还剩3页未读,
继续阅读
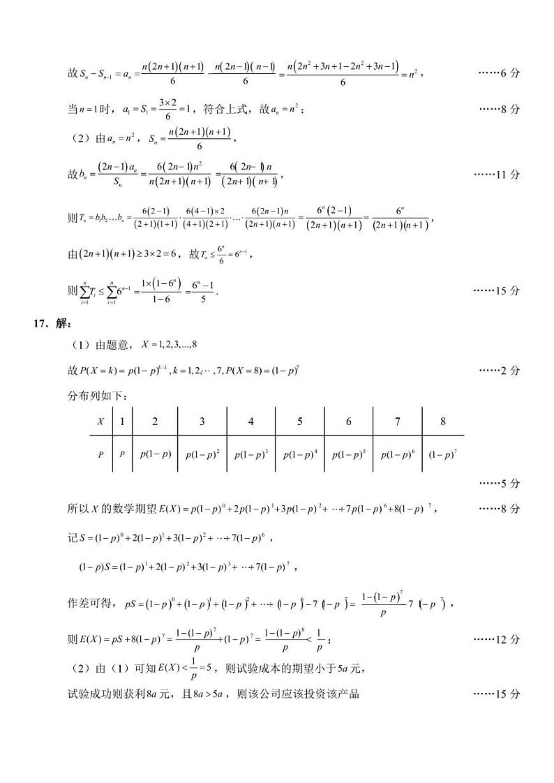
河北省部分学校2023-2024学年高三上学期摸底考试数学试题答案
展开
这是一份河北省部分学校2023-2024学年高三上学期摸底考试数学试题答案,共5页。
相关试卷
【新结构试卷】河北省部分学校2023-2024学年高三上学期摸底考试数学含答案:
这是一份【新结构试卷】河北省部分学校2023-2024学年高三上学期摸底考试数学含答案,文件包含河北省部分学校2023-2024学年高三上学期摸底考试数学试题pdf、河北省部分学校2023-2024学年高三上学期摸底考试数学试题答案pdf等2份试卷配套教学资源,其中试卷共10页, 欢迎下载使用。
【新结构试卷】河北省部分学校2023-2024学年高三上学期摸底考试数学含答案:
这是一份【新结构试卷】河北省部分学校2023-2024学年高三上学期摸底考试数学含答案,文件包含河北省部分学校2023-2024学年高三上学期摸底考试数学试题pdf、河北省部分学校2023-2024学年高三上学期摸底考试数学试题答案pdf等2份试卷配套教学资源,其中试卷共10页, 欢迎下载使用。
河北省部分学校2024届高三上学期摸底考试数学试题:
这是一份河北省部分学校2024届高三上学期摸底考试数学试题,文件包含河北省部分学校2024届高三上学期摸底考试数学试题原卷版pdf、河北省部分学校2024届高三上学期摸底考试数学试题解析版pdf等2份试卷配套教学资源,其中试卷共24页, 欢迎下载使用。

