2023-2024学年广东省江门市江海区九上数学期末复习检测试题含答案
展开
这是一份2023-2024学年广东省江门市江海区九上数学期末复习检测试题含答案,共8页。试卷主要包含了考生必须保证答题卡的整洁,下列方程中是一元二次方程的是等内容,欢迎下载使用。
学校_______ 年级_______ 姓名_______
考生请注意:
1.答题前请将考场、试室号、座位号、考生号、姓名写在试卷密封线内,不得在试卷上作任何标记。
2.第一部分选择题每小题选出答案后,需将答案写在试卷指定的括号内,第二部分非选择题答案写在试卷题目指定的位置上。
3.考生必须保证答题卡的整洁。考试结束后,请将本试卷和答题卡一并交回。
一、选择题(每题4分,共48分)
1.二次函数y=x2+4x+3的图象可以由二次函数y=x2的图象平移而得到,下列平移正确的是( )
A.先向左平移2个单位,再先向上平移1个单位
B.先向左平移2个单位,再先向下平移1个单位
C.先向右平移2个单位,再先向上平移1个单位
D.先向右平移2个单位,再先向下平移1个单位
2.m是方程的一个根,且,则 的值为( )
A.B.1C.D.
3.如图,BC是的直径,A,D是上的两点,连接AB,AD,BD,若,则的度数是( )
A.B.C.D.
4.现实世界中对称现象无处不在,汉字中也有些具有对称性,下列美术字是轴对称图形的是( )
A.处B.国C.敬D.王
5.八年级某同学6次数学小测验的成绩分别为:80分,85分,95分,95分,95分,100分,则该同学这6次成绩的众数和中位数分别是( )
A.95分,95分B.95分,90分C.90分,95分D.95分,85分
6.如图,为⊙O的直径,弦于,则下面结论中不一定成立的是( )
A.B.
C.D.
7.如图,在△ABO中,∠B=90º ,OB=3,OA=5,以AO上一点P为圆心,PO长为半径的圆恰好与AB相切于点C,则下列结论正确的是( ).
A.⊙P 的半径为
B.经过A,O,B三点的抛物线的函数表达式是
C.点(3,2)在经过A,O,B三点的抛物线上
D.经过A,O,C三点的抛物线的函数表达式是
8.将抛物线通过一次平移可得到抛物线.对这一平移过程描述正确的是( )
A.沿x轴向右平移3个单位长度B.沿x轴向左平移3个单位长度
C.沿y轴向上平移3个单位长度D.沿y轴向下平移3个单位长度
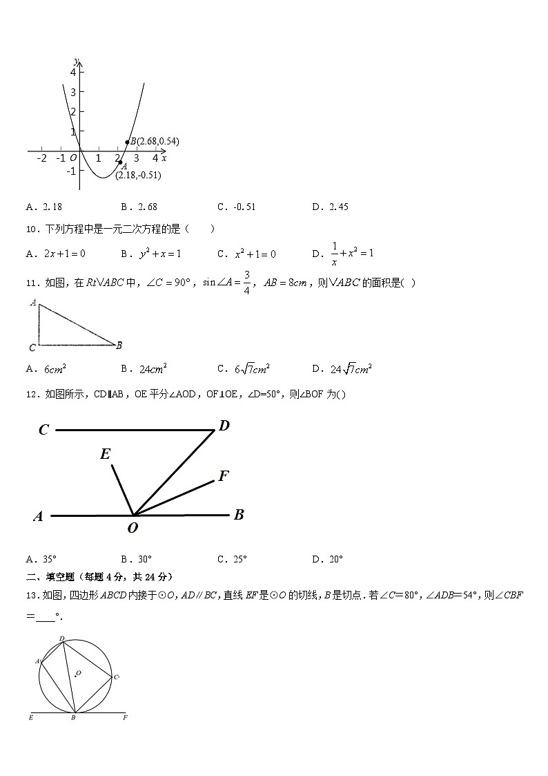
9.如图,点在二次函数的图象上,则方程解的一个近似值可能是( )
A.2.18B.2.68C.-0.51D.2.45
10.下列方程中是一元二次方程的是( )
A.B.C.D.
11.如图,在中,,,,则的面积是( )
A.B.C.D.
12.如图所示,CD∥AB,OE平分∠AOD,OF⊥OE,∠D=50°,则∠BOF为( )
A.35°B.30°C.25°D.20°
二、填空题(每题4分,共24分)
13.如图,四边形ABCD内接于⊙O,AD∥BC,直线EF是⊙O的切线,B是切点.若∠C=80°,∠ADB=54°,则∠CBF=____°.
14.二次函数y=ax1+bx+c(a≠2)的部分图象如图,图象过点(﹣1,2),对称轴为直线x=1.下列结论:①4a+b=2;②9a+c>3b;③当x>﹣1时,y的值随x值的增大而增大;④当函数值y<2时,自变量x的取值范围是x<﹣1或x>5;⑤8a+7b+1c>2.其中正确的结论是_____.
