资料中包含下列文件,点击文件名可预览资料内容
还剩4页未读,
继续阅读
所属成套资源:2024版高考数学零基础一轮复习讲义PDF原卷+解析含(1-10章)
成套系列资料,整套一键下载
- 第07章 三角函数-第02讲 同角三角函数的关系及诱导公式-2024版高考数学零基础一轮复习讲义PDF原卷+解析 试卷 1 次下载
- 第07章 三角函数-第03讲 两角和与差的正、余弦和正切公式-2024版高考数学零基础一轮复习讲义PDF原卷+解析 试卷 1 次下载
- 第07章 三角函数-第05讲 三角函数的图象与性质-2024版高考数学零基础一轮复习讲义PDF原卷+解析 试卷 1 次下载
- 第07章 三角函数-第06讲 函数y=Asin(wx+q)的图象及其应用-2024版高考数学零基础一轮复习讲义PDF原卷+解析 试卷 1 次下载
- 第08章 数列-第01讲 数列的概念与简单表示法-2024版高考数学零基础一轮复习讲义PDF原卷+解析 试卷 0 次下载
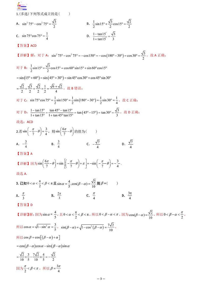
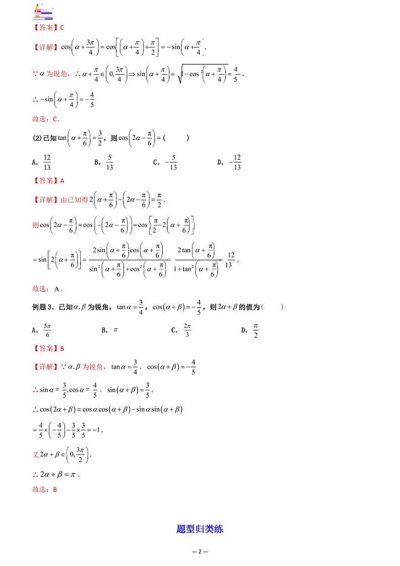
第07章 三角函数-第04讲 简单的三角恒等变换-2024版高考数学零基础一轮复习讲义PDF原卷+解析
展开
这是一份第07章 三角函数-第04讲 简单的三角恒等变换-2024版高考数学零基础一轮复习讲义PDF原卷+解析,文件包含第04讲简单的三角恒等变换答案pdf、第04讲简单的三角恒等变换pdf等2份试卷配套教学资源,其中试卷共10页, 欢迎下载使用。
相关试卷
第10章 解析几何-第05讲 椭圆-2024版高考数学零基础一轮复习讲义PDF原卷+解析:
这是一份第10章 解析几何-第05讲 椭圆-2024版高考数学零基础一轮复习讲义PDF原卷+解析,文件包含第05讲椭圆答案pdf、第05讲椭圆pdf等2份试卷配套教学资源,其中试卷共20页, 欢迎下载使用。
第10章 解析几何-第04讲 直线与圆、圆与圆的位置关系-2024版高考数学零基础一轮复习讲义PDF原卷+解析:
这是一份第10章 解析几何-第04讲 直线与圆、圆与圆的位置关系-2024版高考数学零基础一轮复习讲义PDF原卷+解析,文件包含第04讲直线与圆圆与圆的位置关系答案pdf、第04讲直线与圆圆与圆的位置关系pdf等2份试卷配套教学资源,其中试卷共20页, 欢迎下载使用。
第09章 立体几何-第04讲 空间直线、平面的垂直-2024版高考数学零基础一轮复习讲义PDF原卷+解析:
这是一份第09章 立体几何-第04讲 空间直线、平面的垂直-2024版高考数学零基础一轮复习讲义PDF原卷+解析,文件包含第04讲空间直线平面的垂直答案pdf、第04讲空间直线平面的垂直pdf等2份试卷配套教学资源,其中试卷共28页, 欢迎下载使用。

