所属成套资源:2024年新人教版高中数学必修第一册全套PPT课件
人教A版 (2019)必修 第一册4.3 对数教学演示ppt课件
展开
这是一份人教A版 (2019)必修 第一册4.3 对数教学演示ppt课件,共21页。PPT课件主要包含了学习目标,nlogaM,一般地对数换底公式,∴y0z0,类型二换底公式,又∵log37=b,∴x=c·ab,达标检测等内容,欢迎下载使用。
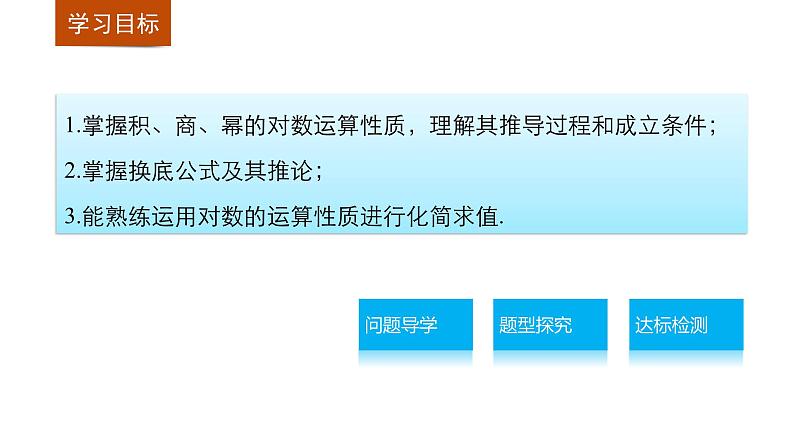
1.掌握积、商、幂的对数运算性质,理解其推导过程和成立条件;2.掌握换底公式及其推论;3.能熟练运用对数的运算性质进行化简求值.
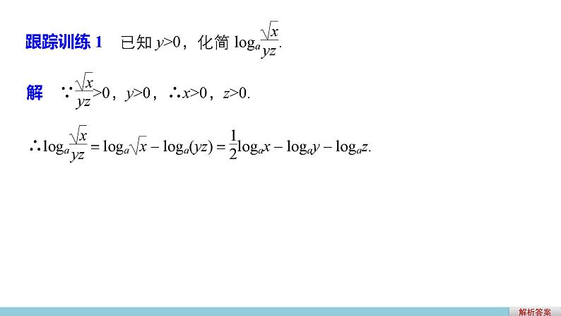
知识点一 对数的运算性质思考 有了乘法口诀,我们就不必把乘法还原成为加法类来计算.那么,有没有类似乘法口诀的东西,使我们不必把对数式还原成指数式就能计算?答案 有.例如,设lgaM=m,lgaN=n,∴MN=am·an=am+n,得到的结论lga(MN)=lgaM+lgaN可以当公式直接进行对数运算.一般地,如果a>0,且a≠1,M>0,N>0,那么:(1)lga(M·N)= ;(2)lga = ;(3)lgaMn= (n∈R).
问题导学 新知探究 点点落实
则am=M,an=N,
∴lga(MN)=m+n=lgaM+lgaN.
知识点二 换底公式思考 假设 =x,则lg25=xlg23,即lg25=lg23x,从而有3x=5,再化为对数式可得到什么结论?答案 把3x=5化为对数式为:lg35=x,
特别地:lgab·lgba=1(a>0,且a≠1,b>0,且b≠1).
题型探究 重点难点 个个击破
类型一 积商幂的对数运算
使用公式要注意成立条件,lg2(-3)(-5)=lg2(-3)+lg2(-5)是不成立的.lg10(-10)2=2lg10(-10)是不成立的.要特别注意lga(MN)≠lgaM·lgaN,lga(M±N)≠lgaM±lgaN.
(2)已知lg189=a,18b=5,求lg3645.
解 方法一 ∵lg189=a,18b=5,∴lg185=b,
方法二 ∵lg189=a,18b=5,∴lg185=b,
方法三 ∵lg189=a,18b=5,
∴lg 9=alg 18,lg 5=blg 18,
在利用换底公式进行化简求值时,一般情况是根据题中所给的对数式的具体特点选择恰当的底数进行换底,如果所给的对数式中的底数和真数互不相同,我们可以选择以10为底数进行换底.
跟踪训练2 已知lg23=a,lg37=b,用a,b表示lg4256.
类型三 化简求值例3 已知lgax=lgac+b,求x.解 方法一 由对数定义可知:
方法二 由已知移项可得:lgax-lgac=b,
方法三 ∵b=lgaab,∴lgax=lgac+lgaab=lga(c·ab),反思与感悟 a>0且a≠1,N>0时,恒有 =N.
跟踪训练3 我们都处于有声世界里,不同场合,人们对音量会有不同的要求,音量大小的单位是分贝(dB),对于一个强度为I的声波,分贝的定义是:y=10lg .这里I0是人耳能听到的声音的最低声波强度,I0=10-12w/m2,当I=I0时,y=0,即dB=0.(1)如果I=1 w/m2,求相应的分贝值;解 ∵I=1 w/m2,
答 I=1 w/m2时,相应的分贝值为120 dB;
(2)70 dB时声音强度I是60 dB时声音强度I′的多少倍?
答 70 dB时声音强度I是60 dB时声音强度I′的10倍.
2.lg35-lg345等于( )A.1 B.-1C.2 D.-2
1.换底公式可完成不同底数的对数式之间的转化,可正用、逆用;使用的关键是恰当选择底数,换底的目的是利用对数的运算性质进行对数式的化简.2.运用对数的运算性质应注意:(1)在各对数有意义的前提下才能应用运算性质.(2)根据不同的问题选择公式的正用或逆用.(3)在运算过程中避免出现以下错误:①lgaNn=(lgaN)n,②lga(MN)=lgaM·lgaN,③lgaM±lgaN=lga(M±N).
. . . . . . . .
相关课件
这是一份高中数学北师大版 (2019)必修 第一册2.2 换底公式课文配套课件ppt,共41页。PPT课件主要包含了目录索引,变式训练1计算,探究点四解对数方程,本节要点归纳,-log26等内容,欢迎下载使用。
这是一份北师大版 (2019)必修 第一册2.2 换底公式作业课件ppt,共14页。
这是一份高中数学苏教版 (2019)必修 第一册4.2 对数说课ppt课件,共15页。PPT课件主要包含了知识点换底公式等内容,欢迎下载使用。

