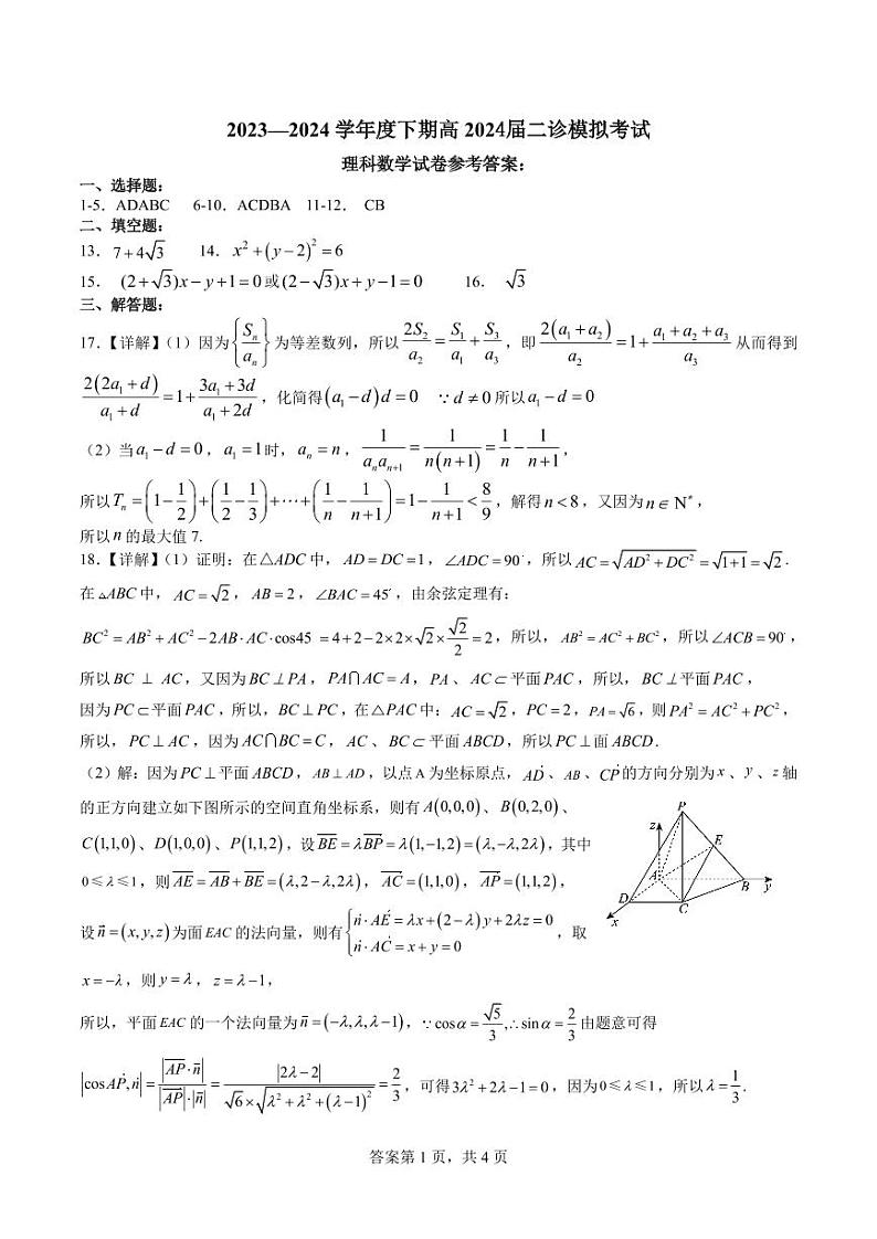
四川省成都市第七中学2024届高三下学期二诊模拟考试理科数学试卷及参考答案
展开四川省成都市第七中学2024届高三下学期二诊模拟考试文科数学试卷: 这是一份四川省成都市第七中学2024届高三下学期二诊模拟考试文科数学试卷,共10页。试卷主要包含了已知集合,则等内容,欢迎下载使用。
2024届四川省成都市第七中学高三上学期一诊模拟考试理科数学: 这是一份2024届四川省成都市第七中学高三上学期一诊模拟考试理科数学,文件包含2024届四川省成都市第七中学高三上学期一诊模拟考试理数pdf、2024届四川省成都市第七中学高三上学期一诊模拟考试理数答案pdf等2份试卷配套教学资源,其中试卷共8页, 欢迎下载使用。
四川省成都市第七中学2023-2024学年高三上学期一诊模拟理科数学试卷: 这是一份四川省成都市第七中学2023-2024学年高三上学期一诊模拟理科数学试卷,共17页。试卷主要包含了填空题,解答题等内容,欢迎下载使用。

