


所属成套资源:2024年高考英语备考速记手册
- 专题18 书面表达模板03 试卷 2 次下载
- 专题19 高频动词词组速记 试卷 3 次下载
- 专题21 短语速查速记 试卷 1 次下载
- 专题22 高考单词词性转换速记 试卷 2 次下载
- 专题23 高考重点单词测试 试卷 2 次下载
专题20 不规则动词速查速记
展开
这是一份专题20 不规则动词速查速记,共12页。试卷主要包含了原形,过去式,过去分词和原形相同,没有过去分词等内容,欢迎下载使用。
表示一般过去式的动词通常用动词的过去式形式来表示,而动词的过去式是在动词原形的基础上变化的。动词的过去式可分为规则动词和不规则动词。
规则动词的过去式变化如下:
一般情况下,动词词尾加 -ed ,如:wrked played wanted acted
以不发音的 -e 结尾动词,动词词尾加 -d,如:
lived mved decided declined hped judged raised wiped
以辅音字母 + y结尾的动词,把-y变为-i 再加-ed,如:
studied tried cpied justified cried carried embdied emptied
以一个辅音字母结尾的重读闭音节动词,双写词尾辅音字母,再加 -ed,如:
stpped begged fretted dragged drpped planned dtted dripped
注:不规则动词的过去式变化规律性不强,须多加记忆。
g - went make - made get - gt buy - bught cme - came fly-flew
Part1不规则动词速查表
Part2不规则动词速记表
一、原形、过去式、过去分词相同。
二、过去式、过去分词相同。ABB
1. >过去式和过去分词含有aught.
2. >过去式和过去分词含有ught.
3. >原形中的元音字母发生变化。
4. >原形中的辅音字母发生变化。
5. >原形中的元音字母、辅音字母发生变化。
6. >过去式和过去分词在原形后 + “t”
7. >过去式和过去分词在原形后(或改y为i) + “d”
三、过去分词和原形相同。 ABA
四、原形、过去式、过去分词不相同。 ABC
1. >过去分词在原形后 + “n” ABAn
2. >过去分词在原形后 + “en” ABAen
3. >过去分词在过去式后 + “n” ABBn
4. >过去分词在过去式后双写尾字母 + “en” ABBen
5. >原形中的I,过去式改为a,过去分词改为u.
五、原形、过去式相同,过去分词不同。AAB
六、没有过去分词
Part3检测
一、
二、
1.
2.
3.
4.
5.
6.
7.
三、
四、原形、过去式、过去分词不相同。 ABC
1.
2.
3.
4.
5.
五、
六、没有过去分词
动词原形
过去式
过去分词
Ing形式
汉语意思
awake
awke
awken
awaking
醒
be (is/are/am)
was / were
been
being
是/在
bear
bre
brn
bearing
忍受
becme
became
becme
becming
变成
begin
began
begun
beginning
开始)
bite
bit
bitten
biting
咬
bleed
bled
bled
bleeding
流血
blw
blew
blwn
blwing
吹
break
brke
brken
breaking
打破
bring
brught
brught
bringing
携带
build
built
built
building
建造
buy
bught
bught
buying
买
catch
caught
caught
catching
赶上
chse
chse
chsen
chsing
选择
cme
came
cme
cming
来
cst
cst
cst
csting
成本
cut
cut
cut
cutting
切
deal
dealt
dealt
dealing
交易
dig
dug
dug
digging
挖
d (d / des)
did
dne
ding
做
draw
drew
drawn
drawing
画
drink
drank
drunk
drinking
喝
drive
drve
driven
driving
开车
eat
ate
eaten
eating
吃
fall
fell
fallen
falling
滑落
feed
fed
fed
feeding
喂
feel
felt
felt
feeling
觉得
fight
fught
fught
fighting
打架
find
fund
fund
finding
找到
flee
fled
fled
fleeing
逃跑
fly
flew
flwn
flying
飞
frbid
frbade
frbidden
frbidding
禁止
frget
frgt
frgtten
