专题4.7 极值点偏移问题-2024年高考数学大一轮复习核心考点精讲精练(新高考专用)
展开【核心素养】
高考对导数的综合考查,如研究函数零点、证明不等式、恒成立问题、求参数等,包括解决应用问题,将导数内容和传统内容中有关不等式、数列及函数单调性有机结合,设计综合题.凸显数学运算、逻辑推理、直观想象的核心素养,也体现命题的创新性.
知识点一
极值点偏移问题
1.极值点偏移:对于某些涉及函数零点的不等式证明问题,有时可以根据极值点的情况,采取特定处理方式,老师们称为“极值点偏移问题”.所谓极值点偏移是指:对于函数在区间内只有一个极值点,方程的解分别为,且,(1)若,则称函数在区间上极值点偏移;(2)若,则函数在区间上极值点左偏,简称极值点左偏;(3)若,则函数在区间上极值点右偏,简称极值点右偏.
2.常见解法:(1)证明(或):
①首先构造函数,求导,确定函数和函数的单调性;
②确定两个零点,且,由函数值与的大小关系,得与零进行大小比较;
③再由函数在区间上的单调性得到与的大小,从而证明相应问题;
(2)证明(或)(、都为正数):
①首先构造函数,求导,确定函数和函数的单调性;
②确定两个零点,且,由函数值与的大小关系,得与零进行大小比较;
③再由函数在区间上的单调性得到与的大小,从而证明相应问题;
(3)应用对数平均不等式证明极值点偏移:
①由题中等式中产生对数;
②将所得含对数的等式进行变形得到;
③利用对数平均不等式来证明相应的问题.
常考题型剖析
题型一:结论x1+x2>2x0型不等式证明问题
【典例分析】
例1-1.(2023·全国·高三专题练习)已知关于的方程有两个不等的正根,且,则下列说法正确的有( )
A.B.C.D.
【答案】ABD
【分析】根据题意构造函数,研究其函数图像得,可判断A;再构造函数,根据极值点偏移问题的方法得判断B;进而得判断C;根据等价得判断D.
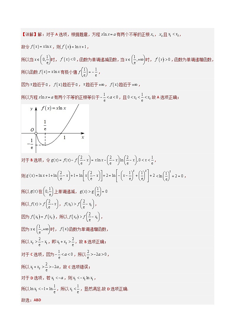
【详解】解:对于A选项,根据题意,方程有两个不等的正根,且,
故令,则,
所以当时,,函数为单调递减函数,当时,,函数为单调递增函数,
所以函数有极小值,
因为趋近于,趋近于,趋近于,趋近于,
所以方程有两个不等的正根等价于,且故A选项正确;
对于B选项,令,
则,
所以在上单调递减,
所以,,
因为,所以,
因为时,函数为单调递增函数,
所以,即,故B选项正确;
对于C选项,因为,所以,
所以,故C选项错误;
对于D选项,若,则,
所以,所以,显然满足.故D选项正确.
故选:ABD
【点睛】本题考查利用导数研究方程的根的问题,极值点偏移问题,考查运算求解能力,逻辑推理能力,是难题.本题第二个选项解决的关键在于构造函数,研究函数的单调性证明.
例1-2.(2023春·河南周口·高二校联考阶段练习)已知函数,
(1)若,求的单调区间;
(2)若,,是方程的两个实数根,证明:.
【答案】(1)单调递增区间为,单调递减区间为,
(2)证明见解析
【分析】(1)利用函数的单调性与导数正负的关系即可求解;
(2)根据已知条件构造,利用导数法研究函数的单调性和最值,进而得出,的范围,再构造函数,利用导数法研究函数的单调性,结合函数单调性的性质即可求解.
【详解】(1)由题可知的定义域为,
.
令,则的两根分别为,.
当或时,;
当时,;
所以的单调递增区间为,单调递减区间为,.
(2)原方程可化为,
设,则,.
令,得.∵在上,,在上,,
∴在上单调递增,在上单调递减,
∴,且当,趋向于0时,趋向于,
当趋向于时,趋向于.
则在和上分别有一个零点,,
不妨设,∵,∴,
设,则,
.
当时,,
∴在上单调递增,而,
∴当时,,,即.
∵,
∴.
∵在上单调递减,
∴,即.
【点睛】关键点睛:本题第二问关键是合理转化,将问题变成熟悉的极值点偏移问题,从而根据对称化构造方法及利用导数法研究函数的单调性即可.
【规律方法】
1.对称化构造法:对结论x1+x2>2x0型,构造函数F(x)=f(x)-f(2x0-x).
2.对称法解决极值点偏移的基本原理是利用函数的单调性,把要证明的 ( 是极值点)转化为证明 ,再转化为 ,又根据 ,可以转化为证明 ,而 是固定的, 是变量,这样就把一个双变量不等式转化为了单变量不等式,从而以 为未知量来构造函数证明不等式即可.
