

46,贵州省黔西南布依族苗族自治州2023-2024学年高二上学期1月期末考试数学试题(无答案)
展开
这是一份46,贵州省黔西南布依族苗族自治州2023-2024学年高二上学期1月期末考试数学试题(无答案),共5页。试卷主要包含了答题前,考生务必用直径0,已知命题,下列运算正确的是,关于函数,下列说法正确的是等内容,欢迎下载使用。
高一数学
(本试题共4页,共四大部分,满分150分,考试时间为120分钟)
考生注意:
1.答题前,考生务必用直径0.5毫米黑色墨水签字笔将密封线内项目填写清楚.
2.考生作答时,请将答案答在答题卡上.选择题每小题选出答案后,用2B铅笔把答题卡上对应题目的答案标号涂黑;非选择题请用直径0.5毫米黑色墨水签字笔在答题卡上各题的答题区域内作答,超出答题区域书写的答案无效,在试题卷、草稿纸上作答无效.
一、单选题:每小题5分,共8个小题,合计40分,在每小题给出的四个选项中,只有一项是符合要求的.
1.已知集合,集合,下列表述正确的是( )
A.B.C.D.
2.下列命题中真命题是( )
A.若,则B.若,则
C.若,则D.若,,则
3.下列函数中,既是偶函数,又在区间上单调递增的函数是( )
A.B.C.D.
4.在平面直角坐标系中,角以轴的正半轴为始边,终边经过点,则的值是( )
A.B.C.D.
5.已知命题:,,那么是( )
A.,B.,
C.,D.,
6.关于的方程有两个不相等的实数根的充要条件是( )
A.或B.或C.D.
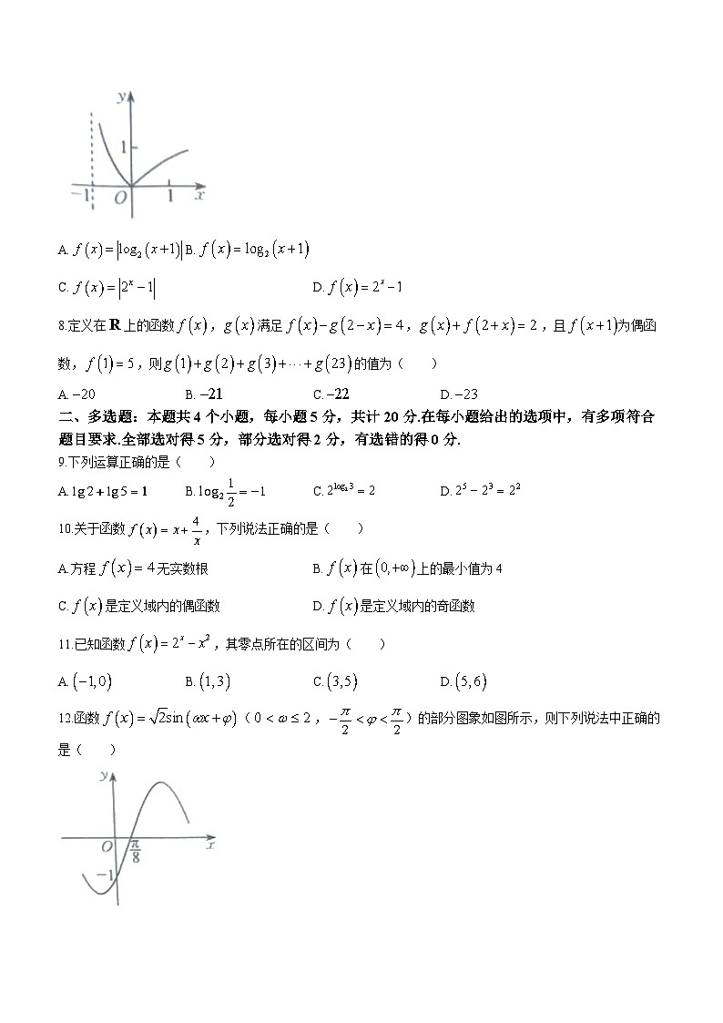
7.函数的图象如图所示,则的解析式可能是( )
A.B.
C.D.
8.定义在上的函数,满足,,且为偶函数,,则的值为( )
A.B.C.D.
二、多选题:本题共4个小题,每小题5分,共计20分.在每小题给出的选项中,有多项符合题目要求.全部选对得5分,部分选对得2分,有选错的得0分.
9.下列运算正确的是( )
A.B.C.D.
10.关于函数,下列说法正确的是( )
A.方程无实数根B.在上的最小值为4
C.是定义域内的偶函数D.是定义域内的奇函数
11.已知函数,其零点所在的区间为( )
A.B.C.D.