frgetting
忘记
frgive
frgave
frgiven
frgiving
原谅
freeze
frze
frzen
freezing
结冰
get
gt
gt
getting
得到
give
gave
given
giving
给
g
went
gne
ging
去
grw
grew
grwn
grwing
增长
hang
hung
hung
hanging
挂
have / has
had
had
having
有
hear
heard
heard
hearing
听见
hide
hid
hidden
hiding
隐藏
hit
hit
hit
hiting
打击
hld
held
held
hlding
维持
hurt
hurt
hurt
hurting
受伤
keep
kept
kept
keeping
保持
knw
knew
knwn
knwing
知道
lay
laid
laid
laying
放置
lead
led
led
leading
引导/主要的
learn
learnt(learned)
learnt (learned)
learning
得知
leave
left
left
leaving
离开
lend
lent
lent
lending
借出
let
let
let
letting
让
lse
lst
lst
lsing
损失
lie
lied
lied
lying
说谎
make
made
made
making
做 / 使得
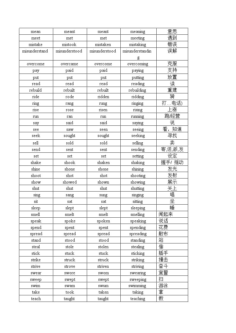
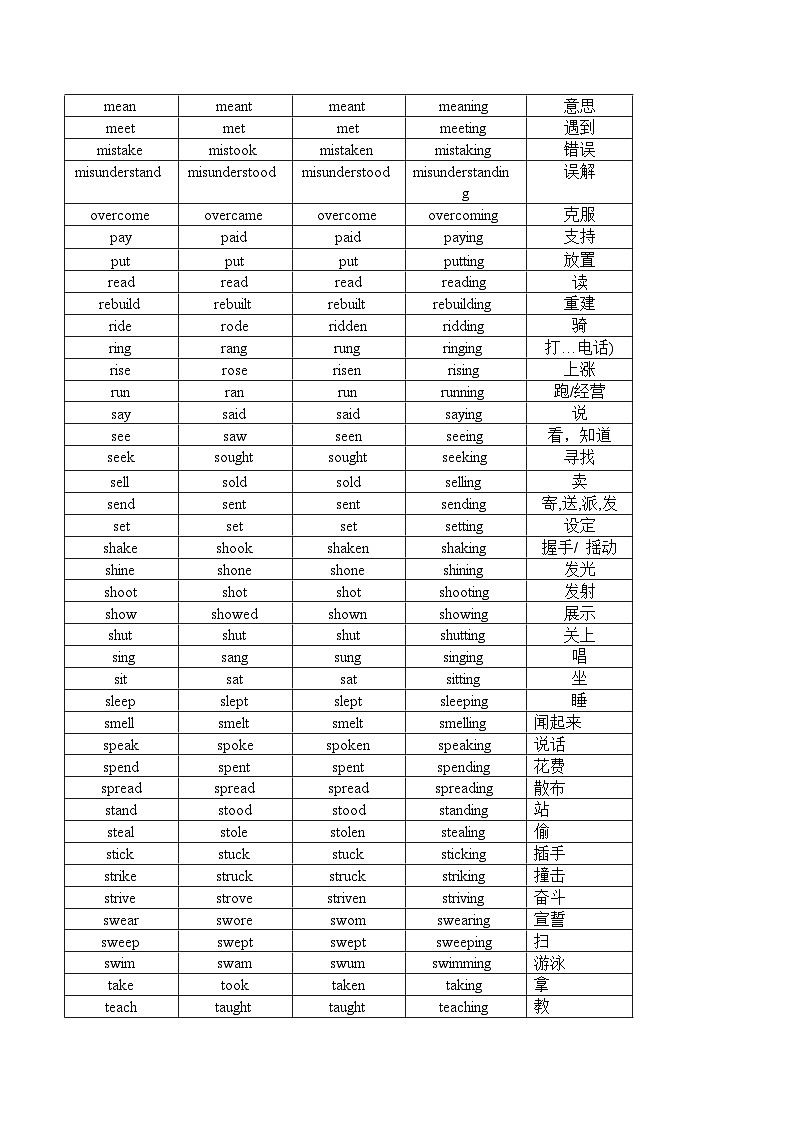
mean
meant
meant
meaning
意思
meet
met
met
meeting
遇到
mistake
mistk
mistaken
mistaking
错误
misunderstand
misunderstd
misunderstd
misunderstanding
误解
vercme
vercame
vercme
vercming
克服
pay
paid
paid
paying
支持
put
put
put
putting
放置
read
read
read
reading
读
rebuild
rebuilt
rebuilt
rebuilding
重建
ride
rde
ridden
ridding
骑
ring
rang
rung
ringing
打…电话)
rise
rse
risen
rising
上涨
run
ran
run
running
跑/经营
say
said
said
saying
说
see
saw
seen
seeing
看,知道
seek
sught
sught
seeking
寻找
sell
sld
sld
selling
卖
send
sent
sent
sending
寄,送,派,发
set
set
set
setting
设定
shake
shk
shaken
shaking
握手/ 摇动
shine
shne
shne
shining
发光
sht
sht
sht
shting
发射
shw
shwed
shwn
shwing
展示
shut
shut
shut
shutting
关上
sing
sang
sung
singing
唱
sit
sat
sat
sitting
坐
sleep
slept
slept
sleeping
睡
smell
smelt
smelt
smelling
闻起来
speak
spke
spken
speaking
说话
spend
spent
spent
spending
花费
spread
spread
spread
spreading
散布
stand
std
std
standing
站
steal
stle
stlen
stealing
偷
stick
stuck
stuck
sticking
插手
strike
struck
struck
striking
撞击
strive
strve
striven
striving
奋斗
swear
swre
swm
swearing
宣誓
sweep
swept
swept
sweeping
扫
swim
swam
swum
swimming
游泳
take
tk
taken
taking
拿
teach
taught
taught
teaching
教
tear
tre
trn
tearing
撕开
tell
tld
tld
telling
告诉
think
thught
thught
thinking
认为
thrw
threw
thrwn
thrwing
抛 / 投
understand
understd
understd
understanding
了解
undertake
undertk
undertaken
undertaking
承担
wake
wke
wken
waking
醒
wear
wre
wrn
