专题二 第2讲 三角恒等变换与解三角形 2024年高考数学大二轮复习课件(含讲义)
展开
这是一份专题二 第2讲 三角恒等变换与解三角形 2024年高考数学大二轮复习课件(含讲义),文件包含专题二第2讲三角恒等变换与解三角形pptx、专题二第2讲三角恒等变换与解三角形docx、专题二第2讲三角恒等变换与解三角形学生版docx等3份课件配套教学资源,其中PPT共60页, 欢迎下载使用。
1.三角恒等变换主要考查化简、求值,解三角形主要考查求边长、角度、面积 等,三角恒等变换作为工具,将三角函数与三角形相结合考查求解最值、范 围问题.2.三角恒等变换以选择题、填空题为主,解三角形以解答题为主,中等难度.
正弦定理、余弦定理及综合应用
1.两角和与差的正弦、余弦、正切公式(1)sin(α±β)=sin αcs β±cs αsin β;(2)cs(α±β)=cs αcs β∓sin αsin β;
2.二倍角的正弦、余弦、正切公式(1)sin 2α=2sin αcs α;(2)cs 2α=cs2α-sin2α=2cs2α-1=1-2sin2α;
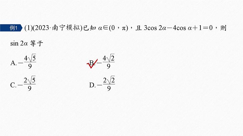
由3cs 2α-4cs α+1=0得3(2cs2α-1)-4cs α+1=0,化简得3cs2α-2cs α-1=0,
三角恒等变换的“4大策略”(1)常值代换:特别是“1”的代换,1=sin2θ+cs2θ=tan 45°等.(2)项的拆分与角的配凑:如sin2α+2cs2α=(sin2α+cs2α)+cs2α,α=(α-β)+β等.(3)降幂与升幂:正用二倍角公式升幂,逆用二倍角公式降幂.(4)弦、切互化:一般是切化弦.
(2)已知函数f(x)=sin x-2cs x,若当x=θ时,f(x)取得最大值,则cs θ=________.
考向1 正弦定理、余弦定理
所以由正弦定理得ac=b2-a2-c2,即a2+c2-b2=-ac,
(2)(2023·全国甲卷)在△ABC中,∠BAC=60°,AB=2,BC= ,∠BAC的角平分线交BC于D,则AD=_____.
方法一 在△ABC中,由余弦定理可得,a2=b2+c2-2bccs∠BAC,即6=b2+22-2×b×2×cs 60°,
由S△ABC=S△ABD+S△ACD可得,
方法二 在△ABC中,由余弦定理可得,a2=b2+c2-2bccs∠BAC,即6=b2+22-2×b×2×cs 60°,
所以C=45°,B=180°-60°-45°=75°,
又∠BAD=30°,所以∠ADB=75°,即AD=AB=2.
考向2 解三角形中的最值与范围问题
(2023·大连模拟)从下列条件中选择一个条件补充到题目中:
在△ABC中,角A,B,C对应边分别为a,b,c,________.(1)求角A;
选①,由余弦定理得,b2+c2-a2=2bccs A,
整理得b2+c2-a2=bc,
又因为A+C=π-B,
所以sin B=sin(A+C)=sin Acs C+sin Ccs A,
因为0b,可得C>B,即0°
相关课件
这是一份专题二 规范答题2 三角函数与解三角形 2024年高考数学大二轮复习课件(含讲义),文件包含专题二规范答题2三角函数与解三角形pptx、专题二规范答题2三角函数与解三角形docx、专题二规范答题2三角函数与解三角形学生版docx等3份课件配套教学资源,其中PPT共7页, 欢迎下载使用。
这是一份思想方法 第2讲 数形结合思想 2024年高考数学大二轮复习课件(含讲义),文件包含思想方法第2讲数形结合思想pptx、思想方法第2讲数形结合思想docx等2份课件配套教学资源,其中PPT共23页, 欢迎下载使用。
这是一份新高考数学二轮复习专题二三角函数与解三角形第2讲三角恒等变换与解三角形课件,共40页。PPT课件主要包含了必备知识•精要梳理,二倍角公式,辅助角公式,关键能力•学案突破,答案C,答案D,答案B,对点练1,答案AD,对点练2等内容,欢迎下载使用。

