2024年高考数学重难点突破讲义:2023新高考II卷
展开单项选择题:本题共8小题,每小题5分,共40分.在每小题给出的四个选项中,只有一项是符合题目要求的.
1.在复平面内,对应的点位于( )
A. 第一象限 B. 第二象限 C. 第三象限 D. 第四象限
【解析】,对应的点在第一象限.故选A.
2.设集合,若,则( )
A. B. 1 C. D.
【解析】因为,所以必有或,解得或.
当时,,不满足;
当时,,符合题意.所以.故选B.
3.某学校为了解学生参加体育运动的情况,用比例分配的分层随机抽样方法做抽样调查,拟从初中部和高中部两层共抽取60名学生.已知该校初中部和高中部分别有400名和200名学生,则不同的抽样结果共有( )
A.种 B.种 C.种 D.种
【解析】按初中部和高中部学生人数比例分层抽样可知,从高中部抽40人,初中部抽20人,分步完成.由乘法原理得不同的抽样有.故选D.
4.若为偶函数,则( )
A. B. 0 C. D.
【解析】,
则.
因为为偶函数,所以,
即,
所以有,得.故选B.
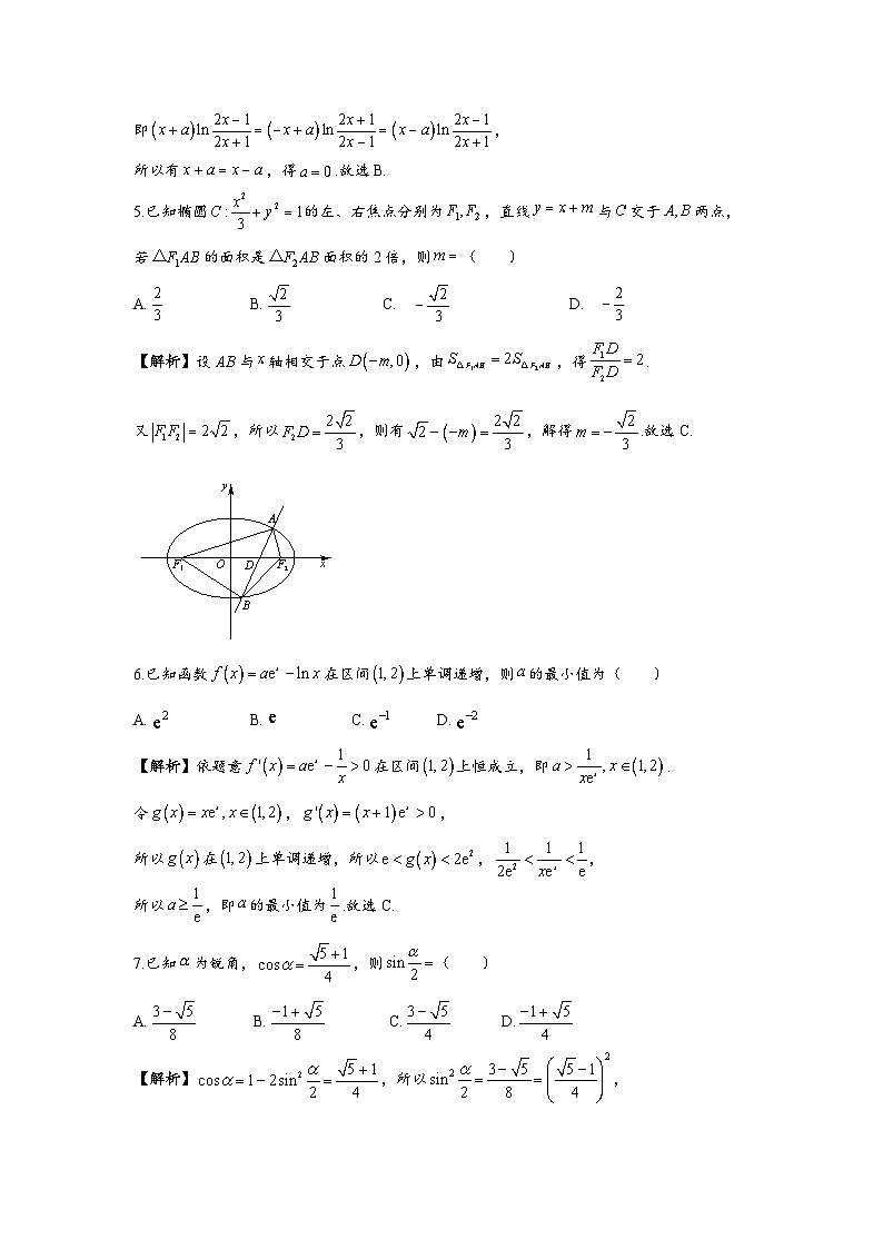
5.已知椭圆的左、右焦点分别为,直线与交于两点,若的面积是面积的2倍,则( )
A. B. C. D.
【解析】设与轴相交于点,由,得.
