


159,山东省北镇中学2023-2024学年高一下学期开学考试数学试题
展开
这是一份159,山东省北镇中学2023-2024学年高一下学期开学考试数学试题,共20页。试卷主要包含了作答非选择题时,用0, 已知,则的值为, 下列说法中错误的是等内容,欢迎下载使用。
高一数学试题
2024.2
本试卷共4页,分为选择题和非选择题两部分,满分150分,考试时间120分钟.
注意事项
1.答卷前,考生先将自己的班级、姓名、准考证号填写在试卷和答题卡的相应位置;
2.作答选择题时,用2B铅笔把答题卡上对应题目的答案标号涂黑,如需改动,先用橡皮擦擦干净,再选涂其他答案;
3.作答非选择题时,用0.5毫米黑色签字笔将答案写在答题卡各题目指定区域内相应的位置,答案不能答在本试卷上,不按以上要做作答的答案无效.
一、选择题:本题共8小题,每小题5分,共40分.在每小题给出的四个选项中,只有一项是符合题目要求的.
1. 已知角的终边经过点则的值为( )
A. B. C. D.
【答案】B
【解析】
【分析】根据三角函数的定义进行计算即可.
【详解】因为角的终边经过点,
所以,
故选:B.
2. 已知和是两个不共线向量,若,,,且,,三点共线,则实数的值为( )
A. B. C. D.
【答案】B
【解析】您看到的资料都源自我们平台,20多万份最新小初高试卷,家威鑫 MXSJ663 免费下载 【分析】根据三点共线可得,列出方程组即可得解.
【详解】因为,
且,,三点共线,
所以存在实数,使得,即,
则,解得
故选:B
3. 若在三角形中,,,则( )
A. B.
C. D.
【答案】A
【解析】
【分析】根据图形,由向量的线性运算及减法运算求解即可.
【详解】如图,
因为,,
所以,
所以,
故选:A
4. 已知,且,则向量在向量上的投影向量为( )
A. B. C. D.
【答案】C
【解析】
【分析】根据向量在向量上的投影公式进行计算即可.
【详解】因为向量在向量上的投影向量为:,
故选:C.
5. 已知,则的值为( )
A. B. C. D.
【答案】A
【解析】
【分析】根据二倍角的余弦公式求解.
【详解】,
故选:A
6. 已知在三角形中,,且,则角所对边的长度为( )
A. B. C. D.
【答案】C
【解析】
【分析】由余弦定理求解.
【详解】由余弦定理可得:,
所以.
故选:C
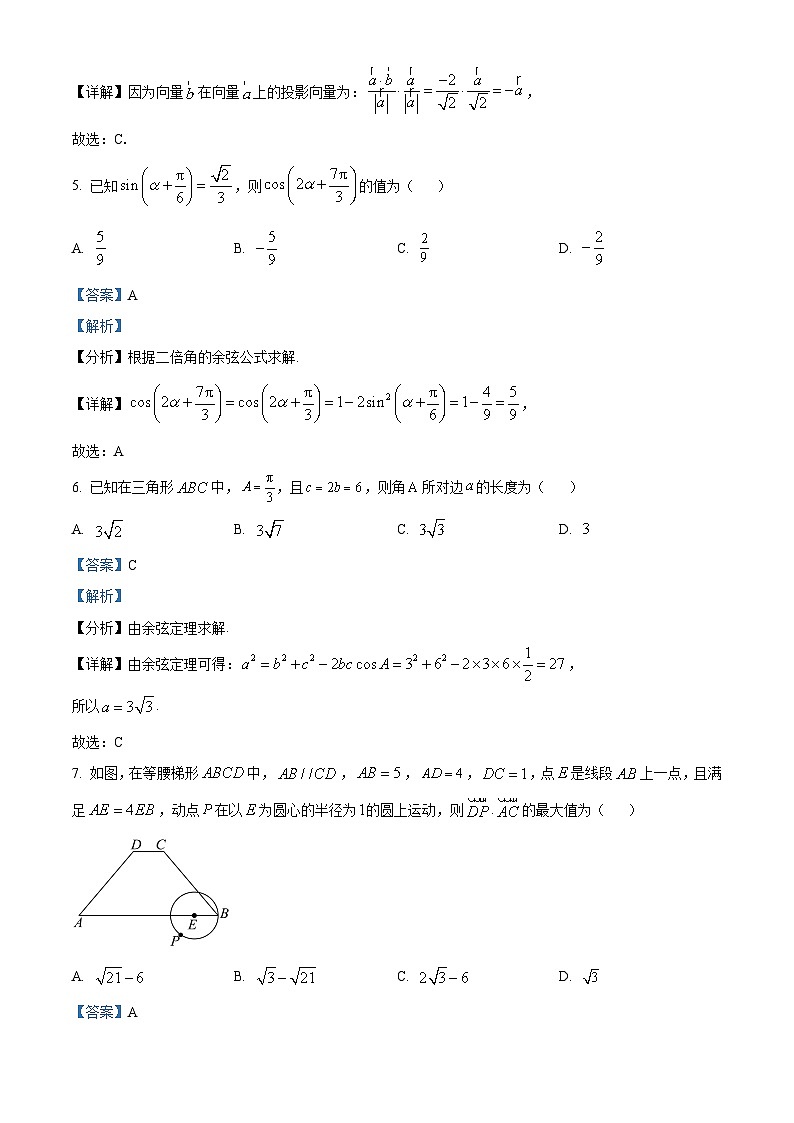