15.如图,在一笔直的海岸线l上有A,B两个观测站,AB=2km,从A测得灯塔P在北偏东60°的方向,从B测得灯塔P在北偏东45°的方向,则灯塔P到海岸线l的距离为_____km.
16.点A(-1,m)和点B(-2,n)都在抛物线上,则m与n的大小关系为m______n(填“”或“”).
17.如图,在以O为原点的直角坐标系中,矩形OABC的两边OC、OA分别在x轴、y轴的正半轴上,反比例函数y=(x>0)的图象与AB相交于点D.与BC相交于点E,且BD=3,AD=6,△ODE的面积为15,若动点P在x轴上,则PD+PE的最小值是_____.
18.函数是关于的二次函数,且抛物线的开口向上,则的值为____________.
三、解答题(共78分)
19.(8分)如图,抛物线y1=a(x﹣1)2+4与x轴交于A(﹣1,0).
(1)求该抛物线所表示的二次函数的表达式;
(2)一次函数y2=x+1的图象与抛物线相交于A,C两点,过点C作CB垂直于x轴于点B,求△ABC的面积.
20.(8分)作图题:⊙O上有三个点A,B,C,∠BAC=70°,请画出要求的角,并标注.
(1)画一个140°的圆心角;(2)画一个110°的圆周角;(3)画一个20°的圆周角.
21.(8分)已知抛物线.
(1)当,时,求抛物线与轴的交点个数;
(2)当时,判断抛物线的顶点能否落在第四象限,并说明理由;
(3)当时,过点的抛物线中,将其中两条抛物线的顶点分别记为,,若点,的横坐标分别是,,且点在第三象限.以线段为直径作圆,设该圆的面积为,求的取值范围.
22.(10分)如图正方形ABCD中,E是BC边的中点,AE与BD相交于F点,△DEF的面积是1,求正方形ABCD的面积.
23.(10分)在平面直角坐标系中,抛物线:沿轴翻折得到抛物线.
(1)求抛物线的顶点坐标;
(2)横、纵坐标都是整数的点叫做整点.
① 当时,求抛物线和围成的封闭区域内(包括边界)整点的个数;
② 如果抛物线C1和C2围成的封闭区域内(包括边界)恰有个整点,求m取值范围.
24.(10分)如图,对称轴是的抛物线与轴交于两点,与轴交于点,
求抛物线的函数表达式;
若点是直线下方的抛物线上的动点,求的面积的最大值;
若点在抛物线对称轴左侧的抛物线上运动,过点作铀于点,交直线于点,且,求点的坐标;
在对称轴上是否存在一点,使的周长最小,若存在,请求出点的坐标和周长的最小值;若不存在,请说明理由.
25.(12分)车辆经过润扬大桥收费站时,有A、B、C、D四个收费通道,假设车辆通过每个收费通道的可能性相同,车辆可随机选择一个通过.
(1)一辆车经过此收费站时,A通道通过的概率为 ;
(2)两辆车经过此收费站时,用树状图或列表法求选择不同通道通过的概率.
26.(12分)如图,在平行四边形中,连接对角线,延长至点,使,连接,分别交,于点,.
(1)求证:;
(2)若,求的长.
参考答案
一、选择题(每题4分,共48分)
1、B
2、A
3、A
4、D
5、A
6、D
7、D
8、A
9、D
10、C
11、C
12、C
二、填空题(每题4分,共24分)
13、46°
14、①④⑤.
15、
16、<.
17、.
18、
三、解答题(共78分)
19、(1)y1=﹣(x﹣1)2+4;(2).
20、 (1)见解析;(2)见解析;(3)见解析
21、(1)抛物线与轴有两个交点;(2)抛物线的顶点不会落在第四象限,理由详见解析;(3).
22、1
23、(1)(-1,-1);(2)①整点有5个.②≤.
24、(1)y=x2+x﹣2;(2)△PBC面积的最大值为2;(3)P(﹣3,﹣)或P(﹣5,);(4)存在,点M(﹣1,﹣),△AMC周长的最小值为.
25、(1);(2)
26、(1)见解析;(1)1
相关试卷
这是一份广东省江门市江海区五校2023-2024学年九年级数学第一学期期末达标检测试题含答案,共8页。试卷主要包含了如图,点A等内容,欢迎下载使用。
这是一份2023-2024学年广东省江门市江海区数学九上期末调研试题含答案,共7页。试卷主要包含了考生要认真填写考场号和座位序号,如果两个相似多边形的面积比为4等内容,欢迎下载使用。
这是一份2023-2024学年广东省江门市江海区六校数学九上期末质量跟踪监视试题含答案,共7页。试卷主要包含了答题时请按要求用笔,已知二次函数的解析式为等内容,欢迎下载使用。