【变式训练】
变式1-1..(2021春·四川成都·高二四川师范大学附属中学校考期中)已知函数有两个零点,,则下列说法:
①函数有极大值点,且;
②;
③;
④若对任意符合条件的实数,曲线与曲线最多只有一个公共点,则实数的最大值为.其中正确说法的有( )
A.1个B.2个C.3个D.4个
【答案】D
【分析】分类讨论的单调性,即可得,,的范围,根据,得到和之间关系,构造,,可知单调递减,由此得到,即可判断①;对进行变形化简,即可判断②;根据①中,,的范围,即可判断③;构造,当时,可知单调递减,则方程最多有一个根,当时,有两根,由时,,只需考虑极小值,根据单调性求得极小值,进而求极小值的范围,即可求得的范围,即可判断④.
【详解】解:因为,所以,
当时,,在上单调递增,
则最多有一个零点,故不符合题意,舍;
当时,令,解得,
当时,,单调递增,
当时,,单调递减,
所以当,取得极大值点,即,
因为有两个零点,,
所以,且有,解得,
设,,
所以.
由
,
所以,
由,当,所以,
,所以,故单调递减,
所以在时,,
因为,所以,
即,
因为,,在单调递减,
所以,即,故①正确;
由有两个零点,且,
所以,故,
所以,故②正确;
由①知,,所以,故③正确;
因为曲线与曲线最多只有一个公共点,
所以在时最多只有一根.
令,则,
令,即时,,单调递减,
此时方程最多有一个根,
当时,,所以有两根,
令,则,,
由韦达定理,可知,故,
所以在上,单调递减,
在上,单调递增,
在上,单调递减,
当时,,所以只需考虑极小值即可,
根据单调性,可知为极小值点,
即,即,即,
所以,
由,令,
则,当时,,单调递减,
所以,所以,
即实数的最大值为,故④正确.
故选:D.
【点睛】思路点睛:此题考查函数于导数的综合问题,属于难题,关于极值点偏移问题的思路如下:
(1)根据题意建立的等量关系,并结合的单调性,确定的取值范围;
(2)不妨设,将待证不等式变形,进而结合原函数或导数的单调性等价转换;
(3)构造关于或的一元函数,或令构造关于的一元函数,应用导数研究其单调性,并借助于单调性,达到对不等式的证明.
变式1-2.(2022•汕头一模)已知函数有两个相异零点,.
(1)求的取值范围;
(2)求证:.
【答案】
【解答】解:(1),
当时,,单调递减,
当时,,单调递增;
要使函数有两个相异零点,必有(1),,
当时,,且,函数在有一个零点
,,函数在有一个零点,
的取值范围为.
(2)由(1)知,,
,,
要证,,
故构造函数,,
则,所以在单调递减,(1).
,,
构造函数,
,
下面证明,即证明,
构造函数,.
在上恒成立,
因此在递增,从而(1),
,在递增,
(1),
,
时,,单调递增,
,
即.
题型二:结论型不等式证明问题
例2-1.(2023春·四川成都·高二成都外国语学校校考期中)已知函数有两个零点、,且,则下列命题正确的个数是( )
①;②;③;④;
A.个B.个C.个D.个
【答案】C
【分析】由可得,设,其中,则直线与函数的图象有两个交点,利用导数分析函数的单调性与极值,数形结合可判断①;构造函数,其中,分析函数的单调性,可判断②③;分析出、,利用不等式的基本性质可判断④.
【详解】由可得,令,其中,
则直线与函数的图象有两个交点,,
由可得,即函数的单调递增区间为,
由可得,即函数的单调递减区间为,
且当时,,当时,,如下图所示:
由图可知,当时,直线与函数的图象有两个交点,①对;
对于②,由图可知,,
因为,由可得,由可得,
所以,函数的增区间为,减区间为,则必有,
所以,,则,
令,其中,
则,则函数在上单调递减,
所以,,即,即,
又,可得,
因为函数的单调递减区间为,则,即,②错;
对于③,由,两式相加整理可得,
所以,,可得,③对;
对于④,由图可知,则,又因为,所以,,④对.
故选;C.
例2-2.(2022·广东深圳·高二期末)设函数,已知直线是曲线的一条切线.
(1)求的值,并讨论函数的单调性;
(2)若,其中,证明:.
【答案】(1);在上单调递减,在上单调递增
(2)证明见解析.
【分析】(1)设切点为,利用导数几何意义和切线方程可构造方程组得到;设,利用导数可确定有唯一零点,由此可得;代入后,根据的正负可得单调区间;
(2)根据单调性和的正负可确定,将所证不等式转化为对任意恒成立;令,利用导数可求得单调递增,得到,由此可得结论.
(1)
设直线与曲线相切于点,
,;
又,,即;
设,则,在上单调递增,
又,有唯一零点,,,解得:;
,,
则当时,;当时,;
在上单调递减,在上单调递增.
