河北省承德市承德县第一中学等校2023-2024学年高一下学期3月联考数学试题(原卷版+解析版)
展开
这是一份河北省承德市承德县第一中学等校2023-2024学年高一下学期3月联考数学试题(原卷版+解析版),文件包含河北省承德市承德县第一中学等校2023-2024学年高一下学期3月联考数学试题原卷版docx、河北省承德市承德县第一中学等校2023-2024学年高一下学期3月联考数学试题解析版docx等2份试卷配套教学资源,其中试卷共19页, 欢迎下载使用。
1.答题前,考生务必将自己的姓名、考生号、考场号、座位号填写在答题卡上.
2.回答选择题时,选出每小题答案后,用铅笔把答题卡上对应题目的答案标号涂黑.如需改动,用橡皮擦干净后,再选涂其他答案标号.回答非选择题时,将答案写在答题卡上.写在本试卷上无效.
3.考试结束后,将本试卷和答题卡一并交回.
4.本试卷主要考试内容:人教A版必修第一册第五章第4节至必修第二册第六章第2节.
一、选择题:本大题共8小题,每小题5分,共40分.在每小题给出的四个选项中,只有一项是符合题目要求的.
1. 若,与的夹角为,则( )
A. B. C. D.
【答案】C
【解析】
【分析】利用向量数量积的定义求解.
【详解】,与的夹角为,
所以.
故选:C
2. 下列结论正确的是( )
A. 平行向量不一定是共线向量
B. 单位向量都相等
C. 零向量与任一向量的数量积为0
D. 两个单位向量之和不可能是单位向量
【答案】C
【解析】
【分析】利用向量的定义和运算,对选项
【详解】对A,平行向量又叫共线向量,A选项错误;
对B,单位向量长度相等,但方向不一定相同,B选项错误;
对C,零向量与任一向量的数量积为0,C选项正确;
对D,两个单位向量夹角为时,两个单位向量之和也是单位向量,D选项错误.
故选:C
3. 为了得到函数的图象,只需把函数的图象上所有的点( )
A. 向右平移个单位长度B. 向左平移个单位长度
C. 向右平移个单位长度D. 向左平移个单位长度
【答案】D
【解析】
【分析】利用三角函数图象变换可得出结论.
【详解】因,
为了得到到函数的图象,
只需把函数的图象上所有的点向左平移个单位长度,
故选:D.
4. 函数的定义域为( )
A. B.
C. D.
【答案】B
【解析】
【分析】根据给定的函数,列出不等式,再解三角不等式即得.
【详解】函数的意义,则,即,解得,
所以函数的定义域为.
故选:B
5. 已知向量满足,且,则( )
A. 1B. 2C. D.
【答案】B
【解析】
【分析】先根据得,进而得,即可得.
【详解】因为,所以,
故.
故选:B
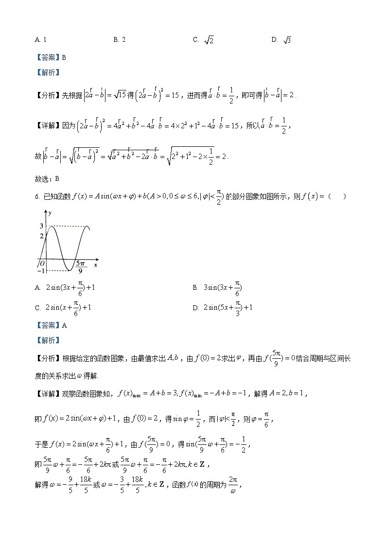
6. 已知函数部分图象如图所示,则( )
A. B.
C. D.
【答案】A
【解析】
【分析】根据给定的函数图象,由最值求出,由求出,再由结合周期与区间长度的关系求出得解.
【详解】观察函数图象知,,解得,
即,由,得,而,则,
于是,由,得,
即或,
解得或,函数的周期为,
显然有,解得,又,因此,
所以.
故选:A
7. 已知的外接圆圆心为O,且,,则向量在向量上的投影向量为( )
A. B. C. D.
【答案】C
【解析】
【分析】根据给定条件,确定的特征,再利用投影向量的定义求解即得.
【详解】由,得点是的中点,而是的外接圆圆心,则,
又,于是是正三角形,,,
显然,
所以向量在向量上的投影向量为.