wearing
穿戴
weave
wve
wven
weaving
编织
win
wn
wn
winning
赢得
withdraw
withdrew
withdrawn
withdrawing
提取
write
wrte
written
writing
写
原 形
过 去 式
过 去 分 词
词 义
1. cst
cst
cst
值多少钱
2. cut
cut
cut
切、割
3. hit
hit
hit
打
4. hurt
hurt
hurt
伤害、伤痛
5. let
let
let
让
6. put
put
put
放
7. read
read
read
读
8. set
set
set
放置、安置
9. shut
shut
shut
关闭
10. spread
spread
spread
伸展、传播
11. catch
caught
caught
抓
12. teach
taught
taught
教
13. buy
bught
bught
买
14. bring
brught
brught
带来
15. think
thught
thught
想、认为
16. fight
fught
fught
打架
17. seek
sught
sught
寻找
18. dig
dug
dug
挖
19. get
gt
gt
得到
20. meet
met
met
遇到
21. sit
sat
sat
坐
22. win
wn
wn
赢
23. find
fund
fund
找到
24. hang
hung
hung
悬挂
hanged
hanged
绞死
25. hld
held
held
握、举行
26. shine
shne/shined
shne/shined
发光
27. feed
fed
fed
喂养
28. lead
led
led
带领、指引
29. bleed
bled
bled
流血
30. lse
lst
lst
丢失
31. sht
sht
sht
射击
32. speed
sped/speeded
sped/speed
迅速前进
33. stick
stuck
stuck
粘贴
34. strike
struck
struck/stricken
打、击
37. swing
swung
swung
摇荡
38. d
did
dne
做
39. fly
flew
flwn
飞
40. g
went
gne
去
41. lie
lay
lain
躺
lied
lied
撒谎
42. lend
lent
lent
借
43. send
sent
sent
送
44. spend
spent
spent
花费
45. bend
bent
bent
弯曲
46. build
built
built
建造
47. rebuild
rebuilt
rebuilt
重建
48. have/has
had
had
拥有
49. make
made
made
制造
50. smell
smelt/smelled
smelt/smelled
嗅
51. spell
spelt
spelt
拼写
52. feel
felt
felt
感觉
53. keep
kept
kept
保持
54. sleep
slept
slept
睡
55. sweep
swept
swept
扫
56. leave
left
left
离开
57. sell
sld
sld
卖
58. tell
tld
tld
告诉
59. retell
retld
retld
复述
60. light
lit/lighted
lit/lighted
点燃、照亮
61. wear
wre
wrn
穿
62. tear
tre
trn
撕
63. stand
std
std
站
64. understand
understd
understd
理解
65. burn
burnt/burned
burnt/burned
燃烧
66. learn
learnt/learned
learnt/learned
学习
67. dream
dreamt/dreamed
dreamt/dreamed
做梦
68. mean
meant
meant
意思
69. deal
dealt
dealt
处理
70. hear
heard
heard
听见
71. lay
laid
laid
下蛋
72. say
said
said
说
73. pay
paid
paid
付款
74. repay
repaid
repaid
偿还
75. becme
became
becme
变、成为
76. cme
came
cme
来
77. run
ran
run
跑
77. blw
blew
blwn
吹
78. draw
drew
drawn
绘画、拉
79. drive
drve
driven
驾驶
80. give
gave
given
给
81. grw
grew
grwn
生长
82. knw
knew
knwn
知道
83. take
tk
taken