(2)
由(1)知:;
当时,;当时,,;
要证,只需证;
在上单调递减,只需证,
又,则只需证对任意恒成立;
设,
;
设,则,
在上单调递减,,
又当时,,,
在上单调递增,,
即在时恒成立,又,
,原不等式得证.
【点睛】方法点睛:处理极值点偏移问题中的类似于(满足)的问题的基本步骤如下:
①求导确定的单调性,得到的范围;
②构造函数,求导后可得恒正或恒负;
③得到与的大小关系后,将置换为;
④根据与所处的范围,结合的单调性,可得到与的大小关系,由此证得结论.
【规律方法】
对称化构造法:对结论型,构造函数,通过研究F(x)的单调性获得不等式.
【变式训练】
变式2-1.(北京·高三强基计划)已知且,则( )
A.B.
C.D.
【答案】AD
【分析】不妨设,,则,利用导数可证,利用极值点偏移可证.
【详解】不妨设,,
因为,故,
由可得,故,所以,,
又.
设,则,
故在为增函数,故即,
故即,故C错误,D正确.
函数的导函数为,
当时,,当时,,
因此在上单调递减,在上单调递增,且.
考虑函数,
则,
而,故,故,
所以在上为减函数,故,
所以,所以即,
而,故即,故A正确,B错误.
故选:AD.
变式2-2.(2023春·福建厦门·高二厦门双十中学校考阶段练习)已知函数
(1)已知f(x)在点(1,f(1))处的切线方程为,求实数a的值;
(2)已知f(x)在定义域上是增函数,求实数a的取值范围.
(3)已知有两个零点,,求实数a的取值范围并证明.
【答案】(1)
(2)
(3),证明见解析
【分析】(1)切线方程的斜率为1,所以有,解方程即得实数a的值;
(2)依题意在(0,+∞)上恒成立.,分参求解即可;
(3)求出函数的单调性,结合零点存在性定理即可求实数a的取值范围;通过分析法要证明,只需证,构造函数即可证得
【详解】(1)因为,所以.
所以,又f(x)在点(1,f(1))处的切线方程为,
所以,解得..
(2)f(x)的定义域为(0,+∞),因为f(x)在定义域上为增函数,
所以在(0,+∞)上恒成立.
即恒成立.,即,
令,所以,
时,时,
所以在上单调递增,在上单调递减,
所以,即.
(3)
定义域为
当时,,所以在(0,+∞)上单调递减,不合题意.
当时,
在(0,)上单调递减,在上单调递增,
所以的最小值为,
函数存在两个零点的必要条件是,
即,又,
所以在(1,)上存在一个零点().
当时,,所以在(,+∞)上存在一个零点,
综上函数有两个零点,实数a的取值范围是.
不妨设两个零点
由,所以,
所以,所以,
要证,
只需证,
只需证,
由,
只需证,
只需证,
只需证,
令,只需证,
令,
,
∴H(t)在(0,1)上单调递增,∴,
即成立,
所以成立.
题型三:双变量不等式不等式证明问题
【典例分析】
例3-1.(2023·湖北武汉·华中师大一附中校考模拟预测)已知.
(1)当时,讨论函数的极值点个数;
(2)若存在,,使,求证:.
【答案】(1)函数的极值点有且仅有一个
(2)证明见解析
【分析】(1)对函数进行求导,然后分和两种情况对函数的单调性进行研究,即可得到答案;
(2)由可得(*),通过证明单调递增,(*)转化为,接着证明成立,即可求解
【详解】(1)当时,,则,
当时,,
故在上单调递增,不存在极值点;
当时,令,则总成立,
故函数即在上单调递增,
且,,所以存在,使得,
所以当时,,单调递减;当时,,单调递增;
故在上存在唯一极值点,
综上,当时,函数的极值点有且仅有一个.
(2)由知,
整理得,(*),
不妨令,则,故在上单调递增,
当时,有,即,
那么,
因此,(*)即转化为,
接下来证明,等价于证明,
不妨令(),
建构新函数,,则在上单调递减,
所以,故即得证,
由不等式的传递性知,即.
【点睛】思路点睛:应用对数平均不等式证明极值点偏移:
①由题中等式中产生对数;
②将所得含对数的等式进行变形得到;
③利用对数平均不等式来证明相应的问题.
例3-2.(2022·全国·高二专题练习)已知函数.
(1)若,求的单调区间;
(2)若在上有两个极值点、.
①求实数的取值范围;
②求证:.
【答案】(1)递减区间为,递增区间为;(2)①,②证明见解析.
【分析】(1)求得,分析导数的符号变化,由此可得出函数的单调递增区间和单调递减去加;
(2)①分析可知在上有两个不同的零点,对实数的取值进行分类讨论,结合已知条件可得出关于实数的不等式组,由此可解得实数的取值范围;
②先证明出,其中,由已知条件可得出,再利用不等式可证得结论成立.
