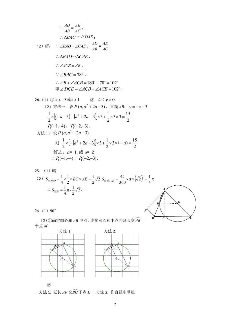
江苏省扬州市江都区2023-2024学年九年级第一学期数学期末试卷
展开江苏省扬州市江都区2023-2024学年七年级上学期数学期末试卷+: 这是一份江苏省扬州市江都区2023-2024学年七年级上学期数学期末试卷+,文件包含七年级数学试卷pdf、七年级数学答案docx、七年级数学答题卡pdf等3份试卷配套教学资源,其中试卷共10页, 欢迎下载使用。
江苏省扬州市江都区2023-2024学年八年级上学期数学期末试卷+: 这是一份江苏省扬州市江都区2023-2024学年八年级上学期数学期末试卷+,文件包含八年级数学试题pdf、八年级数学答题卡pdf、八年级数学答案及评分标准终稿docx等3份试卷配套教学资源,其中试卷共7页, 欢迎下载使用。
江苏省扬州市江都区江都实验中学2023-2024学年九年级数学第一学期期末综合测试模拟试题含答案: 这是一份江苏省扬州市江都区江都实验中学2023-2024学年九年级数学第一学期期末综合测试模拟试题含答案,共8页。