故选:C
8. 已知函数的定义域为,值域为,则的取值范围是( )
A. B.
C. D.
【答案】B
【解析】
【分析】根据给定函数,结合周期性,在长为一个周期的区间内探讨使得的函数性质即可得解.
【详解】函数的周期为,由,得,
即,解得,
在长为一个周期的区间上,取,得,当时,,
显然函数在上单调递减,在上单调递增,
由在上的值域为,则当时,,于是,
当时,,于是,
所以的取值范围是.
故选:B
二、选择题;本大题共3小题,每小题6分,共18分.在每小题给出的选项中,有多项符合题目要求.全部选对的得6分,部分选对的得部分分,有选错的得0分.
9. 已知,且,,则( )
A. B.
C. D.
【答案】BCD
【解析】
【分析】根据给定条件,确定的关系及范围,再利用同角公式、二倍角公式、和角的正弦公式求解即得.
【详解】由,得,由,得,即,
显然,而,则,
对于A,,A错误;
对于B,,B正确;
对于C,,C正确;
对于D,,则
,D正确.
故选:BCD
10. 如图,在中,为线段的中点,为线段的中点,为线段上的动点,下列结论正确的是( )
A. 若为线段的中点,则
B. 若为线段的中点,则
C.
D. 的取值范围为
【答案】ACD
【解析】
【分析】利用平面向量的线性运算表示向量,结合平面向量的数量积运算,逐项判断即可.
详解】易知:,,.
对A:,且,两式相加得,故A正确;
对B:.故B错误;
对C:设为线段的中点,
,故C正确;
对D:,
又,所以.故D正确.
故选:ACD
11. 已知函数,则下列结论正确是( )
A. 的图象关于点对称
B. 函数的最小正周期为
C. 函数在上单调递减
D. 对于函数,,
【答案】ACD
【解析】
【分析】利用中心对称的性质验证判断A;求出周期判断B;探讨函数单调性判断C;计算判断D.
【详解】对于A,,
因此的图象关于点对称,A正确;
对于B,,即是的周期,B错误;
对于C,当时,,,
令,显然函数在上单调递减,而函数在上单调递增,
因此函数在上单调递减,C正确;
对于D,由选项C知,,,
,因此,D正确.
故选:ACD
【点睛】结论点睛:函数的定义域为D,,
①存在常数a,b使得,则函数图象关于点对称.
②存在常数a使得,则函数图象关于直线对称.
三、填空题:本大题共3小题,每小题5分,共15分.把答案填在答题卡中的横线上.
12. 已知,是两个不共线的向量,,,若与共线,则______.
【答案】##
【解析】
【分析】根据给定条件,利用共线向量定理求出即得.
【详解】由向量,不共线,得,由向量与共线,
得,则,所以.
故答案为:
13. 已知函数在上单调递增,则______.
【答案】##
【解析】
【分析】求出函数的含有数0的单调递增区间,再利用集合的包含关系求解即得.
【详解】函数,由,得,
因此函数在上单调递增,又在上单调递增,
于是,即,解得,
所以.
故答案为:
14. 已知函数的图象关于直线对称,若集合中有两个元素,则正整数______.
【答案】2
【解析】
【分析】根据给定条件,函数相邻两条对称轴间距离小于,间隔一条的两条对称轴间距离不小于,求出正整数并验证即得.
【详解】依题意,函数图象的相邻两条对称轴间距离小于,即的半周期,
且函数图象的间隔一条的两条对称轴间距离不小于,即的周期,
解得,而为正整数,则,
当时,,由,得,
显然,符合题意,所以.
故答案为:2
四、解答题:本大题共5小题,共77分.解答应写出文字说明、证明过程或演算步骤.
15. 已知向量,满足,.
(1)求与的夹角;
(2)若,,求m的值.
【答案】(1);
(2)0.
【解析】
【分析】(1)根据给定条件,求出,再求出夹角的余弦即可.
(2)由(1)中信息,利用垂直关系的向量表示,结合数量积的运算律及已知求解即得.
【小问1详解】
由,得,由,得,解得,
而,,
因此,而,
所以与的夹角.
【小问2详解】
由(1)知,,
由,得,解得,
所以m的值为0.
16. 已知函数.
(1)求的最小正周期;
(2)求的单调递增区间;
(3)若,求方程的解.
【答案】(1);
(2);
(3)或或.
【解析】
【分析】(1)利用诱导公式、二倍角的余弦公式化简函数,再利用余弦函数周期公式求解即得.
