还剩2页未读,
继续阅读
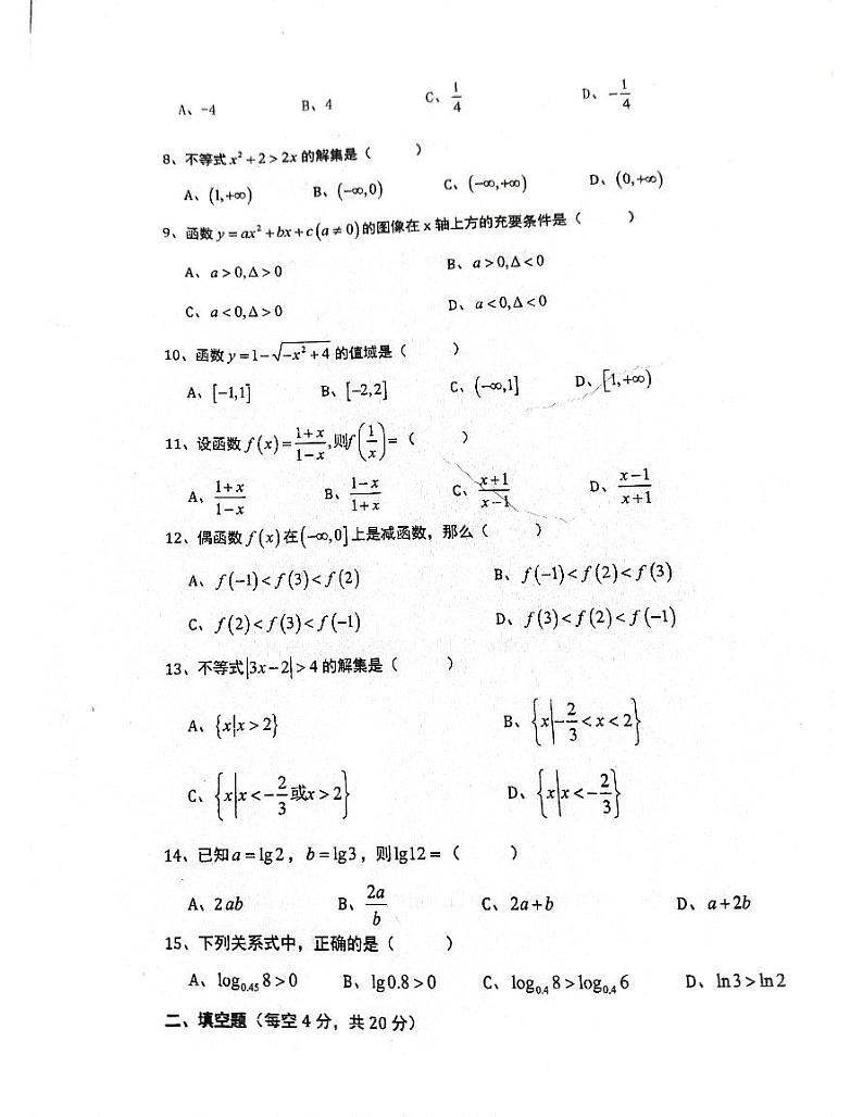
四川省成都市郫都区友爱职业技术学校2023-2024学年高一上学期期末考试数学试卷
展开
这是一份四川省成都市郫都区友爱职业技术学校2023-2024学年高一上学期期末考试数学试卷,共4页。
相关试卷
四川省成都市郫都区友爱职业技术学校2023-2024学年高二上学期期末复习数学试卷:
这是一份四川省成都市郫都区友爱职业技术学校2023-2024学年高二上学期期末复习数学试卷,共4页。
四川省成都市郫都区友爱职业技术学校2023-2024学年高一单招班上学期期末数学试卷:
这是一份四川省成都市郫都区友爱职业技术学校2023-2024学年高一单招班上学期期末数学试卷,共4页。
四川省成都市郫都区友爱职业技术学校2023-2024学年高一上学期期末复习数学试卷:
这是一份四川省成都市郫都区友爱职业技术学校2023-2024学年高一上学期期末复习数学试卷,共4页。