又,所以,则有,解得.故选C.
6.已知函数在区间上单调递增,则的最小值为( )
A. B. C. D.
【解析】依题意在区间上恒成立,即.
令,,
所以在上单调递增,所以,,
所以,即的最小值为.故选C.
7.已知为锐角,,则( )
A. B. C. D.
【解析】,所以,
则或.
因为为锐角,所以,舍去,得.故选D.
8.记为等比数列的前项和,若,,则=( )
A.120 B.85 C. D.
【解析】由,得,即,
解得或(舍),则.
因为,所以.故选C.
二、多项选择题:本小题共4小题,每小题5分,共20分.在每小题给出的选项中,有多项符合题目要求.全部选对的得5分,部分选对的得3分,不选或有选错的得0分.
9.已知圆锥的顶点为,底面圆心为,为底面直径,,,点在底面圆周上,且二面角为,则( )
A. 该圆锥体积为 B. 该圆锥侧面积为
C. D. 的面积为
【解析】如图所示,取的中点,连接,,则,又,
所以,所以为二面角的平面角,即,则.
依题意,,,所以底面圆半径,圆锥高.
,A正确;
,B错误;
在中,,,所以,
,C正确;
,D错误.
综上,故选AC.
10.设为坐标原点,直线过抛物线的焦点,且与交于两点,为的准线,则( )
A. B.
C.以为直径的圆与相切 D.为等腰三角形
【解析】由题意可得焦点为,所以,,A正确;
联立,消得.
设,由韦达定理得,
所以,B错误;
设的中点为,分别过向作垂线,垂足分别为,
由梯形中位线性质及抛物线定义可得,
,所以以为直径的圆与准线相切,C正确;
由上述解题过程知,,解得,
从而,易得,不是等腰三角形,D错误.综上,故选AC.
11.若函数既有极大值也有极小值,则( )
A. B. C. D.
【解析】. 令,
若在上既有极大值也有极小值,
则在上有2个变号零点,即(必要条件).
令,则,得 = 1 \* GB3 \* MERGEFORMAT ①, ,得 = 2 \* GB3 \* MERGEFORMAT ②
因此,得.
综上,故选BCD.
12.在信道内传输信号,信号的传输相互独立,发送时,收到的概率为,收到的概率为;发送时,收到的概率为,收到的概率为.考虑两种传输方案:单次传输和三次传输.单次传输是指每个信号只发送一次,三次传输是指每个信号重复发送3次.收到的信号需要译码,译码规则如下:单次传输时,收到的信号即为译码;三次传输时,收到的信号中出现次数多的即为译码.(例如,若依次收到,则译码为).
A. 采用单次传输方案,若依次发送,则依次收到的概率为
B. 采用三次传输方案,若发送,则依次收到的概率为
C. 采用三次传输方案,若发送,则译码为的概率为
D. 当时,若发送,则采用三次传输方案译码为的概率大于采用单次传输方案译码为的概率
【解析】A选项:,A正确;
B选项:,B正确;
C选项:,C不正确;
D选项:采用三次传输方案译码为的概率,
采用一次传输方案译码为的概率.
当时,,即,D正确.
综上,故选ABD.
第Ⅱ卷
本卷包括必考题和选考题两部分.第13~21题为必考题,每个试题考生都必须作答.第22、23题为选考题,考生根据要求作答.
三、填空题:本题共4小题,每小题5分,共20分.
13.已知向量满足,,则______.
【解析】解法一(向量运算):因为,所以 = 1 \* GB3 \* MERGEFORMAT ①
因为,所以,
化简得,代入 = 1 \* GB3 \* MERGEFORMAT ①得,.
解法二(向量运算加减几何意义):
如图所示,,,所以,
所以四边形为等腰梯形,则.
即.
14.底面边长为的正四棱锥被一个平行于底面的平面所截,截去一个底面边长为2,高为3的正四棱锥,则所得棱台的体积为_________.
【解析】设原正四棱锥的体积为,高为,截取的正四棱锥的体积为,高为,依题意可得,
所以.
15.已知直线与圆交于两点,写出满足“”的m的一个值______.
【解析】由题意可知,直线恒过点,此点同时为圆与轴负半轴的交点.
又圆心,则,所以,
解得,或.
所以满足条件的点可以为,
代入直线方程得或或或.
16.已知函数,如图所示,A,B是直线与曲线的两个交点,若,则_______.
【解析】的图象与直线两个相邻交点的最近距离为,占周期的,所以,解得,所以.
再将代入得的一个值为,即.
所以.
四、解答题:本题共6小题,共70分.解答应写出文字说明、证明过程或演算步骤.
17.记的内角的对边分别为,已知的面积为,为的中点,且.
若,求;
若,求.
【解析】(1)依题意,,
,解得,.
如图所示,过点作于点.因为,所以,,
则,所以.
(2)设,,由极化恒等式得,
即,化简得,
即 = 1 \* GB3 \* MERGEFORMAT ①,
又,即 = 2 \* GB3 \* MERGEFORMAT ②.