7. 如图,在等腰梯形中,,,,,点是线段上一点,且满足,动点在以为圆心的半径为的圆上运动,则的最大值为( )
A. B. C. D.
【答案】A
【解析】
【分析】利用题设条件,建系,求得相关点的坐标,因点在圆上,设点,计算得三角函数形式,运用辅助角公式将其化成正弦型函数,即可求其最值.
【详解】
如图,以为原点,建立直角坐标系.
由题意,梯形的高长为,则.
因为以为圆心的半径为的圆的方程为:,可设点,.
则
其中,,
故当时,.
故选:A.
8. 已知点是的重心,过点的直线与边分别交于两点,为边的中点.若,则( )
A. B. C. 2D.
【答案】A
【解析】
【分析】由三角形重心的性质,结合向量的线性运算得到,再由三点共线,即可求解.
【详解】如图所示,由三角形重心的性质,可得,所以,
所以,即,
因为三点共线,可得,所以.
故选:A.
二、选择题:本题共3小题,每小题6分,共18分.在每小题给出的四个选项中,有多个选项符合题目要求.全部选对得6分,部分选对得部分分,有选错的得0分.
9. 下列说法中错误的是( )
A. 若都是非零向量,则“”是“与共线”的充要条件
B. 若都是非零向量,且,则
C. 若单位向量满足,则
D. 若为三角形外心,且,则为三角形的垂心
【答案】AC
【解析】
【分析】对于A,只需通过举反例说明由“与共线”推不出“”即可;对于B,将等式两边平方,化简即得;对于C,通过题设移项后平方分别求出和即得;对于D,由题设分解向量推得,即得点为边的中点,推出即得.
【详解】于A项,由与共线,可取,则,
因,故,故A项错误;
对于B项,由两边平方,展开得,
化简得:,即,故B项正确;
对于C项,由可得:,
两边平方,,
因是单位向量,则,解得,
又由可得:,
两边平方,,
因是单位向量,则,解得,
则,故C项错误;
对于D项,如图,因,
故由可得:,
故得点为边的中点,即三角形的外心为的中点,
即,故得,即为三角形的垂心,故D项正确.
故选:AC.
10. 已知函数的图象向左平移个单位长度后与原图像关于轴对称,则下列说法正确的是( )
A. 可能等于B. 为偶函数
C. 的一个周期为D. 在上单调递减
【答案】AD
【解析】
【分析】根据函数图象平移后与原图象关于轴对称建立方程,求得,可判定选项A,对于B,求得函数的解析式后分类讨论即可判定;对于C,根据周期公式求得周期后即可判定;对于D,求得后根据函数的性质即可判定.
