重庆市康德卷2024年普通高等学校招生全国统一考试高考模拟调研卷(三)数学试题
展开
这是一份重庆市康德卷2024年普通高等学校招生全国统一考试高考模拟调研卷(三)数学试题,文件包含重庆市康德卷2024年普通高等学校招生全国统一考试高考模拟调研卷三数学试题docx、数学答案pdf等2份试卷配套教学资源,其中试卷共6页, 欢迎下载使用。
数学测试卷共4页,满分150分。考试时间120分钟。
注意事项:
1.答题前,考生务必将自己的准考证号、姓名填写在答题卡上。考生要认真核对答题卡上粘贴的条形码的“准考证号、 姓名、 考试科目”与考生本人准考证号、 姓名是否一致。
2. 回答选择题时,选出每小题答案后,用 2B 铅笔把答题卡上对应题目的答案标号涂黑,如需改动,用橡皮擦干净后,再选涂其他答案标号。 回答非选择题时,用 0.5 毫米的黑色墨水签字笔在答题卡上书写作答。 若在试题卷上作答,答案无效。
3. 考试结束,考生必须将试题卷和答题卡一并交回。
一、选择题:本题共8小题,每小题5分,共40分。在每小题给出的四个选项中,只有一项是符合题目要求的。
1. 已知集合 ,则
A B. C. D.
2.若复数 则
A. 0 B. 1 C.-i D. i
3. 设 ,若向量 满足 且 , 则
A. B. C. D.
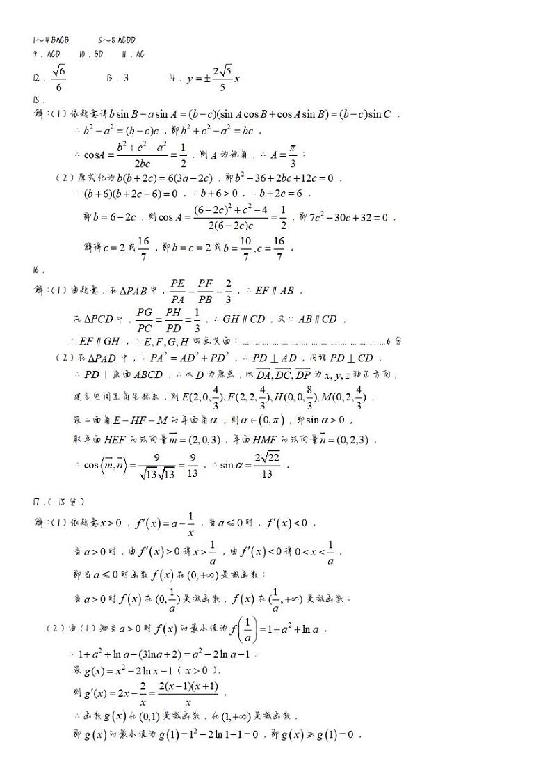
4. 若函数 在 单调递增,则实数 的取值范围是
A B. C. D.
5.若椭圆X: 与双曲线H: 的离心率之和为 则
A. 2 B. C. D.1
6. 设圆和不过第三象限的直线 ,若圆 上恰有三点到直线 的距离均为3,则实数
A. 2 B. 4 C.26 D.41
激富日一日
7.设 且 ,命题甲: 为等比数列;命题乙:;则命题甲是命题乙的
A. 充分且不必要条件 B. 必要且不充分条件
C. 充要条件 D. 既不充分也不必要条件
8. 若 则
A. B. C. D.
二、选择题:本题共3小题,每小题6分,共18分。 在每小题给出的选项中, 有多项符合题目要求。 全部选对得6分, 部分选对得部分分,有选错得0分。
9. 若成等差数列(公差不为零) 的一组样本数据 的平均数为 , 标准差为 , 中位数为 ;数据 的平均数为,标准差为 , 中位数为 , 则
A. B. C. D.
10. 放射性物质在衰变中产生辐射污染逐步引起了人们的关注, 已知放射性物质数量随时间 的衰变公式 ,表示物质的初始数量, 是一个具有时间量纲的数. 研究放射性物质常用到半衰期,半衰期 指的是放射性物质数量从初始数量到衰变成一半所需的时间.已知 ,右表给出了铀的三种同位素τ的取值:若铀 234、铀235 和铀 238 的平衰期分别为 , 则
A. B. 成正比例关系
C. D.
11.在平行六面体 中, 已知 , 若 , ,则
A. 的最小值为 B. 的最大值为
C. 的最大值为 D. 的最大值为
三、填空题:本题共3小题,每小题5分,共15分。
12.已知正四棱锥 的底面边长为2,过棱 作平行于底面的截面, 若截面边长为1. 则截得的四棱锥 的体积为 .
13. 若 . 则关于 的方程 的解的个数是 .
14 . 已知点,是双曲线 的左、 右焦点. 点 在 的右支上,连接. 作 且与 轴交于点 , 若 则 的渐近线方程为 .
四、解答题:本题共5小题,共 77分。解答应写出文字说明、证明过程或演算步骤。
15. (13分)
在 中, 角 对应的边长为 且
(1) 求角 ;
(2)若
16.(15分)
如图, 在四棱锥 中, 底面 是边长为3的正方形, 点 分别在侧棱
(1) 证明: 四点共面;
(2) 如果 的中点, 求二面角 的正弦值.
17.(15 分)
已知函数
(1) 讨论函数 的单调性;
(2) 证明: 当
18. (17分)
设动点每次沿数轴的正方向移动,且第 次移动1个单位的概率为 ,移动2个单位的概率为 已知an表示动点 在数轴上第 次移动后表示的数,在第一次移动前动点 在数轴的原点处.
(1) 若 , 求 的概率;
(2)若每次移动2个单位的概率都是移动1个单位的概率的2倍.
(ⅰ) 求 的概率;
(ⅱ)求动点 能移动到自然数 处的概率.
19. (17分)
在平面直角坐标系 中,动点 到点(4,0) 的距离是点 到直线 的距离的2倍,记动点 的轨迹为 .
(1) 求 的方程;
(2) 若直线 分别与 第一象限的 交于点 过 作斜率为 的直线 且分别与 交于点 若 的面积分别为 证明:
物质
τ的量纲单位
τ的值
铀 234
万年
35.58
铀235
亿年
10.2
铀238
亿年
64.75
相关试卷
这是一份重庆市康德卷2024年普通高等学校招生全国统一考试高考模拟调研卷(四)数学试题,文件包含数学4答案docx、2024年重庆市普通高中学业水平选择性考试高考模拟调研卷数学四pdf等2份试卷配套教学资源,其中试卷共8页, 欢迎下载使用。
这是一份重庆市康德卷2024年普通高等学校招生全国统一考试高考模拟调研卷(三)数学试题,共4页。试卷主要包含了若椭圆X,设 且 ,命题甲, 若 则等内容,欢迎下载使用。
这是一份重庆市2023届普通高等学校招生全国统一考试高三第二次联合诊断检测数学试题(康德卷),共4页。

