所属成套资源:备战2024年新高考数学之圆锥曲线专项高分突破(新高考专用)
专题23 圆锥曲线与内心问题-备战2024年新高考数学之圆锥曲线专项高分突破(新高考专用)
展开这是一份专题23 圆锥曲线与内心问题-备战2024年新高考数学之圆锥曲线专项高分突破(新高考专用),文件包含专题23圆锥曲线与内心问题原卷版docx、专题23圆锥曲线与内心问题解析版docx等2份试卷配套教学资源,其中试卷共29页, 欢迎下载使用。
一、单选题:本大题共8小题,每个小题5分,共40分.在每小题给出的选项中,只有一项是符合题目要求的.
1.已知点,分别是椭圆:的左、右焦点,点P是椭圆E上的一点,若的内心是G,且,则椭圆E的离心率为( )
A.B.C.D.
2.已知、是椭圆的左右焦点,点为上一动点,且 ,若为的内心,则面积的取值范围是( )
A.B.C.D.
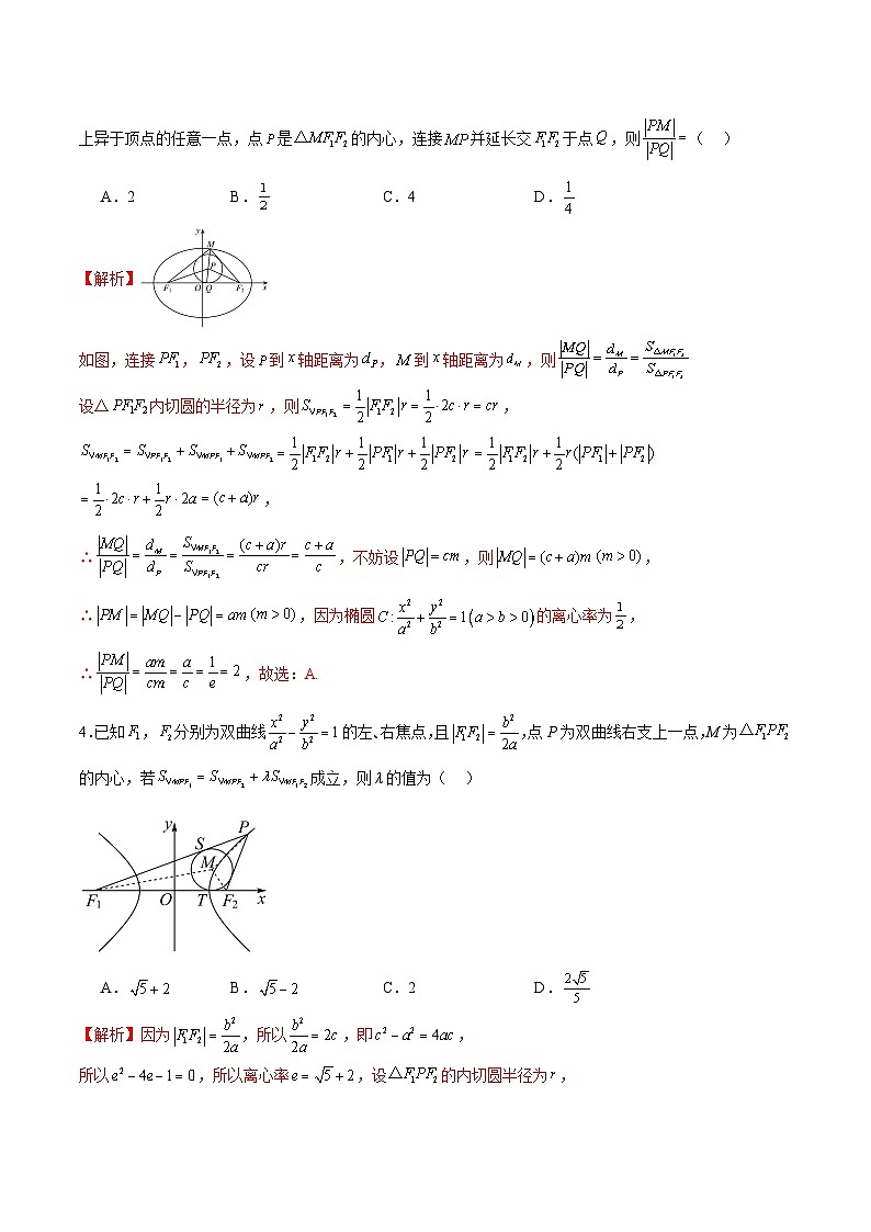
3.若椭圆的离心率为,两个焦点分别为,,为椭圆上异于顶点的任意一点,点是的内心,连接并延长交于点,则( )
A.2B.C.4D.
4.已知,分别为双曲线的左、右焦点,且,点P为双曲线右支上一点,M为的内心,若成立,则λ的值为( )
A.B.C.2D.
5.已知双曲线()的左、右焦点分别为为双曲线上的一点,为的内心,且,则的离心率为( )
A.B.C.D.
6.已知双曲线的左、右焦点分别为,离心率为2,焦点到渐近线的距离为.过作直线交双曲线的右支于两点,若分别为与的内心,则的取值范围为( )
A.B.C.D.
