


还剩21页未读,
继续阅读
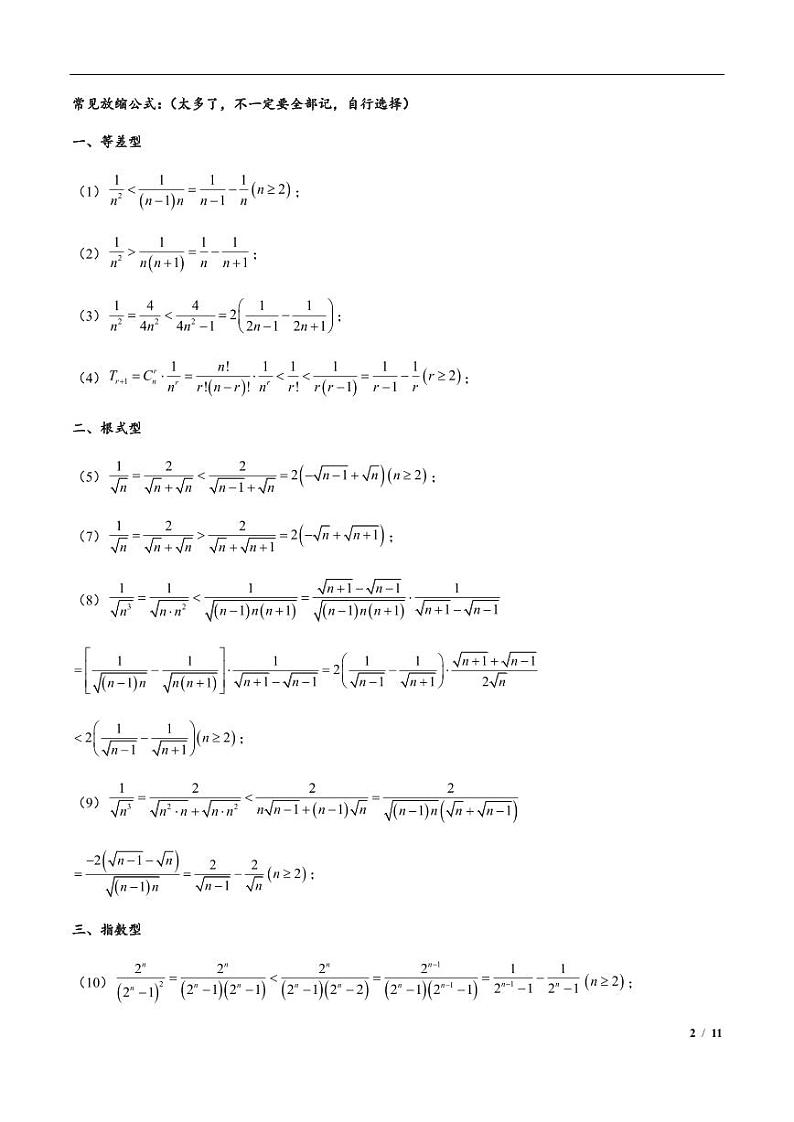
2024年高三培优讲义29---数列放缩通项证明不等式与数列不等式恒成立问题
展开
这是一份2024年高三培优讲义29---数列放缩通项证明不等式与数列不等式恒成立问题,共24页。
相关试卷
09数列不等式恒成立问题-【数列专题】2024届高考数学重要模型专练(全国通用):
这是一份09数列不等式恒成立问题-【数列专题】2024届高考数学重要模型专练(全国通用),共20页。试卷主要包含了单选题,多选题,填空题,解答题等内容,欢迎下载使用。
2024年高考数学二轮复习 数列放缩通项证明不等式与数列不等式恒成立问题(原卷版+解析版):
这是一份2024年高考数学二轮复习 数列放缩通项证明不等式与数列不等式恒成立问题(原卷版+解析版),共24页。
新高考数学二轮培优专题 利用函数放缩证明不等式、数列(原卷版+解析版):
这是一份新高考数学二轮培优专题 利用函数放缩证明不等式、数列(原卷版+解析版),共23页。