湖北省武汉市华中师范大学第一附属中学2023-2024学年高三上学期数学独立作业(3)(Word版含解析)
展开
这是一份湖北省武汉市华中师范大学第一附属中学2023-2024学年高三上学期数学独立作业(3)(Word版含解析),文件包含华师一附中2024届高三数学独立作业3答案pdf、湖北省武汉市华中师范大学第一附属中学2023-2024学年高三上学期数学独立作业3docx等2份试卷配套教学资源,其中试卷共17页, 欢迎下载使用。
1.设集合,,则
A. B. C. D.
2.已知复数满足,则
A. B. C. D.
3.已知为两个不相等的非零实数,则方程所表示的曲线是( )
4.甲袋有2个红球和1个白球,乙袋有1个红球和2个白球,这些球大小质地完全相同,现从甲袋中随机取出1个小球放入乙袋,然后再从乙袋中随机取出1个小球,则从乙袋中取出的小球是红球的概率为
A. B. C. D.
5.如图所示,某工艺品可以看成是一个球被一个棱长为4的正方体的六个面所截后剩余的部分(球心与正方体的中心重合),若每个截面圆的周长均为,这该球的表面积为
A. B. C. 12 D.8
6.我国古代人民早在几千年以前就已经发现并应用勾股定理了,勾股定理最早的证明是东汉数学家赵爽在为《周髀算经》作注时给出的,被后人称为“赵爽弦图”,“赵爽弦图”是数形结合思想的体现,是中国古代数学的图腾,还被用作第24届国际数学大会的会徽,如右图,大正方形是由4个全等的直角三角形和中间的小正方形组成,为的中点,则 ( )
A. B.
C. D.
7.已知函数的图像关于对称,且,则的值是( )
A. B. C. D.
8.已知,,若,则
A. B. C.D.
二、多选题(本题共4小题,每小题5分,共20分.在每小题给出的四个选项中,有多项符合题目要求.全部选对的得5分,部分选对的得2分,有选错的得0分)
9.人的心脏在跳动时血压会增加或减小,血压的最大值和最小值分别称为收缩压和舒张压,健康成年人的收缩压和舒张压一般为和,血压计上的读数就是收缩压和舒张压,读数为标准值.记某人的血压满足函数关系式,其中为血压(),为时间(),其函数图像如图所示,则下列说法中正确的是( )
A. B.
C.收缩压为,舒张压为 D .该人每分钟心跳80次
10.如图,在长方体ABCD—A1B1C1D1中,AA1=AB=4,BC=2,M,N分别为棱C1D1,CC1的中点,则下列说法正确的是( )
A.AM // BN B.直线A1M与BN是异面直线
C.直线BN与B1M所成角为60° D.平面ADM平面BND1
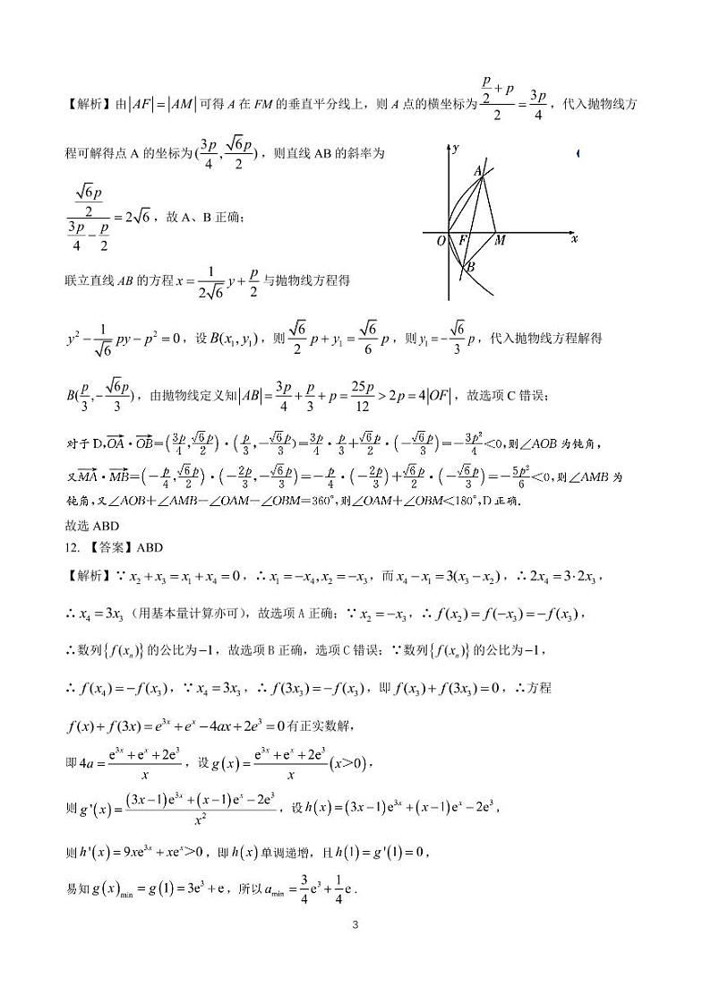
11.已知为坐标原点,过抛物线的焦点的直线与交于两点,其中在第一象限,点若,则( )
点的坐标为 直线的斜率为
12.已知函数是定义在上的奇函数,且当时,.若存在等差数列,,,,且,使得数列为等比数列,则下列结论正确的是( )
A.B.数列的公比为-1
C. 数列的公比为1 D. 的最小值为
三、填空题(本题共4小题,每小题5分,共20分)
13.已知,写出同时满足条件①②的一个n的值 .①,;②,,1,2,…,n.
