搜索
    上传资料 赚现金
    英语朗读宝

    大题强化及变式训练(2)-2024届高三数学二轮复习大题强化及变式训练(新高考九省联考题型)(原卷+解析版)

    资料中包含下列文件,点击文件名可预览资料内容
    • 原卷
      大题强化及变式训练(2)-2024届高三数学二轮复习大题强化及变式训练(新高考九省联考题型)(原卷版).pdf
    • 解析
      大题强化及变式训练(2)-2024届高三数学二轮复习大题强化及变式训练(新高考九省联考题型)(解析版).pdf
    大题强化及变式训练(2)-2024届高三数学二轮复习大题强化及变式训练(新高考九省联考题型)(原卷版)第1页
    大题强化及变式训练(2)-2024届高三数学二轮复习大题强化及变式训练(新高考九省联考题型)(原卷版)第2页
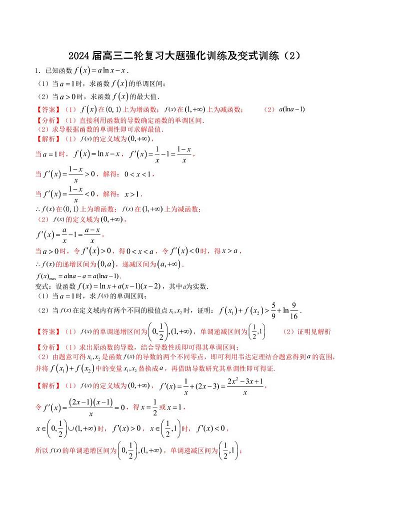
    大题强化及变式训练(2)-2024届高三数学二轮复习大题强化及变式训练(新高考九省联考题型)(解析版)第1页
    大题强化及变式训练(2)-2024届高三数学二轮复习大题强化及变式训练(新高考九省联考题型)(解析版)第2页
    大题强化及变式训练(2)-2024届高三数学二轮复习大题强化及变式训练(新高考九省联考题型)(解析版)第3页
    还剩3页未读, 继续阅读
    下载需要25学贝 1学贝=0.1元
    使用下载券免费下载
    加入资料篮
    立即下载

    大题强化及变式训练(2)-2024届高三数学二轮复习大题强化及变式训练(新高考九省联考题型)(原卷+解析版)

    展开

    这是一份大题强化及变式训练(2)-2024届高三数学二轮复习大题强化及变式训练(新高考九省联考题型)(原卷+解析版),文件包含大题强化及变式训练2-2024届高三数学二轮复习大题强化及变式训练新高考九省联考题型原卷版pdf、大题强化及变式训练2-2024届高三数学二轮复习大题强化及变式训练新高考九省联考题型解析版pdf等2份试卷配套教学资源,其中试卷共17页, 欢迎下载使用。

    相关试卷

    大题强化及变式训练(13)-2024届高三数学二轮复习大题强化及变式训练(新高考九省联考题型)(原卷+解析版):

    这是一份大题强化及变式训练(13)-2024届高三数学二轮复习大题强化及变式训练(新高考九省联考题型)(原卷+解析版),文件包含大题强化训练及变式训练13-2024届高三数学二轮复习大题强化训练及变式训练新高考九省联考题型原卷版pdf、大题强化训练及变式训练13-2024届高三数学二轮复习大题强化训练及变式训练新高考九省联考题型解析版pdf等2份试卷配套教学资源,其中试卷共20页, 欢迎下载使用。

    大题强化及变式训练(12)-2024届高三数学二轮复习大题强化及变式训练(新高考九省联考题型)(原卷+解析版):

    这是一份大题强化及变式训练(12)-2024届高三数学二轮复习大题强化及变式训练(新高考九省联考题型)(原卷+解析版),文件包含大题强化训练及变式训练12-2024届高三数学二轮复习大题强化训练及变式训练新高考九省联考题型原卷版pdf、大题强化训练及变式训练12-2024届高三数学二轮复习大题强化训练及变式训练新高考九省联考题型解析版pdf等2份试卷配套教学资源,其中试卷共20页, 欢迎下载使用。

    大题强化及变式训练(11)-2024届高三数学二轮复习大题强化及变式训练(新高考九省联考题型)(原卷+解析版):

    这是一份大题强化及变式训练(11)-2024届高三数学二轮复习大题强化及变式训练(新高考九省联考题型)(原卷+解析版),文件包含大题强化训练及变式训练11-2024届高三数学二轮复习大题强化及变式训练新高考九省联考题型原卷版pdf、大题强化训练及变式训练11-2024届高三数学二轮复习大题强化及变式训练新高考九省联考题型解析版pdf等2份试卷配套教学资源,其中试卷共29页, 欢迎下载使用。

    • 精品推荐
    • 所属专辑
    欢迎来到教习网
    • 900万优选资源,让备课更轻松
    • 600万优选试题,支持自由组卷
    • 高质量可编辑,日均更新2000+
    • 百万教师选择,专业更值得信赖
    微信扫码注册
    qrcode
    二维码已过期
    刷新

    微信扫码,快速注册

    手机号注册
    手机号码

    手机号格式错误

    手机验证码 获取验证码

    手机验证码已经成功发送,5分钟内有效

    设置密码

    6-20个字符,数字、字母或符号

    注册即视为同意教习网「注册协议」「隐私条款」
    QQ注册
    手机号注册
    微信注册

    注册成功

    返回
    顶部
    Baidu
    map