【详解】(1),
令,,
因为,所以当时,,单调递减,
所以当时,,单调递增,所以,
所以当时,,当时,,
因此,的单调递减区间为,单调递增区间为;
(2)(i),
要使在上有两个极值点、,
则在上有两个不同的零点,
①时,由(1)知,,
令,故,
所以在上为增函数,所以,故,
故在上无零点,舍;
②当时,,,,
则在上单调递减,故最多只有一个零点,不合题意,舍去;
③当时,,
当时,;当时,.
所以,函数在上单调递减,在上单调递增,
所以,即要使,解得.
综上所述,的取值范围为;
(ii)由(i)知,,,
先证不等式,其中,
即证,即,
令,即证,
构造函数,则,
所以,函数在区间上单调递减,故,
由已知可得,故,
所以,则,所以,,
因此,.
【点睛】方法点睛:利用导数证明不等式问题,方法如下:
(1)直接构造函数法:证明不等式(或)转化为证明(或),进而构造辅助函数;
(2)适当放缩构造法:一是根据已知条件适当放缩;二是利用常见放缩结论;
(3)构造“形似”函数,稍作变形再构造,对原不等式同解变形,根据相似结构构造辅助函数.
例3-3.(2022·全国·高考真题(理))已知函数.
(1)若,求a的取值范围;
(2)证明:若有两个零点,则.
【答案】(1)
(2)证明见的解析
【分析】(1)由导数确定函数单调性及最值,即可得解;
(2)利用分析法,转化要证明条件为,再利用导数即可得证.
【详解】(1)[方法一]:常规求导
的定义域为,则
令,得
当单调递减
当单调递增,
若,则,即
所以的取值范围为
[方法二]:同构处理
由得:
令,则即
令,则
故在区间上是增函数
故,即
所以的取值范围为
(2)[方法一]:构造函数
由题知,一个零点小于1,一个零点大于1,不妨设
要证,即证
因为,即证
又因为,故只需证
即证
即证
下面证明时,
设,
则
设
所以,而
所以,所以
所以在单调递增
即,所以
令
所以在单调递减
即,所以;
综上, ,所以.
[方法二]:对数平均不等式
由题意得:
令,则,
所以在上单调递增,故只有1个解
又因为有两个零点,故
两边取对数得:,即
又因为,故,即
下证
因为
不妨设,则只需证
构造,则
故在上单调递减
故,即得证
【点睛】关键点点睛 :本题是极值点偏移问题,关键点是通过分析法,构造函数证明不等式,
这个函数经常出现,需要掌握.
【规律方法】
比值代换法:通过代数变形将所证的双变量不等式通过代换t=eq \f(x1,x2)化为单变量的函数不等式,利用函数单调性证明.
【变式训练】
变式3-1.(2023·全国·高三专题练习)已知函数,
(1)讨论函数的单调性;
(2)若函数在上有两个不相等的零点,求证:.
【答案】(1)当时,单调递增;当时,在上单调递增,在上单调递减.
(2)证明见解析
【分析】(1)先求定义域,再求导,对进行分类讨论,利用导函数的正负,求出函数的单调性;(2)对要证明的不等式进行变形,然后构造函数进行证明.
(1)
,.
①当时,恒成立,单调递增;
②当时,由得,,单调递增,
由得,,单调递减.
综上:当时,单调递增;当时,在上单调递增,在上单调递减.
(2)
∵在上有两个不相等的零点,,不妨设,
∴在上有两个不相等的实根,
令,,∴,
由得,,单调递减,由得,,单调递增,
,,,,
∴
要证,即证,又∵,
只要证,即证,
∵,即证
即证,即证,即证
令,,∴,
令,,则,当时,恒成立,所以在上单调递增,又,∴,∴,∴
∴在上递增,∴,∴
∴.
【点睛】极值点偏移问题,需要构造函数,利用函数单调性及极值,最值等进行求解.
变式3-2.已知函数f(x)=xe-x.
(1)求函数f(x)的单调区间和极值;
(2)若x1≠x2且f(x1)=f(x2),求证:x1+x2>2.
【答案】(1)f(x)有极大值f(1)=,f(x)无极小值.(2)证明见解析
【解析】(1)解 f′(x)=e-x(1-x),
令f′(x)>0得x<1;令f′(x)<0得x>1,
∴函数f(x)在(-∞,1)上单调递增,在(1,+∞)上单调递减,
∴f(x)有极大值f(1)=,f(x)无极小值.
(2)证明
方法一 (对称化构造法)
构造辅助函数F(x)=f(x)-f(2-x),x>1,
则F′(x)=f′(x)+f′(2-x)=e-x(1-x)+ex-2(x-1)
=(x-1)(ex-2-e-x),
∵当x>1时,x-1>0,ex-2-e-x>0,∴F′(x)>0,
∴F(x)在(1,+∞)上为增函数,∴F(x)>F(1)=0,
故当x>1时,f(x)>f(2-x),(*)
由f(x1)=f(x2),x1≠x2,可设x1<1
又f(x1)=f(x2),
∴f(x1)>f(2-x2).