14.已知(为自然对数的底数),,直线与的图像均相切,则直线的方程为__________.
15.在数列中,已知,,且,.设数列的前项和为,若的最小的值为4,则的取值范围为 .
16.如图,已知椭圆和抛物线的一个交点为,直线交于点,过作的垂线交于点(不同于点),若恰好是的切线,则椭圆的离心率为 .
四、解答题(本题共6小题,共70分.解答应写出文字说明、证明过程或演算步骤)
17.(本小题满分10分)已知a,b,c分别为内角的对边,若同时满足下列四个条件中的三个:①②③④
(1)满足有解的序号组合有哪些?
(2)请在(1)所有组合中任选一组,求对应的面积.
18.(本小题满分12分)如图,四棱锥中,已知
.
(1)证明:;
(2)设是的中点,直线与平面所成的角等于,求二面角的余弦值.
19.(本小题满分12分)已知数列满足
(1)求证:是等差数列;
(2)设(表示不超过的最大整数),求使得成立的最大整数的值.
20.(本小题满分12分)浙江省东魁杨梅是现在世界上果形最大的杨梅,有“乒乓杨梅”、“杨梅之皇”的美誉.根据多年的经验,可以认为东魁杨梅果实的果径(单位:mm),但因气候、施肥和技术的不同,每年和都有些变化,现某农场为了了解今年的果实情况,从摘下的果实中随机取出1000颗,并测量这1000颗果实的果径,得到如下频率分布直方图.
(1)用频率分布直方图估计样本的平均数近似代替,标准差近似代替,已知,根据以往经验,把果径与的差的绝对值在内的果实称为“标准果”.现从农场中摘取20颗果,请问这20颗果恰好有一颗不是“标准果”的概率.(结果精确到)
(2)随着直播带货的发展,该农场也及时跟进.网络销售在大大提升销量的同时,也增加了坏果赔付的成本.现该农场有一款“9A20”的主打产品,该产品按盒销售,每盒20颗,售价80元,客户在收到货时如果有坏果,每一个坏果该农场要赔付4元.根据收集到的数据:
若采用A款包装盒,成本元,且每盒出现坏果个数满足
若采用B款包装盒,成本元,且每盒出现坏果个数满足
请运用概率统计的相关知识分析,选择哪款包装盒可以获得更大利润?
参考数据:
21.(本小题满分12分)设点是双曲线的右焦点,过点的直线交双曲线的右支于点,分别交两条渐近线于点点在第一象限,当轴时,
(1)求双曲线的标准方程;
(2)若求直线的斜率.
22.(本小题满分12分)若函数有两个零点.
(1)求证:
相关试卷
这是一份湖北省武汉市华中师范大学第一附属中学2023-2024学年高三上学期数学独立作业(4)(Word版含解析),文件包含华师一附中2024届高三数学独立作业4答案pdf、湖北省武汉市华中师范大学第一附属中学2023-2024学年高三上学期数学独立作业4docx等2份试卷配套教学资源,其中试卷共23页, 欢迎下载使用。
这是一份湖北省武汉市华中师范大学第一附属中学2023-2024学年高三上学期数学独立作业(5)(Word版含解析),文件包含华师一附中2024届高三数学独立作业5答案pdf、湖北省武汉市华中师范大学第一附属中学2023-2024学年高三上学期数学独立作业5docx等2份试卷配套教学资源,其中试卷共14页, 欢迎下载使用。
这是一份湖北省武汉市华中师范大学第一附属中学2023-2024学年高三上学期数学独立作业(9)(Word版含解析),文件包含华师一附中2024届高三数学独立作业9答案pdf、湖北省武汉市华中师范大学第一附属中学2023-2024学年高三上学期数学独立作业9docx等2份试卷配套教学资源,其中试卷共21页, 欢迎下载使用。