拿走
84. mistake
mistk
mistaken
弄错
85. rise
rse
risen
升
86. see
saw
seen
看见
87. shw
shwed
shwn
出示、表现
88. thrw
threw
thrwn
扔
89. fresee
fresaw
freseen
预见
90. frgive
frgave
frgiven
原谅
91. sw
swed
swn
播种
92. shake
shk
shaken
摇动
93. sew
sewed
sewn
缝制
94. vertake
vertk
vertaken
超过
95. ride
rde
ridden
乘、骑
96. write
wrte
written
写
97. rewrite
rewrte
rewritten
重写
98. am, is (be)
was
been
是
99. are (be)
were
been
是
100. eat
ate
eaten
吃
101. fall
fell
fallen
落下
102. frbid
frbade/frbad
frbidden
禁止
103. break
brke
brken
打碎
104. chse
chse
chsen
选择
105. speak
spke
spken
说
106. awake
awke
awken
醒来
107. wake
wke
wken
醒
108. freeze
frze
frzen
冻结、结冰
109. steal
stle
stlen
偷
110. frget
frgt
frgtten
忘记
111. hide
hid
hidden/hid
躲藏
112. bite
bit
bitten/bit
咬
113. begin
began
begun
开始
114. drink
drank
drunk
喝
115. ring
rang
rung
响
116. sing
sang
sung
唱
117. swim
swam
swum
游泳
118. sink
sank
sunk
下沉
119. beat
beat
beaten
打
120. can
culd
/
能
121. may
might
/
可以
122. must
must
/
必须
123. shall
shuld
/
将要
124. will
wuld
/
愿、将、会
原 形
过 去 式
过 去 分 词
词 义
1. cst
cst
cst
值多少钱
2. cut
cut
cut
切、割
3. hit
hit
hit
打
4. hurt
hurt
hurt
伤害、伤痛
5. let
let
let
让
6. put
put
put
放
7. read
read
read
读
8. set
set
set
放置、安置
9. shut
shut
shut
关闭
10. spread
spread
spread
伸展、传播
11. catch
caught
caught
抓
12. teach
taught
taught
教
13. buy
bught
bught
买
14. bring
brught
brught
带来
15. think
thught
thught
想、认为
16. fight
fught
fught
打架
17. seek
sught
sught
寻找
18. dig
dug
dug
挖
19. get
gt
gt
得到
20. meet
met
met
遇到
21. sit
sat
sat
坐
22. win
wn
wn
赢
23. find
fund
fund
找到
24. hang
hung
hung
悬挂
hanged
hanged
绞死
25. hld
held
held
握、举行
26. shine
shne/shined
shne/shined
发光
27. feed
fed
fed
喂养
28. lead
led
led
带领、指引
29. bleed
bled
bled
流血
30. lse
lst
lst
丢失
31. sht
sht
sht
射击
32. speed
sped/speeded
sped/speed
迅速前进
33. stick
stuck
stuck
粘贴
34. strike
struck
struck/stricken
打、击
37. swing
swung
swung
摇荡
38. d
did
dne
做
39. fly
flew
flwn
飞
40. g
went
gne
去
41. lie
lay
lain
躺
lied
lied
撒谎
42. lend
lent
lent
借
43. send
sent
sent
送
44. spend
spent
spent
花费
45. bend
bent
bent
弯曲
46. build
built
built
建造
47. rebuild
rebuilt
rebuilt
重建
48. have/has
had
had
拥有
49. make
made
