所属成套资源:2024年高考数学必备PPT大全(6大专题秘籍大招)
专题五 培优点6 概率与统计的创新题型--高三高考数学复习-PPT
展开
这是一份专题五 培优点6 概率与统计的创新题型--高三高考数学复习-PPT,共50页。PPT课件主要包含了内容索引,考点一,考点二,概率和数列的综合问题,概率和函数的综合问题,专题强化练,规律方法,则ξ的分布列为等内容,欢迎下载使用。
概率与统计问题在近几年的高考中背景取自现实,题型新颖,综合性增强,难度加深,主要考查学生的阅读理解能力和数据分析能力.要从已知数表、题干信息中经过阅读分析判断获取关键信息,搞清各数据、各事件间的关系,建立相应的数学模型求解.
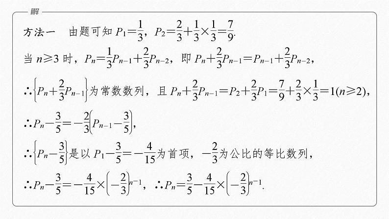
(2023·晋中模拟)晋中市是晋商文化的发源地,且拥有丰富的旅游资源,其中有保存完好的大院人文景观(如王家大院,常家庄园等),也有风景秀丽的自然景观(如介休绵山,石膏山等).某旅行团带游客来晋中旅游,游客可自由选择人文景观和自然景观中的一处游览.若每位游客选择人文景观的概率是 ,选择自然景观的概率为 ,游客之间选择意愿相互独立.(1)从游客中随机选取5人,记5人中选择人文景观的人数为X,求X的均值与方差;
(2)现对游客进行问卷调查,若选择人文景观记2分,选择自然景观记1分,记已调查过的累计得分为n分的概率为Pn,求Pn.
概率问题与数列的交汇,综合性较强,主要有以下类型:(1)求通项公式:关键是找出概率Pn或均值E(Xn)的递推关系式,然后根据构造法(一般构造等比数列),求出通项公式.(2)求和:主要是数列中的倒序相加法求和、错位相减法求和、裂项相消法求和.(3)利用等差、等比数列的性质,研究单调性、最值或求极限.
(2023·邯郸模拟)某市为了让广大市民更好地了解并传承成语文化,当地文旅局拟举办猜成语大赛.比赛共设置n道题,参加比赛的选手从第一题开始答题,一旦答错则停止答题,否则继续,直到答完所有题目.设某选手答对每道题的概率均为p(04的n的最小值.参考数据:lg 2≈0.301,lg 3≈0.477.
所以n>8.848,又n∈N*,故n的最小值为9.
(2023·淮北模拟)社会人口学是研究人口因素对社会结构和社会发展的影响和制约的一门社会学分支学科.其基本内容包括:人口作为社会变动的原始依据的探讨,将人口行为作为引起社会体系特征变动的若干因素中的一个因素来研究.根据社会人口学研究发现,一个家庭有ξ个孩子(仅考虑不超过3个孩子家庭)的分布列为:
其中m>0,0
相关课件
这是一份2024届高考数学二轮复习概率与统计创新题型课件,共21页。PPT课件主要包含了概率与统计创新题型等内容,欢迎下载使用。
这是一份新高考版高考数学二轮复习(新高考版) 第1部分 专题突破 专题5 培优点7 概率与统计的创新问题课件PPT,共49页。PPT课件主要包含了高考数学二轮复习策略,概率和数列的综合,概率和函数的综合,专题强化练等内容,欢迎下载使用。
这是一份新高考数学二轮复习 第1部分 专题5 培优点17 概率与统计的创新题型(含解析)课件PPT,共16页。PPT课件主要包含了解由已知可得,跟踪演练等内容,欢迎下载使用。