7.设为椭圆上的动点,为椭圆的焦点,为的内心,则直线和直线的斜率之积( )
A.是定值B.非定值,但存在最大值
C.非定值,但存在最小值D.非定值,且不存在最值
8.已知双曲线的左、右焦点分别为,过右焦点的直线与双曲线的右支交于两点,若的内心分别为,则与面积之和的取值范围是( )
A.B.C.D.
二、多选题:本大题共4小题,每个小题5分,共20分.在每小题给出的选项中,只有一项或者多项是符合题目要求的.
9.已知,分别为双曲线的左、右焦点,M为C的右顶点,过的直线与C的右支交于A,B两点(其中点A在第一象限),设点P,Q分别为,的内心,R,r分别为,内切圆的半径,则( )
A.点M在直线PQ上B.点M在直线PQ的左侧
C.D.
10.已知椭圆:的左、右焦点分别为,右顶点为A,点M为椭圆上一点,点I是的内心,延长MI交线段于N,抛物线(其中c为椭圆下的半焦距)与椭圆交于B,C两点,若四边形是菱形,则下列结论正确的是( )
A.B.椭圆的离心率是
C.的最小值为D.的值为
11.已知双曲线的左、右顶点分别为,,左、右焦点分别为,,点是双曲线的右支上一点,且三角形为正三角形(为坐标原点),记,的斜率分别为,,设为的内心,记,,的面积分别为,,,则下列说法正确的是( )
A.B.双曲线的离心率为
C.D.
12.已知,分别是双曲线的左、右焦点,过且倾斜角为的直线交双曲线C的右支于A,B两点,I为的内心,O为坐标原点,则下列结论成立的是( )
A.若C的离心率,则的取值范围是
B.若且,则C的离心率
C.若C的离心率,则
D.过作,垂足为P,若I的横坐标为m,则
三、填空题:本大题共4小题,每小题5分,共20分.把答案填在答题卡中的横线上.
13.已知双曲线的中心在原点,右顶点为,点在双曲线的右支上,点到直线的距离为1.当时, 的内心恰好是点,则双曲线的方程 .
14.已知双曲线的左、右焦点分别为,,P是C在第一象限上的一点,且直线的斜率为,点B为的内心,直线PB交x轴于点A,且,则双曲线C的渐近线方程为 .
15.已知双曲线的左、右焦点分别为,,M是双曲线C右支上一点,记的重心为G,内心为I.若,则双曲线C的离心率为 .
16.已知,分别为椭圆的左、右焦点,点在椭圆上,点为的内心,若,则的面积为 .
四、解答题:本大题共6小题,共70分.解答应写出必要的文字说明、证明过程或演算步骤.
17.已知椭圆的左、右焦点分别为,其离心率是,为椭圆上异于长轴端点的一点,,设的内心为,且.
(Ⅰ)求椭圆的方程;
(Ⅱ)已知直线过定点,若椭圆上存在两点关于直线对称,求直线斜率的取值范围.
18.已知椭圆C:,直线与以原点为圆心,以椭圆C的短半轴长为半径的圆相切,为其左、右焦点,P为椭圆C上任一点,的重心为G,内心为I,且.
(1)求椭圆C的方程;
(2)若直线与椭圆C交于不同的两点A、B,且线段AB的垂直平分线过定点,求实数k的取值范围.
19.已知是圆:上的动点,点,直线与圆的另一个交点为,点在直线上,,动点的轨迹为曲线.
(1)求曲线的方程;
(2)若过点的直线与曲线相交于,两点,且,都在轴上方,问:在轴上是否存在定点,使得的内心在一条定直线上?请你给出结论并证明.
20.已知椭圆,直线与以原点为圆心,以椭圆的短半轴为半径的圆相切,为其左右焦点,为椭圆上的任意一点,的重心为,内心为,且,
(Ⅰ)求椭圆的方程;
(Ⅱ)已知为椭圆上的左顶点,直线过右焦点与椭圆交于两点,若的斜率满足,求直线的方程.
21.已知点是双曲线的左、右焦点,是右支上一点,的周长为,为的内心,且满足.
(1)求双曲线的标准方程;
(2)过的直线与双曲线的右支交于两点,与轴交于点,满足(其中),求的取值范围.
22.已知椭圆的右焦点为,点A,B在椭圆C上,点到直线的距离为,且的内心恰好是点D.
(1)求椭圆C的标准方程;
(2)已知O为坐标原点,M,N为椭圆上不重合两点,且M,N的中点H在直线上,求面积的最大值.
相关试卷
这是一份专题34 圆锥曲线中的综合问题-备战2024年新高考数学之圆锥曲线专项高分突破(新高考专用),文件包含专题34圆锥曲线中的综合问题原卷版docx、专题34圆锥曲线中的综合问题解析版docx等2份试卷配套教学资源,其中试卷共28页, 欢迎下载使用。
这是一份专题32 圆锥曲线中的轨迹问题-备战2024年新高考数学之圆锥曲线专项高分突破(新高考专用),文件包含专题32圆锥曲线中的轨迹问题原卷版docx、专题32圆锥曲线中的轨迹问题解析版docx等2份试卷配套教学资源,其中试卷共22页, 欢迎下载使用。
这是一份专题29 圆锥曲线中的定点问题-备战2024年新高考数学之圆锥曲线专项高分突破(新高考专用),文件包含专题29圆锥曲线中的定点问题原卷版docx、专题29圆锥曲线中的定点问题解析版docx等2份试卷配套教学资源,其中试卷共25页, 欢迎下载使用。