made
制造
50. smell
smelt/smelled
smelt/smelled
嗅
51. spell
spelt
spelt
拼写
52. feel
felt
felt
感觉
53. keep
kept
kept
保持
54. sleep
slept
slept
睡
55. sweep
swept
swept
扫
56. leave
left
left
离开
57. sell
sld
sld
卖
58. tell
tld
tld
告诉
59. retell
retld
retld
复述
60. light
lit/lighted
lit/lighted
点燃、照亮
61. wear
wre
wrn
穿
62. tear
tre
trn
撕
63. stand
std
std
站
64. understand
understd
understd
理解
65. burn
burnt/burned
burnt/burned
燃烧
66. learn
learnt/learned
learnt/learned
学习
67. dream
dreamt/dreamed
dreamt/dreamed
做梦
68. mean
meant
meant
意思
69. deal
dealt
dealt
处理
70. hear
heard
heard
听见
71. lay
laid
laid
下蛋
72. say
said
said
说
73. pay
paid
paid
付款
74. repay
repaid
repaid
偿还
75. becme
became
becme
变、成为
76. cme
came
cme
来
77. run
ran
run
跑
77. blw
blew
blwn
吹
78. draw
drew
drawn
绘画、拉
79. drive
drve
driven
驾驶
80. give
gave
given
给
81. grw
grew
grwn
生长
82. knw
knew
knwn
知道
83. take
tk
taken
拿走
84. mistake
mistk
mistaken
弄错
85. rise
rse
risen
升
86. see
saw
seen
看见
87. shw
shwed
shwn
出示、表现
88. thrw
threw
thrwn
扔
89. fresee
fresaw
freseen
预见
90. frgive
frgave
frgiven
原谅
91. sw
swed
swn
播种
92. shake
shk
shaken
摇动
93. sew
sewed
sewn
缝制
94. vertake
vertk
vertaken
超过
95. ride
rde
ridden
乘、骑
96. write
wrte
written
写
97. rewrite
rewrte
rewritten
重写
98. am, is (be)
was
been
是
99. are (be)
were
been
是
100. eat
ate
eaten
吃
101. fall
fell
fallen
落下
102. frbid
frbade/frbad
frbidden
禁止
103. break
brke
brken
打碎
104. chse
chse
chsen
选择
105. speak
spke
spken
说
106. awake
awke
awken
醒来
107. wake
wke
wken
醒
108. freeze
frze
frzen
冻结、结冰
109. steal
stle
stlen
偷
110. frget
frgt
frgtten
忘记
111. hide
hid
hidden/hid
躲藏
112. bite
bit
bitten/bit
咬
113. begin
began
begun
开始
114. drink
drank
drunk
喝
115. ring
rang
rung
响
116. sing
sang
sung
唱
117. swim
swam
swum
游泳
118. sink
sank
sunk
下沉
119. beat
beat
beaten
打
120. can
culd
/
能
121. may
might
/
可以
122. must
must
/
必须
123. shall
shuld
/
将要
124. will
wuld
/
愿、将、会
相关试卷
这是一份2024年高考英语单词分类速记 练习10 高考英语单词:不规则动词变化,文件包含10不规则动词速记与检测docx、10不规则动词速查表+速记表docx等2份试卷配套教学资源,其中试卷共39页, 欢迎下载使用。
这是一份专题21 短语速查速记,共23页。试卷主要包含了介词as短语,介词at短语,介词by短语,介词in短语,介词f短语,介词n短语,ut f短语,介词under短语等内容,欢迎下载使用。
这是一份专题19 高频动词词组速记,共30页。
