还剩12页未读,
继续阅读
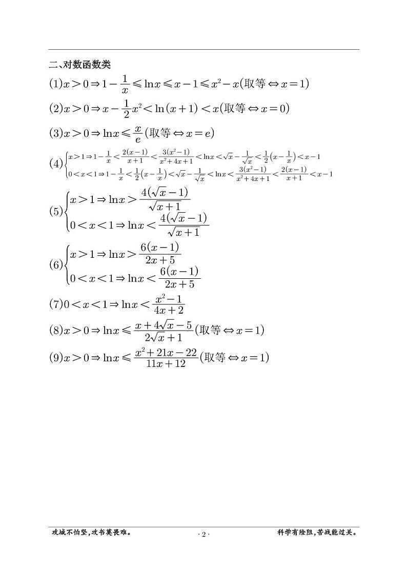
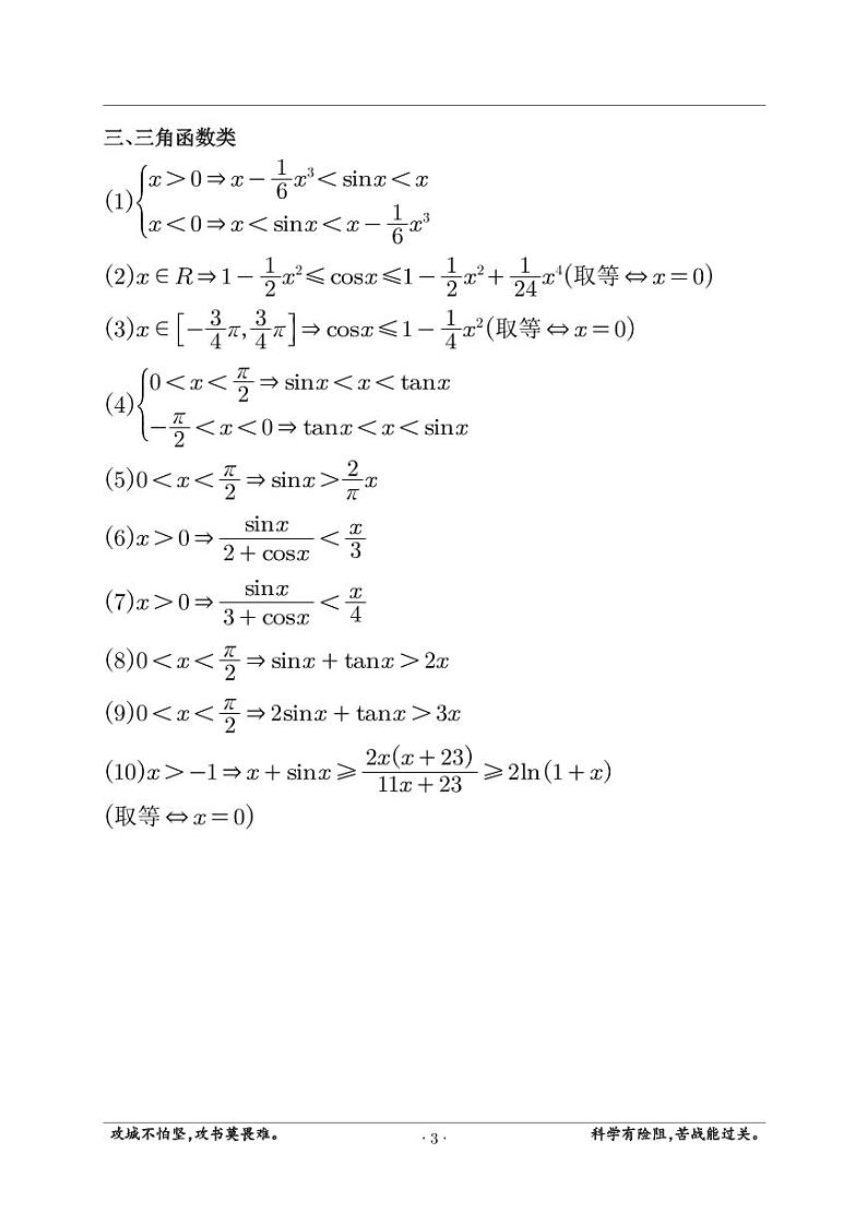
高考数学二轮专题复习——函数放缩公式集锦
展开
这是一份高考数学二轮专题复习——函数放缩公式集锦,共15页。
相关试卷
高考数学二轮专题复习——放缩法技巧大全:
这是一份高考数学二轮专题复习——放缩法技巧大全,共24页。
高考数学二轮专题导数复习——5.双变量放缩:
这是一份高考数学二轮专题导数复习——5.双变量放缩,共2页。试卷主要包含了已知函数等内容,欢迎下载使用。
高考数学二轮专题复习——数列型不等式的放缩方法与技巧:
这是一份高考数学二轮专题复习——数列型不等式的放缩方法与技巧,共4页。试卷主要包含了部分放缩,添减项放缩等内容,欢迎下载使用。

