资料中包含下列文件,点击文件名可预览资料内容





还剩2页未读,
继续阅读
9. 江西省九江十校2024届高三下学期联考数学试题及答案
展开
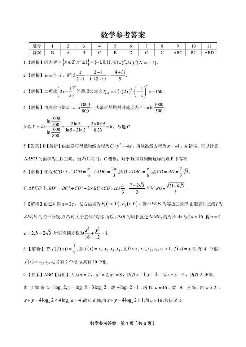
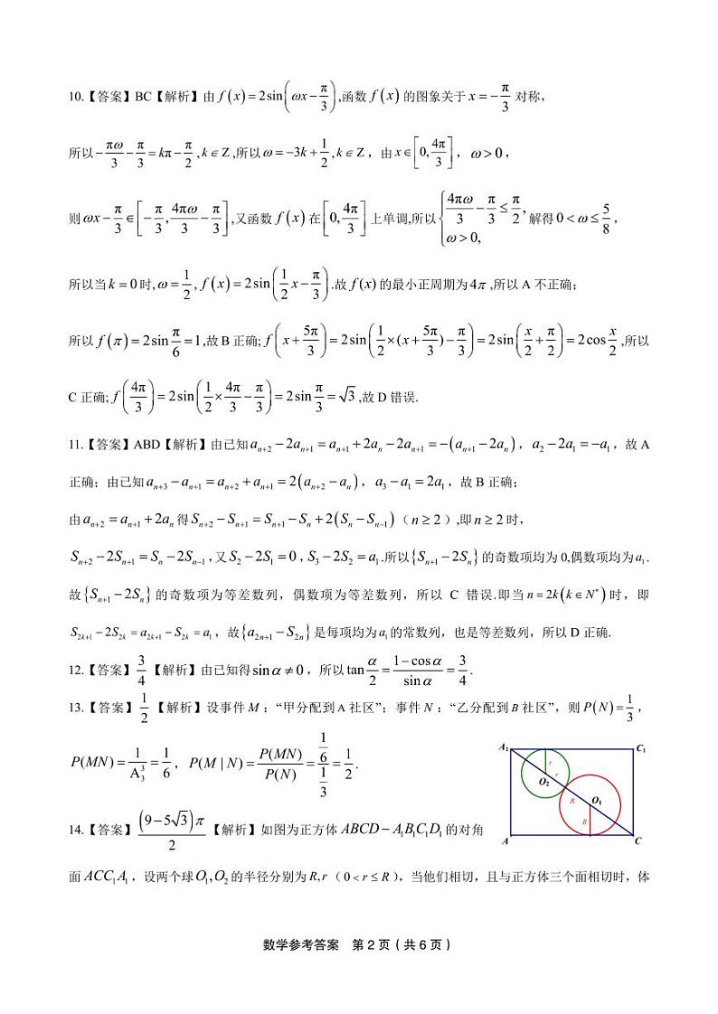
这是一份9. 江西省九江十校2024届高三下学期联考数学试题及答案,文件包含9江西省九江十校2024届高三联二数学试题pdf、9江西省九江十校2024届高三联二数学试题答案pdf等2份试卷配套教学资源,其中试卷共10页, 欢迎下载使用。
相关试卷
江西省九江市十校2023-2024学年高三第二次联考 数学试题及答案:
这是一份江西省九江市十校2023-2024学年高三第二次联考 数学试题及答案,文件包含江西省九江市十校2023-2024学年高三第二次联考数学答案pdf、江西省九江市十校2023-2024学年高三第二次联考数学pdf等2份试卷配套教学资源,其中试卷共10页, 欢迎下载使用。
江西省九江市十校2023-2024学年高三第二次联考数学试题+:
这是一份江西省九江市十校2023-2024学年高三第二次联考数学试题+,共10页。
江西省九江十校2022-2023学年高三第二次联考文科数学试题:
这是一份江西省九江十校2022-2023学年高三第二次联考文科数学试题,共20页。试卷主要包含了选择题,填空题,解答题等内容,欢迎下载使用。
