

- 2024春高中数学第六章平面向量及其应用6.4.1平面几何中的向量方法6.4.2向量在物理中的应用举例课后提能训练(人教A版必修第二册) 试卷 0 次下载
- 2024春高中数学第六章平面向量及其应用6.2平面向量的运算6.2.4向量的数量积课后提能训练(人教A版必修第二册) 试卷 0 次下载
- 2024春高中数学第六章平面向量及其应用6.4.3余弦定理正弦定理第1课时余弦定理课后提能训练(人教A版必修第二册) 试卷 0 次下载
- 2024春高中数学第六章平面向量及其应用6.4.3余弦定理正弦定理第2课时正弦定理课后提能训练(人教A版必修第二册) 试卷 0 次下载
- 2024春高中数学第六章平面向量及其应用6.3平面向量基本定理及坐标表示6.3.1平面向量基本定理课后提能训练(人教A版必修第二册) 试卷 0 次下载
人教A版 (2019)必修 第二册6.2 平面向量的运算课时练习
展开A级——基础过关练
1.已知非零向量a与b同向,则a-b( )
A.必定与a同向B.必定与b同向
C.必定与a是平行向量D.与b不可能是平行向量
【答案】C
【解析】a-b必定与a或b是平行向量.
2.(多选)在平行四边形ABCD中,下列结论正确的有( )
A. eq \(AB,\s\up6(→))- eq \(DC,\s\up6(→))=0B. eq \(AD,\s\up6(→))- eq \(BA,\s\up6(→))= eq \(AC,\s\up6(→))
C. eq \(AB,\s\up6(→))- eq \(AD,\s\up6(→))= eq \(BD,\s\up6(→))D. eq \(AD,\s\up6(→))+ eq \(CB,\s\up6(→))=0
【答案】ABD
【解析】因为四边形ABCD是平行四边形,所以 eq \(AB,\s\up6(→))= eq \(DC,\s\up6(→)), eq \(AB,\s\up6(→))- eq \(DC,\s\up6(→))=0, eq \(AD,\s\up6(→))- eq \(BA,\s\up6(→))= eq \(AD,\s\up6(→))+ eq \(AB,\s\up6(→))= eq \(AC,\s\up6(→)), eq \(AD,\s\up6(→))+ eq \(CB,\s\up6(→))= eq \(AD,\s\up6(→))+ eq \(DA,\s\up6(→))=0. eq \(AB,\s\up6(→))- eq \(AD,\s\up6(→))= eq \(DB,\s\up6(→)).A,B,D正确.
3.化简以下各式:① eq \(AB,\s\up6(→))+ eq \(BC,\s\up6(→))+ eq \(CA,\s\up6(→));② eq \(AB,\s\up6(→))- eq \(AC,\s\up6(→))+ eq \(BD,\s\up6(→))- eq \(CD,\s\up6(→));③ eq \(OA,\s\up6(→))- eq \(OD,\s\up6(→))+ eq \(AD,\s\up6(→));④ eq \(NQ,\s\up6(→))+ eq \(QP,\s\up6(→))+ eq \(MN,\s\up6(→))- eq \(MP,\s\up6(→)).结果为零向量的个数是( )
A.1B.2
C.3D.4
【答案】D
【解析】① eq \(AB,\s\up6(→))+ eq \(BC,\s\up6(→))+ eq \(CA,\s\up6(→))= eq \(AC,\s\up6(→))+ eq \(CA,\s\up6(→))= eq \(AC,\s\up6(→))- eq \(AC,\s\up6(→))=0;
② eq \(AB,\s\up6(→))- eq \(AC,\s\up6(→))+ eq \(BD,\s\up6(→))- eq \(CD,\s\up6(→))=( eq \(AB,\s\up6(→))+ eq \(BD,\s\up6(→)))-( eq \(AC,\s\up6(→))+ eq \(CD,\s\up6(→)))= eq \(AD,\s\up6(→))- eq \(AD,\s\up6(→))=0;
③ eq \(OA,\s\up6(→))- eq \(OD,\s\up6(→))+ eq \(AD,\s\up6(→))=( eq \(OA,\s\up6(→))+ eq \(AD,\s\up6(→)))- eq \(OD,\s\up6(→))= eq \(OD,\s\up6(→))- eq \(OD,\s\up6(→))=0;
④ eq \(NQ,\s\up6(→))+ eq \(QP,\s\up6(→))+ eq \(MN,\s\up6(→))- eq \(MP,\s\up6(→))= eq \(NP,\s\up6(→))+ eq \(PM,\s\up6(→))+ eq \(MN,\s\up6(→))= eq \(NM,\s\up6(→))- eq \(NM,\s\up6(→))=0.
