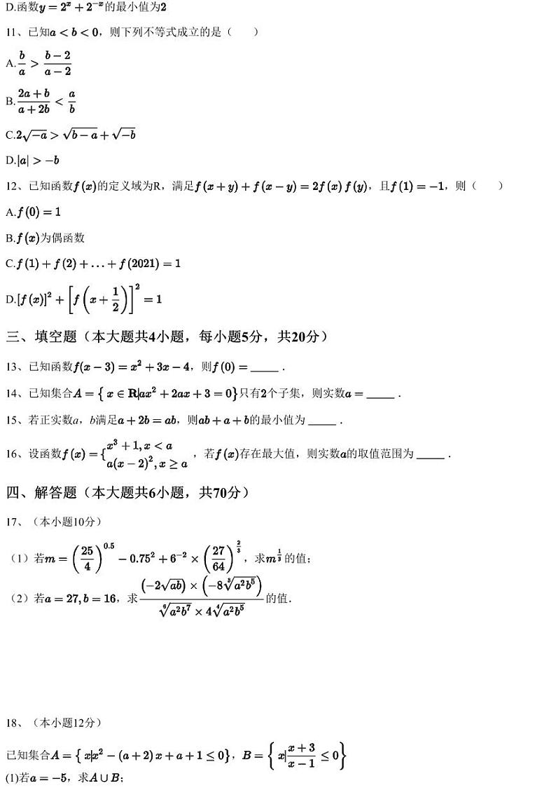
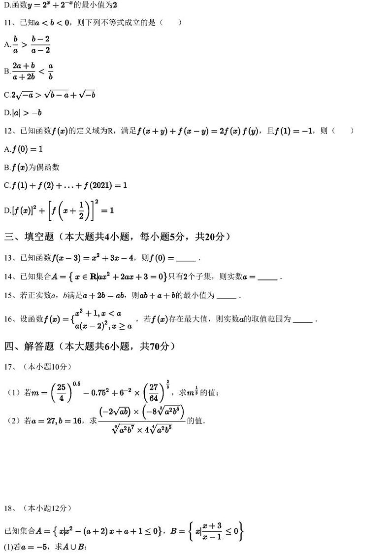
2022~2023学年广东广州天河区华南师范大学附属中学高一上学期期中数学试卷
展开
这是一份2022~2023学年广东广州天河区华南师范大学附属中学高一上学期期中数学试卷,共13页。
相关试卷
广东省广州市华南师范大学附属中学2022-2023学年高一上学期期末数学试题(学生版+解析):
这是一份广东省广州市华南师范大学附属中学2022-2023学年高一上学期期末数学试题(学生版+解析),共24页。试卷主要包含了 不等式的解集为, 已知角的终边过点,则的值为, 下列命题中正确的是, 下列结论正确的是等内容,欢迎下载使用。
广东省广州市华南师范大学附属中学2023-2024学年高二上学期期中考试数学试卷:
这是一份广东省广州市华南师范大学附属中学2023-2024学年高二上学期期中考试数学试卷,共5页。
广东省广州市华南师范大学附属中学2022-2023学年高一上学期期末数学试题及答案:
这是一份广东省广州市华南师范大学附属中学2022-2023学年高一上学期期末数学试题及答案,文件包含广东省广州市华南师范大学附属中学2022-2023学年高一上学期期末数学试题教师版含解析docx、广东省广州市华南师范大学附属中学2022-2023学年高一上学期期末数学试题学生版docx等2份试卷配套教学资源,其中试卷共24页, 欢迎下载使用。