又x1<1,2-x2<1,而f(x)在(-∞,1)上单调递增,
∴x1>2-x2,
∴x1+x2>2.
方法二 (比值代换法)
设0
令t=>1,则x2=tx1,代入上式得ln x1-x1=ln t+ln x1-tx1,得x1=,x2=.
∴x1+x2=>2⇔ln t->0,
设g(t)=ln t- (t>1),
∴g′(t)=-=>0,
∴当t>1时,g(t)为增函数,
∴g(t)>g(1)=0,
∴ln t->0,
故x1+x2>2.
变式3-3.(2023·广东茂名·茂名市第一中学校考三模)已知函数,.
(1)讨论函数的单调性;
(2)若关于的方程有两个不相等的实数根、,
(ⅰ)求实数a的取值范围;
(ⅱ)求证:.
【答案】(1)答案见解析
(2)(ⅰ);(ⅱ)证明见解析
【分析】(1)求出,分、两种情况讨论,分析导出的符号变化,即可得出函数的增区间和减区间;
(2)(i)将方程变形为,令,令,可知直线与函数的图象有两个交点,利用导数分析函数的单调性与极值,数形结合可得出实数的取值范围;
(ii)将所证不等式等价变形为,由变形可得出,推导出,即证.令,只需证,构造函数,其中,利用导数法即可证得结论成立.
【详解】(1)解:因为,
所以,其中.
①当时,,所以函数的减区间为,无增区间;
②当时,由得,由可得.
所以函数的增区间为,减区间为.
综上:当时,函数的减区间为,无增区间;
当时,函数的增区间为,减区间为.
(2)解:(i)方程可化为,即.
令,因为函数在上单调递增,
易知函数的值域为,
结合题意,关于的方程(*)有两个不等的实根.
又因为不是方程(*)的实根,所以方程(*)可化为.
令,其中,则.
由可得或,由可得,
所以,函数在和上单调递减,在上单调递增.
所以,函数的极小值为,
且当时,;当时,则.
作出函数和的图象如下图所示:
由图可知,当时,函数与的图象有两个交点,
所以,实数的取值范围是.
(ii)要证,只需证,即证.
因为,所以只需证.
由(ⅰ)知,不妨设.
因为,所以,即,作差可得.
所以只需证,即只需证.
令,只需证.
令,其中,则,
所以在上单调递增,故,即在上恒成立.
所以原不等式得证.
【点睛】方法点睛:利用导数证明不等式问题,方法如下:
(1)直接构造函数法:证明不等式(或)转化为证明(或),进而构造辅助函数;
(2)适当放缩构造法:一是根据已知条件适当放缩;二是利用常见放缩结论;
(3)构造“形似”函数,稍作变形再构造,对原不等式同解变形,根据相似结构构造辅助函数.
一、单选题
1.(2023秋·河北衡水·高三河北衡水中学校考期末)已知,则( )
A.B.
C.D.
【答案】D
【分析】变形a,b,构造函数比较a,b的大小,构造函数比较的大小,利用极值点偏移的方法判断的大小作答.
【详解】依题意,,,
令,,
当时,,即,函数在上单调递减,
,即,因此,
令,,当时,,当时,,
函数在上单调递减,,而,
函数在上单调递增,显然,
则方程有两个不等实根,,有,
,而,则有,
令,,,
即函数在上单调递减,当时,,即,
因此,即有,而,在上单调递增,
于是得,即,取,,于是得,
又,在上单调递增,从而,
所以,D正确.
故选:D
2.(2023·四川成都·成都实外校考模拟预测)已知两个不相等的正实数x,y满足,则下列结论一定正确的是( )
A.B.
C.D.
【答案】C
【分析】先利用同构法与构造函数,将题设条件转化为,再利用导数研究函数的图象与性质,结合图像即可排除AD,利用特殊值计算即可排除B,再利用极值点偏移的解决方法即可判断C.
【详解】因为,,
所以,则,即,
令,则,,
当时,,则单调递减;
当时,,则单调递增,
所以,
对于,总有,即在上单调递增,
故,即在上恒成立,
所以对于,对于任意,在上取,
则,
所以当且趋向于0时,趋向于无穷大,
当趋向于无穷大时,趋向于无穷大,趋向于0,故趋向于无穷大,
所以的大致图像如图所示:
.
对于AD,因为,,不妨设,
由图象可知,,故,故AD错误;
对于B,假设成立,取,
则,显然不满足,故B错误;
对于C,令,又,
则,
所以在上单调递增,
又,则,即,
又,则,
因为,所以,又,在上单调递增,
所以,即,故C正确.
故选:C.