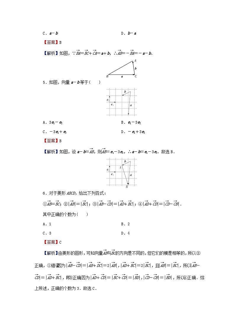
4.在△ABC中, eq \(BC,\s\up6(→))=a, eq \(CA,\s\up6(→))=b,则 eq \(AB,\s\up6(→))等于( )
A.a+bB.-a+(-b)
C.a-bD.b-a
【答案】B
【解析】如图,∵ eq \(BA,\s\up6(→))= eq \(BC,\s\up6(→))+ eq \(CA,\s\up6(→))=a+b,∴ eq \(AB,\s\up6(→))=- eq \(BA,\s\up6(→))=-a-b.
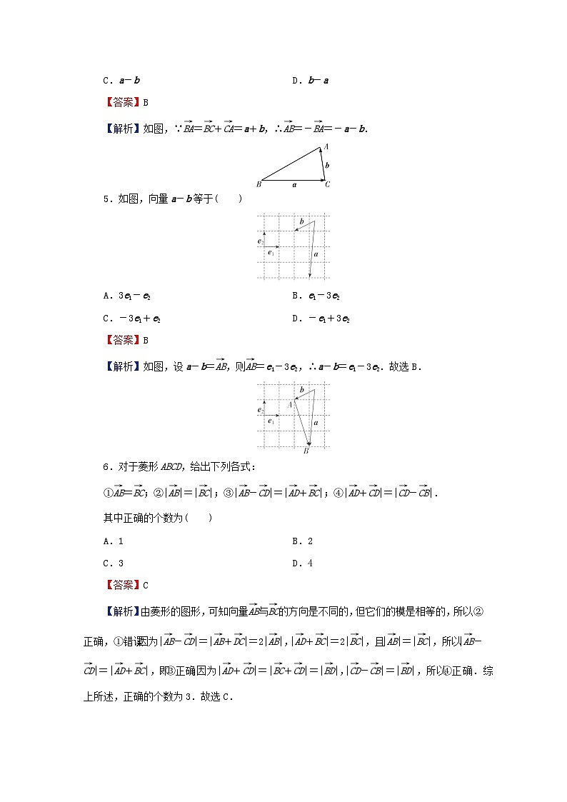
5.如图,向量a-b等于( )
A.3e1-e2B.e1-3e2
C.-3e1+e2D.-e1+3e2
【答案】B
【解析】如图,设a-b= eq \(AB,\s\up6(→)),则 eq \(AB,\s\up6(→))=e1-3e2,∴a-b=e1-3e2.故选B.
6.对于菱形ABCD,给出下列各式:
① eq \(AB,\s\up6(→))= eq \(BC,\s\up6(→));②| eq \(AB,\s\up6(→))|=| eq \(BC,\s\up6(→))|;③| eq \(AB,\s\up6(→))- eq \(CD,\s\up6(→))|=| eq \(AD,\s\up6(→))+ eq \(BC,\s\up6(→))|;④| eq \(AD,\s\up6(→))+ eq \(CD,\s\up6(→))|=| eq \(CD,\s\up6(→))- eq \(CB,\s\up6(→))|.
