







还剩12页未读,
继续阅读
所属成套资源:北师大版七年级数学下册【精品教学课件】
成套系列资料,整套一键下载
北师大版七年级数学下册 第一章 整式的乘除 第二课时 积的乘方(课件)
展开
这是一份北师大版七年级数学下册 第一章 整式的乘除 第二课时 积的乘方(课件),共20页。
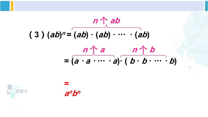
北师版七年级数学下册第2课时 积的乘方同底数幂相乘,底数不变,指数相加.一般形式:(m ,n 为正整数)1.同底数幂相乘的运算性质?2.幂的乘方的运算性质?幂的乘方,底数不变,指数相乘.一般形式:(m ,n 为正整数) 地球可以近似地看做是球体,地球的半径约为 6×103 km,它的体积大约是多少立方千米? 怎么算?(1) (3×5)4 = 3 ( ) · 5 ( );(2) (3×5)m = 3 ( ) · 5 ( );(3) (ab)n = a ( ) · b ( ). (1) (3×5)4 = 3×3×3×3×5×5×5×5 = 34×54 (2) (3×5)m = 3×3×…×3×5×5×…×5 m 个 3m 个 5= 3m×5m 你发现了什么?(3)(ab)n = (ab) · (ab) · … · (ab)= (a · a · … · a)· ( b · b · … · b) = anbnn 个 abn 个 an 个 b例 2 计算:(1) (3x)2; (2) (– 2b) 5;(3) (– 2xy)4; (4) (3a2)n. 解:(1) (3x)2 = 32x2 = 9x2;(2) (– 2b)5 = (– 2)5b5 = – 32b5;(3) (– 2xy)4 = (– 2)4x4y4 = 16x4y4;(4) (3a2)n = 3n(a2)n = 3na2n. 练习(1)(– 3n)3 ; (2)(5xy)3 ; (3)– a3 + (– 4a)2a.解(1) (– 3n)3 = (– 3)3n3 = – 27n3;(2) (5xy)3 = 53x3y3 = 125x3y3;(3) – a3+ (– 4a)2a = – a3 + 16a2a = 15a3.解决本节课一开始地球的体积问题.下面的计算对不对?如果不对,应怎样改正?(1)(a3b)3 = a3b3; ( )(2)(6xy)2 = 12x2y2; ( )(3)– (3x3)2 = 9x6; ( )(4)(– 2ax2)2 = – 4a2x4. ( )×(a3b)3 = a9b3(6xy)2 = 36x2y2××– (3x3)2 = – 9x6× (– 2ax2)2 = 4a2x41. 下列计算正确的是( )A. (ab2)2 = ab4 B. (3xy)3 = 9x3y3C. (–2a2)2 = –4a4 D. (–3a2bc2)2 = 9a4b2c42. 若 (2am)3 = na15 成立,则 m =____,n =____.D583. 计算:(1)(–2xy2)6 + (–3x2y4)3;(2)(– 4ab3)2 – 8a2b6 + 2(ab3)2.原式 = 64x6y12 – 27x6y12 = 37x6y12原式 = 16a2b6 – 8a2b6 + 2a2b6 = 10a2b64. 计算:(1)(xm+1)3(2)a·a2·a3 + (a3)2– (– 2a2)3;(3)原式 = x3m+3原式 = 10a6原式 = 85. 计算 – (– 3a)2 的结果是( )A. – 6a2 B. – 9a2 C. 6a2 D. 9a46. 如果 2x+1·3x+1 = 62x–1,那么 x 的值为______.7. 若 x3 = – 8a6b9,则 x =________.B2– 2a2b31.完成课本P8页的习题,2.完成练习册本课时的习题.
北师版七年级数学下册第2课时 积的乘方同底数幂相乘,底数不变,指数相加.一般形式:(m ,n 为正整数)1.同底数幂相乘的运算性质?2.幂的乘方的运算性质?幂的乘方,底数不变,指数相乘.一般形式:(m ,n 为正整数) 地球可以近似地看做是球体,地球的半径约为 6×103 km,它的体积大约是多少立方千米? 怎么算?(1) (3×5)4 = 3 ( ) · 5 ( );(2) (3×5)m = 3 ( ) · 5 ( );(3) (ab)n = a ( ) · b ( ). (1) (3×5)4 = 3×3×3×3×5×5×5×5 = 34×54 (2) (3×5)m = 3×3×…×3×5×5×…×5 m 个 3m 个 5= 3m×5m 你发现了什么?(3)(ab)n = (ab) · (ab) · … · (ab)= (a · a · … · a)· ( b · b · … · b) = anbnn 个 abn 个 an 个 b例 2 计算:(1) (3x)2; (2) (– 2b) 5;(3) (– 2xy)4; (4) (3a2)n. 解:(1) (3x)2 = 32x2 = 9x2;(2) (– 2b)5 = (– 2)5b5 = – 32b5;(3) (– 2xy)4 = (– 2)4x4y4 = 16x4y4;(4) (3a2)n = 3n(a2)n = 3na2n. 练习(1)(– 3n)3 ; (2)(5xy)3 ; (3)– a3 + (– 4a)2a.解(1) (– 3n)3 = (– 3)3n3 = – 27n3;(2) (5xy)3 = 53x3y3 = 125x3y3;(3) – a3+ (– 4a)2a = – a3 + 16a2a = 15a3.解决本节课一开始地球的体积问题.下面的计算对不对?如果不对,应怎样改正?(1)(a3b)3 = a3b3; ( )(2)(6xy)2 = 12x2y2; ( )(3)– (3x3)2 = 9x6; ( )(4)(– 2ax2)2 = – 4a2x4. ( )×(a3b)3 = a9b3(6xy)2 = 36x2y2××– (3x3)2 = – 9x6× (– 2ax2)2 = 4a2x41. 下列计算正确的是( )A. (ab2)2 = ab4 B. (3xy)3 = 9x3y3C. (–2a2)2 = –4a4 D. (–3a2bc2)2 = 9a4b2c42. 若 (2am)3 = na15 成立,则 m =____,n =____.D583. 计算:(1)(–2xy2)6 + (–3x2y4)3;(2)(– 4ab3)2 – 8a2b6 + 2(ab3)2.原式 = 64x6y12 – 27x6y12 = 37x6y12原式 = 16a2b6 – 8a2b6 + 2a2b6 = 10a2b64. 计算:(1)(xm+1)3(2)a·a2·a3 + (a3)2– (– 2a2)3;(3)原式 = x3m+3原式 = 10a6原式 = 85. 计算 – (– 3a)2 的结果是( )A. – 6a2 B. – 9a2 C. 6a2 D. 9a46. 如果 2x+1·3x+1 = 62x–1,那么 x 的值为______.7. 若 x3 = – 8a6b9,则 x =________.B2– 2a2b31.完成课本P8页的习题,2.完成练习册本课时的习题.
相关资料
更多