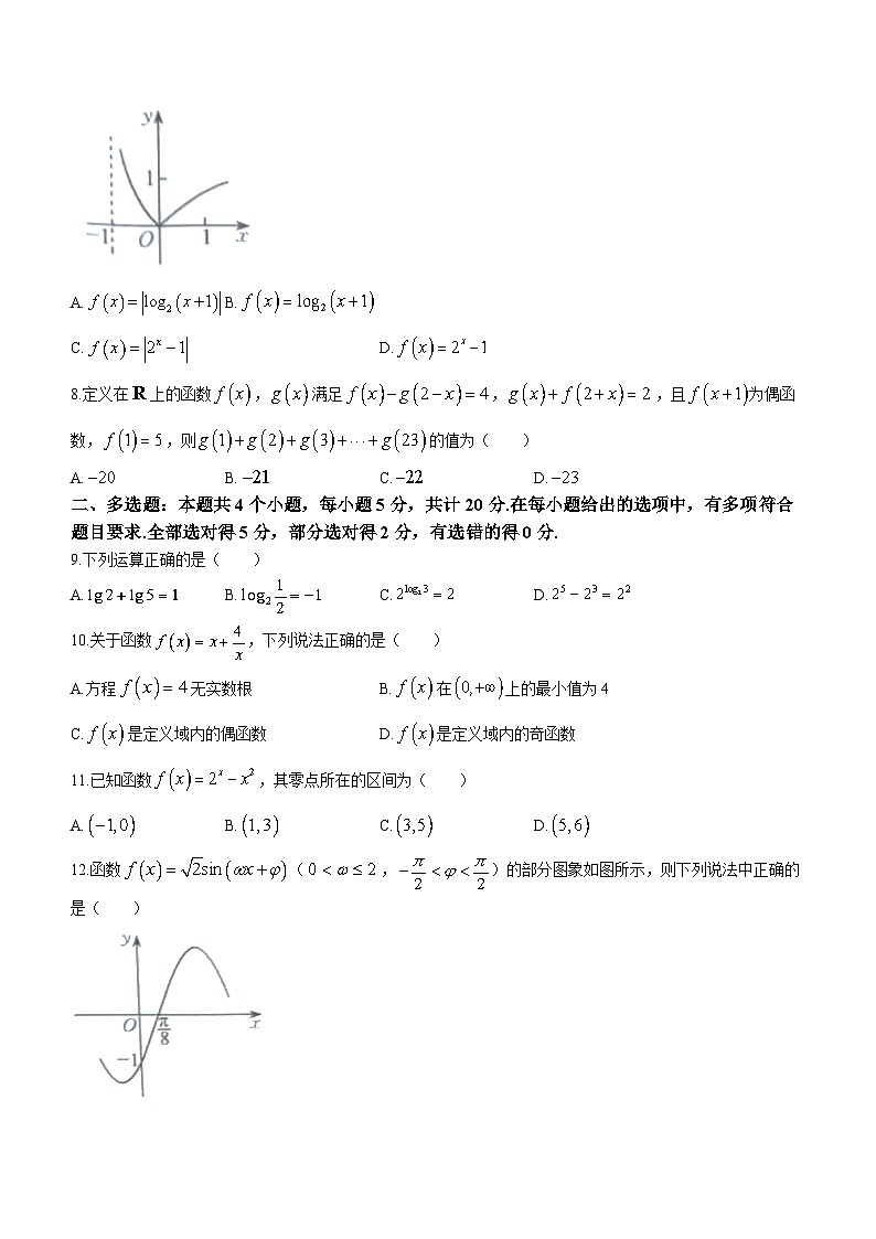
12.函数(,)的部分图象如图所示,则下列说法中正确的是( )
A.的表达式可以写成
B.的图象关于直线对称
C.在区间上单调递增
D.若方程在上有且只有6个根,则
三、填空题:本题共4个小题,每小题5分,共计20分.
13.已知幂函数恒过定点,则函数的解析式为______.
14.已知,且为第一象限角,则的值为______.
15.“数摺聚清风,一捻生秋意”是宋朝朱翌描写折扇的诗句,折扇出人怀袖,扇面书画,扇骨雕琢,是文人雅士的宠物,所以有“怀袖雅物”的别号.当折扇所在扇形的圆心角为时,折扇的外观看上去是比较美观的,若此扇形的半径为3,则其面积为______.
16.已知函数,若在区间内任意两个实数,(),都有恒成立,则实数的取值范围为______.
四、解答题:本题共6个题,解答应写出文字说明、证明过程或演算步骤.其中17题10分,其余每小题12分,合计70分.
17.(本小题满分10分)
已知全集,集合,集合.
(1)求;
(2)求.
18.(本小题满分12分)
(1)已知函数,求证:;
(2)已知函数在区间上具有单调性,求实数的取值范围.
19.(本小题满分12分)
已知函数.
(1)求函数的最小正周期;
(2)若将函数的图象上各点的横坐标变为原来的,纵坐标不变,得到函数,当时,求的解集.
20.(本小题满分12分)
已知函数.(e为无理数,
(1)若函数为奇函数,求参数的值;
(2)在(1)的条件下,求函数在上的最大值与最小值之和.
21.(本小题满分12分)
如图①,筒车是我国古代发明的一种水利灌溉工具,因其经济又环保,至今在农业生产中仍得到使用.如图②,一个筒车按照逆时针方向旋转,筒车上的某个盛水筒到水面的距离为(单位:)(在水下则为负数),与时间(单位:)之间的关系是.
图(1) 图(2)
(1)盛水筒旋转一周需要多少秒?盛水筒出水后至少经过多少秒就可以达到最高点;
(2)当时,判断盛水筒的运动状态(处于向上运动状态、处于向下的运动状态),并说明理由.
22.(本小题满分12分)
已知函数
(1)若,求的值;
(2)若函数有5个零点,求实数的取值范围.
相关试卷
这是一份河北省正定中学2023-2024学年高二上学期期末考试数学试题(无答案),共4页。试卷主要包含了考试结束后,将答题卡交回等内容,欢迎下载使用。
这是一份46,云南省昆明市官渡区2023-2024学年高一上学期1月期末数学试题(无答案),共6页。试卷主要包含了本卷为试题卷,已知函数,下列说法正确的是,下列说法正确的是,设,则的大小关系为等内容,欢迎下载使用。
这是一份2023-2024学年贵州省高二上学期12月月考数学试题含答案,共16页。试卷主要包含了单选题,多选题,填空题,解答题等内容,欢迎下载使用。