【点睛】关键点睛:本题的解题关键在于利用同构法转化等式,从而构造函数,并研究其图像的性质,由此判断得解.
二、多选题
3.(2023·河北·河北衡水中学校考模拟预测)若当实数a变化时,直线恒与定曲线相切,且,则( )
A.有一个极大值点B.
C.D.
【答案】AD
【分析】求出的解析式再利用导数可求探究其性质,再判断后可得正确的选项.
【详解】因为直线恒与定曲线相切,
则曲线为坐标平面上挖去诸切线上的点后余下的所有点形成的边界(边界为虚边界),而余下的不在切线上,故无解,
设,则,
若,则,当时,无解,此时边界点为
若,则,故在上为增函数,
而当时,,时,,
故无论取何值,从而总有解.
若,则时,,,,
故在上为减函数,在上为增函数,
故,
若,则无解,故即,
边界对应的函数为,.
若,因此时,,故此时总有解.
综上,,故C错误.
当时,,
当时,;当时,,
故在上为增函数,在为减函数,
故有唯一的极大值点,且极大值为,故A正确.
又的图象如图所示:
当时,由可得或,即或,
有两个不同的解,故B错误.
若,则由图象可得,不妨设,
当时,,此时成立;
当时,令,其中,
则,
因为,故,故,
所以在上为减函数,故,
所以,故,
故,而,
由的单调性可得即,
综上,D成立,
故选:AD.
【点睛】思路点睛:对于曲线的切线族问题,往往与曲线的包络线有关,注意从曲线的切线族结合方程无解可求曲线的方程,再结合导数的方法可研究函数的性质.
4.(2023·全国·高三专题练习)已知函数,则下列说法正确的是( )
A.若恒成立,则
B.当时,的零点只有个
C.若函数有两个不同的零点,则
D.当时,若不等式恒成立,则正数的取值范围是
【答案】BC
【分析】采用分离变量法可得,利用导数可求得的单调性,进而得到最大值,从而得到,知A错误;根据恒成立可知单调递增,利用零点存在定理可说明存在唯一零点,知B正确;要得到,只需得到,可化简得到,从而将问题转化为证明,设,利用导数可说明,即可判断C正确;将恒成立的不等式变形为,根据单调递增可得,即,利用导数的知识即可判断D错误.
【详解】对于A,定义域为,由得:,
令,则,
当时,;当时,;
在上单调递增,在上单调递减,
,则,A错误;
对于B,定义域为,,
当时,,在上单调递增,
又,,
,使得,当时,有且仅有一个零点,B正确;
对于C,,,
;
要证,只需证,即证,
不妨令,则只需证,
令,则,
令,
则,
在上单调递增,,,
即恒成立,,C正确;
对于D,当时,由得:,
即,;
令,则,在上单调递增,
由得:,;
令,则,
当时,;当时,;
在上单调递增,在上单调递减,,
,D错误.
故选:BC.
【点睛】关键点点睛:本题考查利用导数求解恒成立问题、零点个数问题和极值点偏移的问题;本题D选项中恒成立问题求解的关键是能够利用同构法,将恒成立的不等式转化为同一函数不同函数值的大小关系比较问题,进而通过构造函数,利用函数单调性得到自变量的大小关系,从而化简恒成立的不等式.
5.(2023春·湖南岳阳·高二湖南省岳阳县第一中学校考期末)设函数,下列四个结论中正确的是( )
A.函数在区间上单调递增
B.函数有且只有两个零点
C.函数的值域是
D.对任意两个不相等正实数,若,则
【答案】CD
【分析】利用导数判断时,的单调性,根据单调性可求值域,然后结合时,,从而可判断选项A,C;
首先利用导数判断时,的零点个数;然后再利用单调性判断时,的零点个数,从而可判断选项B;
不妨设,根据题意把要证明,转化为证明;然后构造函数,利用导数判断函数的单调性即可证明,从而判断选项D.
【详解】当时,,所以,
所以当时,在单调递增,
当时,在单调递减,
故时,,
又当时,,所以,,
所以函数在单调递增,所以A错误,C正确;
当时,令,则,
所以在单调递减,所以当时,,
所以函数在上没有零点;
当时,,所以只需求函数在上零点个数,
又因为在上单调递减,且,
所以函数在上只有一个零点.
所以函数有且仅有一个零点,所以B错误;
当时,若,因为函数在单调递增,在单调递减,
所以不妨设,则,
所以要证,只需证,即只需证,
又因为,所以只需证.
因为,
所以令函数,
则,
所以在单调递增,所以,
即恒成立,所以,
即,所以,
从而成立. 所以选项D正确.
故选:CD.
三、填空题
6.(2023·全国·高三专题练习)已知函数的极大值点为0,则实数m的值为 ;设,且,不等式恒成立,则实数的取值范围为 .
