







北师大版七年级下册5 平方差公式教课课件ppt
展开
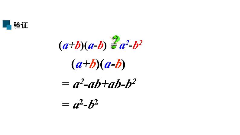
这是一份北师大版七年级下册5 平方差公式教课课件ppt,共21页。PPT课件主要包含了a2-b2,a+ba-b,小试身手等内容,欢迎下载使用。
1.经历平方差公式的探索与推导过程,掌握平方差公式的结构特征; 2.理解平方差公式的本质,即结构的不变性,字母的可变性,并能正确运用平方差公式进行计算; 3.通过几何图形的面积来验证平方差公式,了解平方差公式的几何背景,进而感受数形结合思想,发展几何直观.(新课标要求)
一年忙到头, 灰太狼最终一只羊也没有吃到, 他决定把自家的土地租赁给羊们赚钱. 第一年, 把一块边长为a米的正方形土地租给慢羊羊种草. 第二年, 他对慢羊羊说: “我把这块地的一边增加5米, 另一边减少5米, 再继续租给你, 你也没吃亏, 你看如何?”慢羊羊也觉得不吃亏, 就答应了. 回到羊村, 就把这件事对喜羊羊他们讲了, 大家一听, 都说道: “村长,您吃亏了!” 慢羊羊村长很吃惊……! 同学们, 你能告诉慢羊羊这是为什么吗?
变化前后的面积相等吗?
面积为什么少了?少了多少?
少了25 m2的面积都去哪儿了?
把上式中的5改为b(b
相关课件
这是一份人教版八年级上册14.2.1 平方差公式课文配套课件ppt,共20页。PPT课件主要包含了知识要点,练一练,添括号法则,平方差公式,课堂小结等内容,欢迎下载使用。
这是一份人教版八年级上册14.2.1 平方差公式集体备课课件ppt,共16页。PPT课件主要包含了探索引入,你有什么发现,a2-b2,平方差公式,方法1,a+ba-b,方法2,相反为b,相同为a,适当交换等内容,欢迎下载使用。
这是一份初中湘教版2.2.1平方差公式试讲课课件ppt,文件包含221平方差公式课件pptx、221平方差公式教案doc等2份课件配套教学资源,其中PPT共18页, 欢迎下载使用。