得,得,
代入 = 1 \* GB3 \* MERGEFORMAT ①得,与联立可得.
已知为等差数列,.记,分别为,的前项和.若,.
(1)求的通项公式;
(2)求证:当时,.
【解析】(1)为等差数列,设公差为.
,所以 = 1 \* GB3 \* MERGEFORMAT ①,
又,所以可得 = 2 \* GB3 \* MERGEFORMAT ②,
联立 = 1 \* GB3 \* MERGEFORMAT ① = 2 \* GB3 \* MERGEFORMAT ②解得,所以,.
(2)由(1)得.
当为偶数时,
.
当时,,
即.
当为奇数时,为偶数,
.
当时,,
即.
综上所述,当时,.
某研究小组经过研究发现,某种疾病的患病者与未患病者的某项医学指标有明显差异,经过大量调查,得到如下的患病者和未患病者该指标的频率分布直方图.
图1 图2
利用该指标制定一个检测标准,需要确定临界值,将该指标大于的人判定为阳性,小于或等于的人判定为阴性.此检测标准的漏诊率是将患病者判定为阴性的概率,记为,误诊率是将未患病者判定为阳性的概率,记为.假设数据在组内均匀分布,以事件发生的频率作为相应事件发生的概率.
(1)当漏诊率时,求临近值和误诊率;
(2)设函数,当时,求的解析式,并求在区间的最小值.
【解析】(1)漏诊率为,即有的患者指标在以下,
由图1可知,,且数据在组内均匀分布,故临界值为,即. 依题意,误诊率即未患病者指标超过97.5的概率,由图2可知,
.
(2)当时,
,
,
.
当时,
,
,
.
,
故在单调递减,在单调递增,的最小值在处取得,
即当时,取到最小值.
20.如图所示,在三棱锥中,,,,
为的中点.
(1)求证:;
(2)点满足,求二面角的正弦值.
【解析】(1)如图所示,连接,因为,,
所以,所以.
因为为中点,所以. 又,所以,.
又,所以平面,所以.
(2)设,
由,可知都为等边三角形,
所以.又,所以,
所以,则为直角三角形,且,
所以,,.
又,,所以平面.
分别以为轴建立空间直角坐标系,如图所示.
则,,,,
设,则,所以.
.设平面的法向量为,
则,可得.
又.设平面的法向量为,
则,可得.
所以.
所以二面角的正弦值为.
21.已知双曲线的中心为坐标原点,左焦点为,离心率为.
求的方程;
记的左、右顶点分别为,,过点的直线与的左支交于,两点,在第二象限,直线与交于点,求证:点在定直线上.
【解析】(1)设双曲线方程为,且.
又,得,因为,所以,
因此双曲线的方程为.
(2)(设点设线).设,.
由(1)可得,,则,.
联立的方程,消得,
即.
联立的方程与双曲线,得
,消得,
即.
由韦达定理
(非对称结构处理).
,
则,得.
因此点在定直线上.
22.(1)证明:当时,;
(2)已知函数,若是的极大值点,求的取值范围.
【解析】(1)设,,则,
,函数在上单调递减,则,
所以.
设,则,,.
,在上单调递减,则,
所以在上单调递减,因此,所以.
综上,当时,.
本题还可以让学生证明,对于任意,(泰勒展开).
(2)由题意得,的定义域为,
.
,所以为奇函数.
又0是的极大值点,则,显然成立,
且,当,单调递增;
当,单调递减.
又,
,得或.
(接下来严格证明其合理性及其反面得矛盾性).
(a)因为是奇函数,若,当时,
显然有.
易知在上单调递增,而,,
故而必存在一点使得.
且当时,,函数单调递减.
又是奇函数,所以当时,,函数单调递增.
此时是的极大值点.
(b)若,当时,,所以,
显然有,.
易知当时,.
再由是奇函数知,此时是的极大值点.
综上,当时符合题意.
(c)而如若,因在时单调递增,从而有,
此时单调递增,显然不符合题意.
综上所述,当时,是的极大值点.
2024年高考数学重难点突破讲义:2023新高考I卷: 这是一份2024年高考数学重难点突破讲义:2023新高考I卷,共19页。试卷主要包含了设椭圆,的离心率分别为,,记为数列的前项和,设甲,已知,,则等内容,欢迎下载使用。
2024年高考数学重难点突破讲义:2023全国乙卷(文): 这是一份2024年高考数学重难点突破讲义:2023全国乙卷(文),共18页。试卷主要包含了已知是偶函数,则,正方形的边长是2,是的中点,则等内容,欢迎下载使用。
2024年高考数学重难点突破讲义:2023全国甲卷(文): 这是一份2024年高考数学重难点突破讲义:2023全国甲卷(文),共17页。试卷主要包含了记为等差数列的前项和.若,,则, 曲线在点处的切线方程为等内容,欢迎下载使用。

