还剩5页未读,
继续阅读
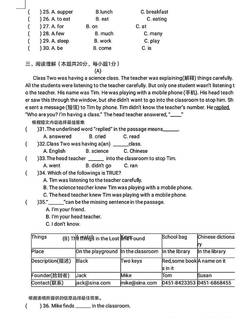
黑龙江省哈尔滨市道里区第一一三中学2019-2020学年上学期七年级10月份学生学业水平阶段反馈英语试题
展开
这是一份黑龙江省哈尔滨市道里区第一一三中学2019-2020学年上学期七年级10月份学生学业水平阶段反馈英语试题,共8页。
相关试卷
黑龙江省哈尔滨市道里区第一一三中学2022-2023学年八年级下学期期中学生学业水平反馈英语试题:
这是一份黑龙江省哈尔滨市道里区第一一三中学2022-2023学年八年级下学期期中学生学业水平反馈英语试题,共12页。试卷主要包含了 ______ 2, What is Mr, What des Mr等内容,欢迎下载使用。
黑龙江省哈尔滨市道里区2022-2023学年七年级上学期期末测试英语试题:
这是一份黑龙江省哈尔滨市道里区2022-2023学年七年级上学期期末测试英语试题,共9页。
黑龙江省哈尔滨市第一一三中学校2023-2024学年七年级上学期期中测试英语试题:
这是一份黑龙江省哈尔滨市第一一三中学校2023-2024学年七年级上学期期中测试英语试题,共30页。试卷主要包含了听力,单项选择,完形填空,阅读理解本题,交际应用,词汇,书面表达等内容,欢迎下载使用。