其中正确的个数为( )
A.1B.2
C.3D.4
【答案】C
【解析】由菱形的图形,可知向量 eq \(AB,\s\up6(→))与 eq \(BC,\s\up6(→))的方向是不同的,但它们的模是相等的,所以②正确,①错误;因为| eq \(AB,\s\up6(→))- eq \(CD,\s\up6(→))|=| eq \(AB,\s\up6(→))+ eq \(DC,\s\up6(→))|=2| eq \(AB,\s\up6(→))|,| eq \(AD,\s\up6(→))+ eq \(BC,\s\up6(→))|=2| eq \(BC,\s\up6(→))|,且| eq \(AB,\s\up6(→))|=| eq \(BC,\s\up6(→))|,所以| eq \(AB,\s\up6(→))- eq \(CD,\s\up6(→))|=| eq \(AD,\s\up6(→))+ eq \(BC,\s\up6(→))|,即③正确;因为| eq \(AD,\s\up6(→))+ eq \(CD,\s\up6(→))|=| eq \(BC,\s\up6(→))+ eq \(CD,\s\up6(→))|=| eq \(BD,\s\up6(→))|,| eq \(CD,\s\up6(→))- eq \(CB,\s\up6(→))|=| eq \(BD,\s\up6(→))|,所以④正确.综上所述,正确的个数为3.故选C.
7.已知A,B,C为三个不共线的点,P为△ABC所在平面内一点,若 eq \(PA,\s\up6(→))+ eq \(PB,\s\up6(→))= eq \(PC,\s\up6(→))+ eq \(AB,\s\up6(→)),则下列结论正确的是( )
A.点P在△ABC内部B.点P在△ABC外部
C.点P在直线AB上D.点P在直线AC上
【答案】D
【解析】因为 eq \(PA,\s\up6(→))+ eq \(PB,\s\up6(→))= eq \(PC,\s\up6(→))+ eq \(AB,\s\up6(→)),所以 eq \(PB,\s\up6(→))- eq \(PC,\s\up6(→))= eq \(AB,\s\up6(→))- eq \(PA,\s\up6(→)),所以 eq \(CB,\s\up6(→))= eq \(AB,\s\up6(→))+ eq \(AP,\s\up6(→)), eq \(CB,\s\up6(→))- eq \(AB,\s\up6(→))= eq \(AP,\s\up6(→)),即 eq \(CA,\s\up6(→))= eq \(AP,\s\up6(→)).故点P在边AC所在的直线上.
8.若a,b为相反向量,且|a|=1,|b|=1,则|a+b|=__________,|a-b|=__________.
【答案】0 2
【解析】若a,b为相反向量,则a+b=0,所以|a+b|=0,又因为a=-b,所以|a|=|-b|=1.因为a与-b共线,所以|a-b|=2.
9.如图,已知O为平行四边形ABCD内一点, eq \(OA,\s\up6(→))=a, eq \(OB,\s\up6(→))=b, eq \(OC,\s\up6(→))=c,则 eq \(OD,\s\up6(→))=__________.(用a,b,c表示)
【答案】a-b+c
【解析】由题意,在平行四边形ABCD中, eq \(BA,\s\up6(→))= eq \(OA,\s\up6(→))- eq \(OB,\s\up6(→))=a-b.所以 eq \(CD,\s\up6(→))= eq \(BA,\s\up6(→))=a-b.所以 eq \(OD,\s\up6(→))= eq \(OC,\s\up6(→))+ eq \(CD,\s\up6(→))=a-b+c.
10.如图,已知向量a和向量b,用三角形法则作出a-b+a.
解:如图,作向量 eq \(OA,\s\up6(→))=a,向量 eq \(OB,\s\up6(→))=b,则向量 eq \(BA,\s\up6(→))=a-b;
作向量 eq \(AC,\s\up6(→))=a,则 eq \(BC,\s\up6(→))=a-b+a.
B级——能力提升练
11.在平面上有A,B,C三点,设m= eq \(AB,\s\up6(→))+ eq \(BC,\s\up6(→)),n= eq \(AB,\s\up6(→))- eq \(BC,\s\up6(→)),若m与n的长度恰好相等,则有( )
A.A,B,C三点必在一条直线上
B.△ABC必为等腰三角形且∠B为顶角
C.△ABC必为直角三角形且∠B为直角
D.△ABC必为等腰直角三角形
【答案】C
【解析】以 eq \(BA,\s\up6(→)), eq \(BC,\s\up6(→))为邻边作平行四边形ABCD,则m= eq \(AB,\s\up6(→))+ eq \(BC,\s\up6(→))= eq \(AC,\s\up6(→)),n= eq \(AB,\s\up6(→))- eq \(BC,\s\up6(→))= eq \(AB,\s\up6(→))- eq \(AD,\s\up6(→))= eq \(DB,\s\up6(→)),由m,n的长度相等可知,两对角线相等,因此平行四边形一定是矩形.故选C.