【答案】 1
【分析】求出函数的导函数,即可得到,从而求出,令,即可得到,令,利用导数说明函数的单调性,即可得到函数草图,即可得到,再令,利用导数说明函数的单调性,即可得到,从而得解;
【详解】解:,则,则,解得,
此时,,当时,当时,
所以在上的单调递增,在上单调递减,则在处取极大值,符合题意;
令,则
构造函数,则.
因为,所以当时,当时,
即在上单调递增,在上单调递减,又,
易知的图象如图所示:
不妨令,
令
∵
∴在上单调递增,即
∵,∴,即
∵,∴
∵在上单调递减,∴
故答案为:1;
四、解答题
7.(2023·全国·高三专题练习)已知函数
(1)若对任意的,都有恒成立,求实数的取值范围;
(2)设是两个不相等的实数,且.求证:
【答案】(1)
(2)证明见解析
【分析】(1)先判断不成立,当时,求出函数的导数,结合最值可得参数的取值范围;
(2)设,可得恒成立,从而可证不等式.
【详解】(1)当时,,
因为,所以,即,不符合题意;
当时,,
当时,,当时,,
所以在上单调递增,在上单调递减.
所以.
由恒成立可知,所以.
又因为,所以的取值范围为.
(2)因为,所以,即.
令,由题意可知,存在不相等的两个实数,,使得.
由(1)可知在区间上单调递增,在区间上单调递减.
不妨设,则.
设,
则,
所以在上单调递增,
所以,即在区间上恒成立.
因为,所以.
因为,所以.
又因为,,且在区间上单调递增,
所以,即.
8.(2023·全国·高三专题练习)已知函数,其中a,b为常数,为自然对数底数,.
(1)当时,若函数,求实数b的取值范围;
(2)当时,若函数有两个极值点,,现有如下三个命题:
①;②;③;
请从①②③中任选一个进行证明.
(注:如果选择多个条件分别解答,按第一个解答计分)
【答案】(1)
(2)证明见解析
【分析】(1)分,讨论,当时,求的最小值,根据可得;
(2)将问题转化为有两个零点,先利用导数研究两个零点的范围,然后由,,作商取对数得.若选①,令,构造函数,若选②,构造函数,根据极值点偏移问题的方法可证;若选③,构造函数,由单调性可证.
【详解】(1)当时,,
当时,因为,所以此时不合题意;
当时,当时,,单调递减,
当时,,单调递增,
所以,
要,只需,
令,则,
当时,,单调递增;
当时,,单调递减,
所以,则由得,
所以,故实数b的取值范围为.
(2)当时,,,
令,则,
因为函数有两个极值点,,所以有两个零点,
若,则,单调递增,不可能有两个零点,所以,
令得,
当时,,单调递减;
当时,,单调递增;
所以,
因为有两个零点,所以,则,
设,因为,,则,
因为,所以,,
则,取对数得,
令,,则,即
①令,则,因为,所以在上单调递减,在上单调递增,
令,
则,在上单调递减,
因为,所以,即,
亦即,
因为,,在上单调递增,所以,
则,整理得,
所以,故①成立
②令,则,
因为,所以在上单调递减,在上单调递增,
令,则,在上单调递增,
又,所以当时,,即,
因为,,在上单调递增,所以,
所以,即,
所以,
即,故②成立.
③令,,则,
令,则,
∴在上单调递增,则,
∴,则,
两边约去后化简整理得,即,
故③成立.
【点睛】双变量的不等式证明问题,主要通过换元构造函数,利用单调性证明即可.本题属极值点偏移问题,关键在于构造适当的对称函数.
9.(2023·全国·模拟预测)已知函数.
(1)求函数的单调区间与极值.
(2)若,求证:.
【答案】(1)单调递增区间为和,单调递减区间为;极大值为,极小值为
(2)证明见解析
【分析】(1)利用导数可求得的单调区间,并确定极值点,由此可进一步求得极值;
(2)根据单调性和极值可确定的范围,利用极值点偏移的证明方法,构造函数,,可证得,,结合不等式的性质可证得结论.
【详解】(1)定义域为,,
令,解得:或,
当时,;当时,;
的单调递增区间为和,单调递减区间为;
的极大值为,极小值为.
(2)由(1)知:,,.
令,,
则;
令,则;
令,则,
在上恒成立,在上单调递增,
,
在上恒成立,在上单调递增,,
在上恒成立,在上单调递增,,
对任意恒成立.
,,又,,
在上单调递增,,,即;
令,,
则;
在上单调递增,,
在上恒成立,在上单调递增,
,对任意恒成立.
,.又,,
在上单调递增,且,,;
由得:,,.
【点睛】思路点睛:本题第(1)问用到导数零点九字诀:有没有,在不在,比大小.第(2)问用到第(1)问的两个极值点和,然后两次利用极值点偏移法,得出两个不等式和,再利用这两个不等式巧妙得出所要证明的不等式.
10.(2023·全国·高三专题练习)已知函数,直线与曲线相切.