【详解】函数的图象向左平移个单位长度后,
所得图象对应的解析式为:
,
又函数的图象关于轴对称对应的函数解析式为:
,
由题意可得,
所以,
则,
对于A,当时,,故A正确;
对于B,
当时,为偶函数,
当时,为非奇非偶函数,故B错误;
对于C,因为,
所以函数的周期为,
分母为奇数,故一定不是函数的周期,故C错误;
对于D,当时,,且,
所以函数在上单调递减,故D正确,
故选:AD.
11. 在平面直角坐标系中,设,,,且为单位向量,满足,,则下列结论正确的有( )
A. B.
C. 若向量与垂直,则D. 向量与的夹角正切值最大为
【答案】AB
【解析】
【分析】对于A,根据为单位向量即可判定;对于B,等式右边展开后,结合题中条件即可判定;对于C,设,,,根据题中条件可得,再利用坐标求模公式,结合重要不等式,即可判定;对于D,利用坐标运算求得夹角的余弦值,继而求得正切值,结合条件即可判定.
【详解】对于A,因为为单位向量,所以,故A正确;
对于B,因为为单位向量,,,
所以,
故B正确;
对于C,设,,,
则,则,
,则,
又,
则由向量与垂直知,
,则,
,
故C错误;
对于D,,设向量与的夹角为,
则,
则,
则,无最大值,故D错误;
故选:AB.
三、填空题:本题共3小题,每小题5分,共15分.
12. 已知当时,函数的最大值为,则的值为_________
【答案】或
【解析】
【分析】根据对称轴和区间中点的关系分类讨论,建立方程解出即可.
【详解】函数的对称轴为,
当,即时,,
解得或(舍);
当,即时,,
解得或(舍),
综上知,的值为2或-1.
故答案为:或.
13. 瀑布是大自然的奇观,唐代诗人李白曾在《望庐山瀑布》中写到“日照香炉生紫烟,遥看瀑布挂前川.飞流直下三千尺,疑是银河落九天”.某学校高一数学活动小组为了测量瀑布的实际高度,设计了如下测量方案:沿一段水平山道步行至与瀑布底端在同一水平面时,在此位置测得瀑布顶端的仰角正切值为,沿着山道继续走m,测得瀑布顶端仰角为已知该同学沿山道行进方向与他第一次望向瀑布底端的方向所成的角为根据该同学的测量数据,可知该瀑布的高度为____.
【答案】60m
【解析】
【分析】根据题意画出图象,结合题中条件求得,在中,由余弦定理建立方程,解出即可.
【详解】如图,设瀑布顶端为,底端为,高为,
该同学第一次测量的位置为,第二次测量的位置为,
则,,
,
所以,
在中,由余弦定理可知:
,
即,
解得,
故答案为:60m.
14. 已知向量,,满足,且,,则当时,的最小值为________.
【答案】##0.75
【解析】
【分析】利用向量加减法的平行四边形法则作图,由题意转化为求的最小值即可得解.
【详解】设,则,如图,
,,,
即,
,,,
即,
,
设,
则,
由在直线上,可知当时,最小,
此时,
故的最小值为.
故答案为:
四、解答题:本题共5小题,共77分.解答应写出必要的文字说明、证明过程或演算步骤.
15. 从下面两个条件中任选一个补全题干,并回答相关问题.已知在三角形中,
条件①:
条件②:
(1)求;
(2)若该三角形是锐角三角形,求的取值范围.
【答案】(1)
(2)
【解析】
【分析】(1)选①由正弦定理及余弦定理求解,选②由三角恒等变换求出得解;
(2)根据正弦定理化为角,利用三角恒等变换转化为求在上的值域即可.
【小问1详解】
若选择①:
由正弦定理可得,,即,
由余弦定理可得,,
因为,所以.
若选择②:
根据条件可知,,
通分可得,
故.
因为,所以.
【小问2详解】
由(1)得:
,
因为三角形是锐角三角形,所以均为锐角,
即,所以,
所以,,
所以,
所以
16. 已知幂函数的图象过点
(1)解不等式:;
(2)设,若存在实数,使得成立,求实数的取值范围.
【答案】(1)
(2)
【解析】
【分析】(1)根据图象所过点求出幂函数解析式,再由二次不等式求解即可;
(2)分离参数后由题意转化为求二次函数的最小值即可得解.
