所属成套资源:2024年高考数学二轮复习小题冲刺练专题(新高考地区专用)
2024届高考小题冲刺练 专题14--“8+4+4”小题冲刺练(新高考地区专用)
展开
这是一份2024届高考小题冲刺练 专题14--“8+4+4”小题冲刺练(新高考地区专用),文件包含2024届高三“8+4+4”小题期末冲刺练14新高考地区专用原卷版docx、2024届高三“8+4+4”小题期末冲刺练14新高考地区专用解析版docx等2份试卷配套教学资源,其中试卷共16页, 欢迎下载使用。
一、注意基础知识的整合、巩固。二轮复习要注意回归课本,课本是考试内容的载体,是高考命题的依据。浓缩课本知识,进一步夯实基础,提高解题的准确性和速度
二、查漏补缺,保强攻弱。在二轮复习中,对自己的薄弱环节要加强学习,平衡发展,加强各章节知识之间的横向联系,针对“一模”考试中的问题要很好的解决,根据自己的实际情况作出合理的安排。
三、提高运算能力,规范解答过程。在高考中运算占很大比例,一定要重视运算技巧粗中有细,提高运算准确性和速度,同时,要规范解答过程及书写。
四、强化数学思维,构建知识体系。同学们在听课时注意把重点要放到理解老师对问题思路的分析以及解法的归纳总结,以便于同学们在刷题时做到思路清晰,迅速准确。
五、解题快慢结合,改错反思。审题制定解题方案要慢,不要急于解题,要适当地选择好的方案,一旦方法选定,解题动作要快要自信。
六、重视和加强选择题的训练和研究。对于选择题不但要答案正确,还要优化解题过程,提高速度。灵活运用特值法、排除法、数形结合法、估算法等。
2024届高三“8+4+4”小题期末冲刺练(14)
一、单项选择题:本题共8小题,每小题5分,共40分.在每小题给出的四个选项中,只有一项是符合题目要求的.
1.已知复数z满足,则复数z在复平面内所对应的点位于( )
A. 第一象限B. 第二象限C. 第三象限D. 第四象限
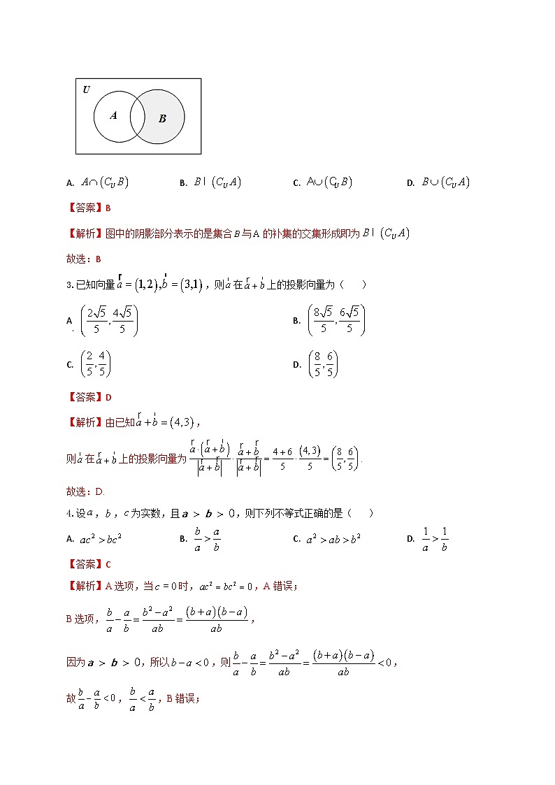
2.如图,阴影部分所表示的集合为( )
A. B. C. D.
3.已知向量,则在上的投影向量为( )
A B.
C. D.
4.设,,为实数,且,则下列不等式正确的是( )
A. B. C. D.
5.函数的部分图象大致是( )
A. B.
C. D.
6.已知,,则的值为( )
A. B. C. D.
7.点M是椭圆上的点,以M为圆心的圆与x轴相切于椭圆的焦点F,圆M与y轴相交于P,Q,若是钝角三角形,则椭圆离心率的取值范围是( )
A. B. C. D.
8.如图所示,某市拟将一个半圆形的空地改造为果园.设,且.若要在扇形和四边形内种满苹果,则当苹果的种植总面积最大时,的大小为( )
A. B. C. D.
二、多项选择题:本题共4小题,每小题5分,共20分.在每小题给出的选项中,有多项符合题目要求,全部选对的得5分,有选错的得0分,部分选对的得3分.
9.下列说法错误的是( )
A. 当样本相关系数满足时,成对样本数据的两个分量之间满足一种线性关系
B. 残差等于预测值减去观测值
C. 决定系数越大,模型拟合效果越差
D. 在独立性检验中,当(为的临界值)时,推断零假设不成立
10.函数的图象关于直线对称,将的图象向左平移个单位长度后与函数图象重合,则关于,下列说法正确的是( )
A. 函数图象关于对称B. 函数图象关于对称
C. 在单调递减D. 最小正周期为
11.在直角坐标系中,已知抛物线:的焦点为,过点的倾斜角为的直线与相交于,两点,且点在第一象限,的面积是,则( )
A. B.
C. D.
12. 已知函数及其导函数的定义域均为,对任意的,恒有,则下列说法正确的有( )
A. B. 必为奇函数
C. D. 若,则
三、填空题:本题共4小题,每小题5分,多空题,第一空2分,第二空3分,共20分.
13.已知圆经过点,,且圆心在轴上,则圆的标准方程为___________________.
14. 某校安排高一年级(1)~(5)班共5个班去A,B,C,D四个劳动教育基地进行社会实践,每个班去一个基地,每个基地至少安排一个班,则高(1)班被安排到A基地的排法总数为__________种.
15.已知数列的首项,且满足.若,则n的最大值为______.
16.如图,在多面体ABCDEFG中,四边形ABCD为菱形,,,,且平面ABCD,四边形BEFG是正方形,则______;异面直线AG与DE所成角的余弦值为______.
相关试卷
这是一份2024届高考小题冲刺练 专题17--“8+4+4”小题冲刺练(新高考地区专用),文件包含2024届高三“8+4+4”小题期末冲刺练17新高考地区专用原卷版docx、2024届高三“8+4+4”小题期末冲刺练17新高考地区专用解析版docx等2份试卷配套教学资源,其中试卷共14页, 欢迎下载使用。
这是一份2024届高考小题冲刺练 专题11--“8+4+4”小题冲刺练(新高考地区专用),文件包含2024届高三“8+4+4”小题期末冲刺练11新高考地区专用原卷版docx、2024届高三“8+4+4”小题期末冲刺练11新高考地区专用解析版docx等2份试卷配套教学资源,其中试卷共16页, 欢迎下载使用。
这是一份2024届高考小题冲刺练 专题10--“8+4+4”小题冲刺练(新高考地区专用),文件包含2024届高三“8+4+4”小题期末冲刺练10新高考地区专用原卷版docx、2024届高三“8+4+4”小题期末冲刺练10新高考地区专用解析版docx等2份试卷配套教学资源,其中试卷共14页, 欢迎下载使用。