(1)求实数的值;
(2)若曲线与直线有两个公共点,其横坐标分别为.
①求实数的取值范围;
②证明:.
【答案】(1)
(2)①;②证明见解析
【分析】(1)利用导数的几何意义,即可求解;
(2)①问题转化为有2个实数根,转化为与有2个交点,利用导数分析函数,即可求解的取值范围;
②构造函数,,利用导数判断函数的单调性,再结合极值点偏移问题的解决方法,即可证明.
【详解】(1)设切点,,
得,,所以,代入直线方程得;
(2)①由(1)知,若曲线与直线有两个公共点,则等价于有2个实数根,,
设,则,
当时,,单调递增,
当时,,单调递减,
,当趋向于正无穷大时,趋向于0,当趋向于负无穷大时,趋向于负无穷大,
则;
②,即,等价于,
令,,
,
因为,所以,故,
所以在上单调递增,故,
不妨设,故,即,
由已知,所以,
由①知,当时,单调递增,
故,所以,
所以.
【点睛】极值点偏移问题中(极值点为),证明或的方法:
①构造,
②确定的单调性,
③结合特殊值得到或,再利用,得到与的大小关系,
④利用的单调性即可得到或.
11.(2023·全国·高三专题练习)已知函数有两个极值点,.
(1)求实数的取值范围;
(2)求证:.
【答案】(1)
(2)证明见解析
【分析】(1)将已知转化为有两个零点,,借助导数研究其性质,进而解决问题.
(2)要证明当时,,只需要证明即可.
【详解】(1)由于,则.
设,则,令,解得.
所以当时,;当时,,所以
①当时,,所以函数在上单调递增,没有极值点.
②当时,,,
此时,有两个零点、,不妨设,则,
所以函数有2个极值点时,的范围时.
(2)由(1)知,、为的两个实数根,不妨设,则,
在上单调递减.
下面先证,只需证.
由于,所以,
所以.
设,则,
所以在上单调递减,所以,,
所以.
由于函数在上单调递减,所以.
要证,只需证,即证.
设函数,则.
设,则,
所以在上单调递增,,即.
所以在上单调递增,.
故当时,,则,
所以,即
12.(2023秋·广东揭阳·高三统考期末)已知函数.
(1)讨论的零点个数;
(2)当有两个零点时,分别设为,,试判断与2的大小关系,并证明.
【答案】(1)答案见解析;
(2),证明见解析.
【分析】(1)利用导数可求出的最小值为,后讨论最小值与0的大小结合零点存在性定理可解决问题;
(2)由(1)可得,在区间上单调递增,则与2的大小关系,等价于与的大小关系,即与的大小关系,又注意到,故利用导数研究函数的单调性即可.
【详解】(1)
,
因为,所以当时,,单调递减;
当时,,单调递增,
所以.
所以当,即时,的零点个数为0;
当,即时,的零点个数为1;
当,即时,注意到,
,
因,则,令,则.
令,则,
因,得,即在上单调递增.
则,则.
故,使得,得时,的零点个数为2.
综上:时,的零点个数为0;
时,的零点个数为1;
得时,的零点个数为2.
(2).证明如下:
由(1)可知,当时,函数有两个零点,且.
令,,
则,
当时,,所以在区间上单调递增,
所以,
所以.因为,所以.
又由(1)知在区间上单调递增,则,
故.
【点睛】关键点点睛:本题涉及讨论函数零点与双变量问题,难度较大.
(1)讨论零点常利用导数结合零点存在性定理或数形结合,本题采用第一种方法,难点在于取点;
(2)该问为极值点偏移问题,常利用构造差函数或利用消元将双变量变为单变量.
专题4.6 隐零点问题-2024年高考数学大一轮复习核心考点精讲精练(新高考专用): 这是一份专题4.6 隐零点问题-2024年高考数学大一轮复习核心考点精讲精练(新高考专用),文件包含专题46隐零点问题原卷版docx、专题46隐零点问题解析版docx等2份试卷配套教学资源,其中试卷共47页, 欢迎下载使用。
专题4.5 导数与函数的零点问题-2024年高考数学大一轮复习核心考点精讲精练(新高考专用): 这是一份专题4.5 导数与函数的零点问题-2024年高考数学大一轮复习核心考点精讲精练(新高考专用),文件包含专题45导数与函数的零点问题原卷版docx、专题45导数与函数的零点问题解析版docx等2份试卷配套教学资源,其中试卷共52页, 欢迎下载使用。
专题08 极值点偏移问题(练)-备战高考数学二轮复习核心考点精讲精练(新教材·新高考): 这是一份专题08 极值点偏移问题(练)-备战高考数学二轮复习核心考点精讲精练(新教材·新高考),文件包含专题08极值点偏移问题练解析版docx、专题08极值点偏移问题练原卷版docx等2份试卷配套教学资源,其中试卷共41页, 欢迎下载使用。