(2)由(1)中函数式,利用余弦函数的单调性列式求解.
(3)由(1)中函数式求出方程的解.
【小问1详解】
依题意,函数,
所以函数的最小正周期.
小问2详解】
由(1)知,,
由,解得,
所以的单调递增区间是.
【小问3详解】
由(1)知,,由,得,
而,即,于是或或,
解得或或,
所以方程的解是或或.
17. 如图,在中,点在线段上,且.
(1)用向量表示;
(2)若,求的值.
【答案】(1);
(2).
【解析】
【分析】(1)用为基底和 表达出;
(2)计算得到,即可得到.
【小问1详解】
.
【小问2详解】
.
因为,所以,
则,即,所以.
18. 如图,扇形的半径为,圆心角为,是弧上的动点(不含点、),作交于点,作交于点,同时以为斜边,作,且.
(1)求的面积的最大值;
(2)从点出发,经过线段、、、,到达点,求途径线段长度的最大值.
【答案】(1)
(2)
【解析】
【分析】(1)设,则,,求出、的长,利用三角形的面积公式以及二倍角的正弦公式可求得的面积的最大值;
(2)计算出线段、、、的长,令,可得出,利用二次函数的基本性质可求得途径线段长度的最大值.
【小问1详解】
解:设,则,,
在中,,,则,
,
所以,,
因为,则,
当时,即当时,的面积取最大值,且最大值为.
【小问2详解】
解:过点作,垂足为点,
因为,,,则四边形为矩形,
所以,,,
因为,,则为等腰直角三角形,则,
所以,,,,
所以,
,
令,
因为,则,则,
所以,,,
所以,,
所以,,
故当时,取最大值,
因此,从点出发,经过线段、、、,到达点,求途径线段长度的最大值为.
19. 已知函数,且当时,的最小值为.
(1)求的值;
(2)若在上有且仅有一个,使得取得最小值,求的取值范围;
(3)若函数在内有3个零点,求a的取值范围.
【答案】(1)1; (2);
(3).
【解析】
【分析】(1)根据给定条件,结合正弦函数的图象性质求出函数的周期,再求出.
(2)求出函数的最小值点,借助函数的周期求解.
(3)把函数的零点转化为直线与函数图象的交点,利用数形结合法求出范围.
【小问1详解】
函数的定义域为R,则,
显然,因此为函数的最大与最小值,
由,得函数的周期,所以.
【小问2详解】
由(1)知,函数的周期,
由在上有且仅有一个,使得取得最小值,得,解得,
由,即,得,
显然,因此,
则,解得,于是,
所以的取值范围是.
【小问3详解】
由(1)知,函数,由,得或,
由函数在内有3个零点,得直线与函数在上的图象有3个公共点,
当时,,则函数在上递减,函数值从减小到,
在上递增,函数值从增大到0;函数在上递增,函数值从增大到,
在上递减,函数值从减小到0,
在同一坐标系内作出直线与函数在上的图象,如图,
观察图象知,当或时,直线与函数在上的图象有3个公共点,
所以a的取值范围是.
【点睛】思路点睛:涉及给定函数零点个数求参数范围问题,可以通过分离参数,等价转化为直线与函数图象交点个数,数形结合推理作答.
相关试卷
这是一份河北省沧州市沧县中学等校2023-2024学年高一下学期3月联考数学试题(原卷版+解析版),文件包含河北省沧州市沧县中学等校2023-2024学年高一下学期3月联考数学试题原卷版docx、河北省沧州市沧县中学等校2023-2024学年高一下学期3月联考数学试题解析版docx等2份试卷配套教学资源,其中试卷共21页, 欢迎下载使用。
这是一份河北省承德市承德县第一中学等校2023-2024学年高一下学期3月联考数学试题,共4页。试卷主要包含了本试卷主要考试内容,已知向量,满足,且,则,已知函数的部分图象如图所示,则,已知,且,,则等内容,欢迎下载使用。
这是一份湖南省衡阳市多校联考2023-2024学年高一下学期3月大联考数学试题(原卷版+解析版),文件包含精品解析湖南省衡阳市多校联考2023-2024学年高一下学期3月大联考数学试题原卷版docx、精品解析湖南省衡阳市多校联考2023-2024学年高一下学期3月大联考数学试题解析版docx等2份试卷配套教学资源,其中试卷共19页, 欢迎下载使用。

