资料中包含下列文件,点击文件名可预览资料内容
还剩3页未读,
继续阅读
所属成套资源:2024汕头金山中学高一上学期期末考试及答案(九科)
成套系列资料,整套一键下载
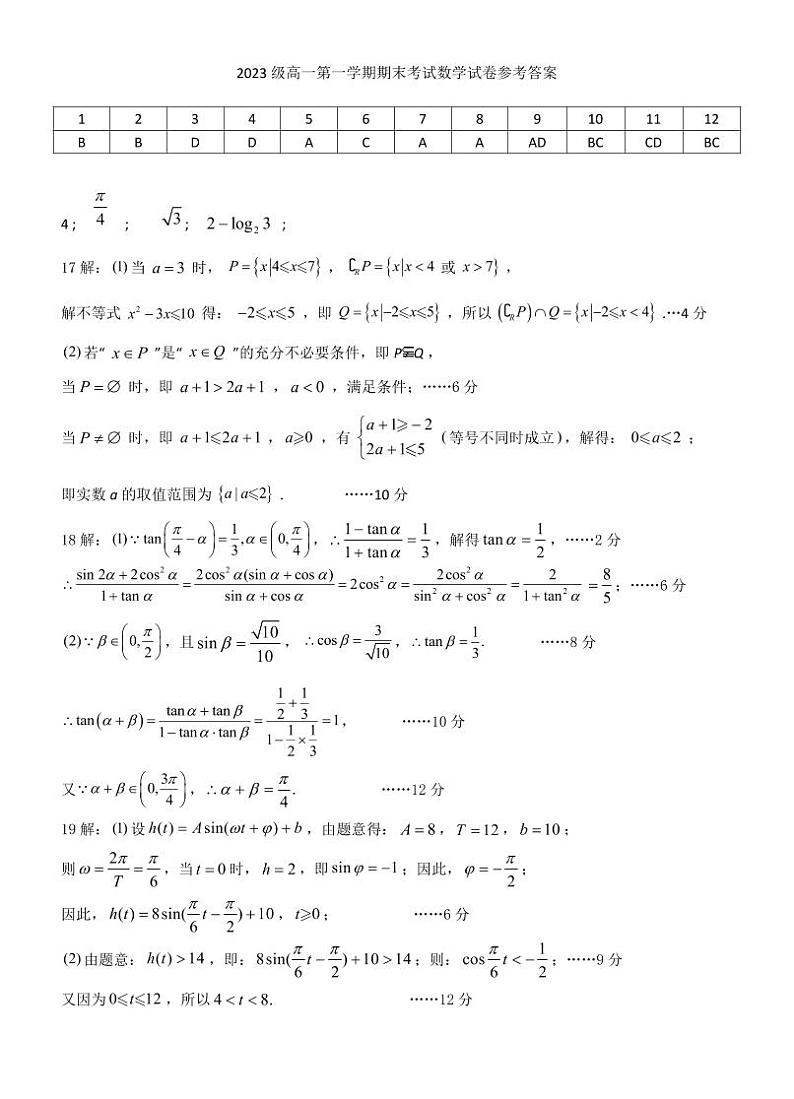
2024汕头金山中学高一上学期期末考试数学PDF版含答案、答题卡(可编辑)
展开
这是一份2024汕头金山中学高一上学期期末考试数学PDF版含答案、答题卡(可编辑),文件包含2023级高一第一学期期末考试数学科答题卡pdf、高一第一学期期末考试数学试卷pdf、2023级金中高一上学期期末考试数学试卷参考答案pdf等3份试卷配套教学资源,其中试卷共13页, 欢迎下载使用。
相关试卷
2024汕头金山中学高二上学期期末考试数学含答案、答题卡:
这是一份2024汕头金山中学高二上学期期末考试数学含答案、答题卡,文件包含2022级高二第一学期期末考试数学试卷及详解docx、2022级高二第一学期期末考试数学答题卡pdf、2022级高二第一学期期末考试数学试卷doc等3份试卷配套教学资源,其中试卷共24页, 欢迎下载使用。
2024汕头金山中学高一上学期10月阶段考试数学含答案、答题卡:
这是一份2024汕头金山中学高一上学期10月阶段考试数学含答案、答题卡,文件包含汕头金山中学2023级高一摸底考试数学科答题卡pdf、高一数学摸底考试题docx、高一数学摸底考试答案docx等3份试卷配套教学资源,其中试卷共11页, 欢迎下载使用。
2024汕头金山中学高二上学期期中考试数学含答案、答题卡:
这是一份2024汕头金山中学高二上学期期中考试数学含答案、答题卡,文件包含2022级高二第一学期期中考考试数学科试卷docx、2022级高二第一学期期中考试数学科答题卡pdf等2份试卷配套教学资源,其中试卷共23页, 欢迎下载使用。