【小问1详解】
因为幂函数的图象过点,
所以,解得
所以,
由,
所以,
整理得,即
解得或
故不等式的解集为
【小问2详解】
由(1)可知,,则,
由得,,
即,
令,根据题意,存在实数,,
则 ,由于,
所以当时,取最小值,故,
所以的取值范围为.
17. 在单位圆中,锐角的终边与单位圆相交于点,将射线绕点按逆时针方向旋转后与单位圆相交于点
(1)求的值;
(2)记点的横坐标为,若,且,求的值.
【答案】(1)
(2)
【解析】
【分析】(1)由题意可得,进而利用诱导公式化简、求解;
(2)由题意可得:,进而可知,根据同角三角关系结合三角恒等变换分析求解.
【小问1详解】
由于点在单位圆上,可得,
所以.
【小问2详解】
由(1)可知,且为锐角,可得,
根据三角函数定义可得:,
因为,即,
且,可得,
所以
,
即的值为.
18. 已知函数,为函数的反函数
(1)讨论在上的单调性,并用定义证明;
(2)设,求证:有且仅有一个零点,且.
【答案】18. 在上单调递减,在上单调递增,证明见解析
19. 证明见解析
【解析】
【分析】(1)根据函数的单调性定义进行判定和证明即可;
(2)考查函数的单调性,结合,,利用零点存在性定理即可证明有且仅有一个零点;根据,根据函数和函数的单调性,得到和,综合分析即可.
【小问1详解】
,且
则
①若,则,,
因此,即在上为减函数
②若,则,,
因此,即在上为增函数.
综上,在上单调递减,在上单调递增.
【小问2详解】
由题意得,,则 ,
当时,,所以在上不存在零点;
易得在上单调递增,且,,
根据零点存在定理,有且仅有一个零点,且
所以,则
所以,
因为函数在上单调递减,
所以,即,
因为函数在上单调递增,所以
所以,即,
变形,得.
19. 定义非零向量若函数解析式满足,则称为向量的“伴生函数”,向量为函数的“源向量”.
(1)已知向量为函数的“源向量”,若方程在上有且仅有四个不相等的实数根,求实数的取值范围;
(2)已知点满足,向量的“伴生函数”在时取得最大值,当点运动时,求的取值范围;
(3)已知向量“伴生函数”在时的取值为.若在三角形中,,,若点为该三角形的内心,求的最大值.
【答案】(1)
(2)
(3)3
【解析】
【分析】(1)根据题意得到方程,参变分离后,写出函数的解析式,画出函数图象,结合图象即可;
(2)根据题中条件求得值,继而求得,利用二倍角公式求得的表达式,换元后利用函数单调性即可求得取值范围;
(3)根据条件可先求得,继而根据正弦定理可得角形外接圆半径,则,再根据向量的运算法则及数量积的定义化简所求,进一步分析即可.
【小问1详解】
因为向量为函数的“源向量”,
所以 ,
则方程上有且仅有四个不相等实数根,
所以在上有且仅有四个不相等的实数根,
令,
①当时,
②当时,,
所以 ,
其图象为:
结合,,,最大值为
故当在上有且仅有四个不相等的实数根时,
的取值范围为.
【小问2详解】
由题意得:
,其中,
当,即时,
取最大值,
故,
则,
令,由于,
故,
即
则,解得,
所以()
因为单调递增,所以,
所以的取值范围为
【小问3详解】
由题意得,,则,
在三角形中,
,,因此 ,
设三角形外接圆半径为,
根据正弦定理,,故
所以
代入得:,
所以当时,取得最大值3.
【点睛】关键点点睛:第1问的关键是参变分离,数形结合;第2问的关键是换元法构造函数;第3问的关键是利用正弦定理得到.
相关试卷
这是一份123,山东省泰安市宁阳县第一中学2023-2024学年高一下学期开学考试数学试题,共14页。试卷主要包含了 下列说法正确的个数是, 下列命题中错误的有等内容,欢迎下载使用。
这是一份山东省烟台市莱州市重点中学2023-2024学年高一下学期开学收心考试数学试题(含答案),共4页。试卷主要包含了单项选择题,多项选择题,填空题,解答题等内容,欢迎下载使用。
这是一份山东省名校考试联盟2023-2024学年高三下学期开学考试数学试题,共15页。