12.(多选)若a,b为非零向量,则下列命题正确的有( )
A.若|a|+|b|=|a+b|,则a与b方向相同
B.若|a|+|b|=|a-b|,则a与b方向相反
C.若|a|+|b|=|a-b|,则|a|=|b|
D.若||a|-|b||=|a-b|,则a与b方向相同
【答案】ABD
【解析】当a,b方向相同时,有|a|+|b|=|a+b|,||a|-|b||=|a-b|;当a,b方向相反时,有|a|+|b|=|a-b|,||a|-|b||=|a+b|.故A,B,D均正确.
13.已知| eq \(OA,\s\up6(→))|=a,| eq \(OB,\s\up6(→))|=b(a>b),| eq \(AB,\s\up6(→))|的取值范围是[5,15],则a=__________,b=__________.
【答案】10 5
【解析】因为a-b=|| eq \(OA,\s\up6(→))|-| eq \(OB,\s\up6(→))||≤| eq \(OA,\s\up6(→))- eq \(OB,\s\up6(→))|=| eq \(AB,\s\up6(→))|≤| eq \(OA,\s\up6(→))|+| eq \(OB,\s\up6(→))|=a+b,所以 eq \b\lc\{\rc\ (\a\vs4\al\c1(a+b=15,,a-b=5,))解得 eq \b\lc\{\rc\ (\a\vs4\al\c1(a=10,,b=5.))
14.已知|a|=7,|b|=2,且a∥b,则|a-b|的值为__________.
【答案】5或9
【解析】当a与b方向相同时,|a-b|=||a|-|b||=7-2=5;当a与b方向相反时,|a-b|=|a|+|b|=7+2=9.
15.已知△ABC是等腰直角三角形,∠ACB=90°,M是斜边AB的中点, eq \(CM,\s\up6(→))=a, eq \(CA,\s\up6(→))=b.求证:
(1)|a-b|=|a|;
(2)|a+(a-b)|=|b|.
证明:因为△ABC是等腰直角三角形,∠ACB=90°,
所以CA=CB.又因为M是斜边AB的中点,所以CM=AM=BM.
(1)因为 eq \(CM,\s\up6(→))- eq \(CA,\s\up6(→))= eq \(AM,\s\up6(→)),
又因为| eq \(AM,\s\up6(→))|=| eq \(CM,\s\up6(→))|,所以|a-b|=|a|.
(2)因为M是斜边AB的中点,
所以 eq \(AM,\s\up6(→))= eq \(MB,\s\up6(→)),
所以a+(a-b)= eq \(CM,\s\up6(→))+( eq \(CM,\s\up6(→))- eq \(CA,\s\up6(→)))= eq \(CM,\s\up6(→))+ eq \(AM,\s\up6(→))= eq \(CM,\s\up6(→))+ eq \(MB,\s\up6(→))= eq \(CB,\s\up6(→)),
因为| eq \(CA,\s\up6(→))|=| eq \(CB,\s\up6(→))|,
所以|a+(a-b)|=|b|.
数学必修 第二册6.3 平面向量基本定理及坐标表示同步练习题: 这是一份数学必修 第二册<a href="/sx/tb_c4000292_t7/?tag_id=28" target="_blank">6.3 平面向量基本定理及坐标表示同步练习题</a>,共5页。
高中数学人教A版 (2019)必修 第二册6.1 平面向量的概念同步练习题: 这是一份高中数学人教A版 (2019)必修 第二册<a href="/sx/tb_c4000290_t7/?tag_id=28" target="_blank">6.1 平面向量的概念同步练习题</a>,共5页。试卷主要包含了下列说法中,正确的个数是,下列说法中,正确的有,下面几个命题正确的是,C错误,a与b的方向不一定相同,故选D,给出以下5个条件等内容,欢迎下载使用。
高中数学人教A版 (2019)必修 第二册6.2 平面向量的运算习题: 这是一份高中数学人教A版 (2019)必修 第二册<a href="/sx/tb_c4000291_t7/?tag_id=28" target="_blank">6.2 平面向量的运算习题</a>,共5页。试卷主要包含了故选D,故选C,设a,b是两个不共线的向量等内容,欢迎下载使用。