


2023-2024学年河南省实验中学高二上学期期中考试数学试题含答案
展开一、单选题
1.已知直线:,则在轴上的截距为( )
A.B.C.1D.
【答案】D
【分析】根据给定的直线方程,利用纵截距的意义求解即得.
【详解】在方程中,令,得,
所以在轴上的截距为.
故选:D
2.已知点M(1,2,3),N(2,3,4),P(﹣1,2,3),若3,则Q的坐标是( )
A.(﹣3,﹣2,﹣5)B.(3,4,1)
C.(﹣4,﹣1,0)D.(2,5,6)
【答案】D
【分析】利用空间向量的坐标运算确定正确选项.
【详解】设为坐标原点,
.
故选:D
3.已知三点A(1,0),B(0, ),C(2,),则△ABC外接圆的圆心到原点的距离为( )
A.B.
C.D.
【答案】B
【详解】
选B.
【解析】圆心坐标
4.若双曲线离心率为,过点,则该双曲线的方程为( )
A.B.C.D.
【答案】B
【分析】分析可得,再将点代入双曲线的方程,求出的值,即可得出双曲线的标准方程.
【详解】,则,,则双曲线的方程为,
将点的坐标代入双曲线的方程可得,解得,故,
因此,双曲线的方程为.
故选:B
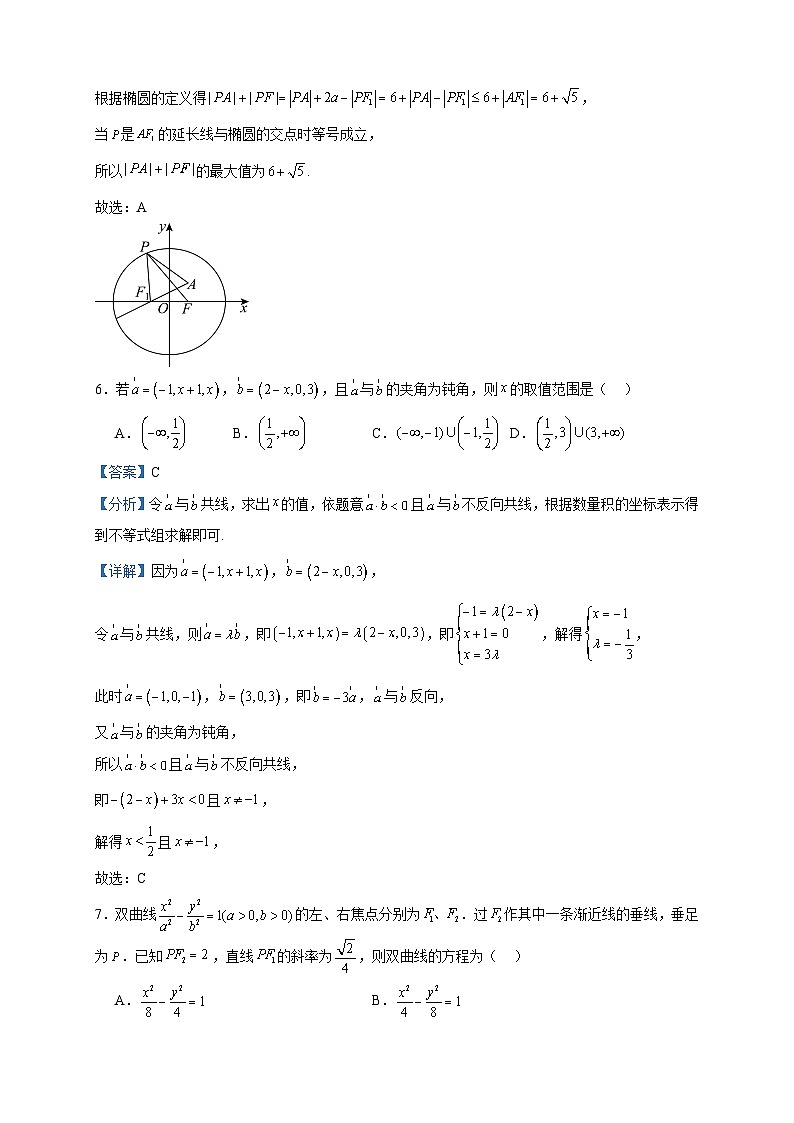
5.已知为椭圆的焦点,P为椭圆上一动点,,则的最大值为( )
A.B.6C.D.
【答案】A
【分析】根据焦点求得,利用椭圆的定义求得的最大值.
【详解】由于椭圆的焦点为,所以且焦点在轴上,则,
且,,所以椭圆方程为,
所以,设左焦点为,
根据椭圆的定义得,
当是的延长线与椭圆的交点时等号成立,
所以的最大值为.
故选:A
6.若,,且与的夹角为钝角,则的取值范围是( )
A.B.C.D.
【答案】C
【分析】令与共线,求出的值,依题意且与不反向共线,根据数量积的坐标表示得到不等式组求解即可.
【详解】因为,,
令与共线,则,即,即,解得,
此时,,即,与反向,
又与的夹角为钝角,
所以且与不反向共线,
即且,
解得且,
故选:C
7.双曲线的左、右焦点分别为.过作其中一条渐近线的垂线,垂足为.已知,直线的斜率为,则双曲线的方程为( )
A.B.
C.D.
【答案】D
【分析】先由点到直线的距离公式求出,设,由得到,.再由三角形的面积公式得到,从而得到,则可得到,解出,代入双曲线的方程即可得到答案.
【详解】如图,
因为,不妨设渐近线方程为,即,
所以,
所以.
设,则,所以,所以.
因为,所以,所以,所以,
所以,
因为,
所以,
所以,解得,
所以双曲线的方程为
故选:D
8.已知,直线,为直线上的动点,过点作的切线,切点为,当四边形的面积取最小值时,直线的方程为( )
A.B.
C.D.
【答案】B
【解析】将面积化为,即可得点C到直线的距离即为最小,由此求出M坐标,由四点共圆,求出该圆方程,和圆C方程相减可得直线AB方程.
【详解】将化为标准方程为,
故圆心,半径为2,
可得,则,
,
为直线上的动点,则可得,
此时取得最小值为2,此时,
,则直线方程为,即,
联立MC和l可得,
可得四点共圆,且圆心为MC中点,半径为,
则该圆方程为,
将两圆联立相减可得直线AB方程为.
故选:B.
【点睛】关键点睛:本题考查过圆外一点作圆的切线问题,解题的关键是得出当,面积最大,求出点M坐标,且共圆,求出该圆方程,即可求出公共弦AB方程.
二、多选题
9.已知椭圆,,分别为它的左右焦点,分别为它的左右顶点,点是椭圆上的一个动点,下列结论中正确的有( )
A.短轴长是3B.的周长为15
C.离心率D.若,则的面积为9
【答案】CD
【分析】根据短轴长的定义可判断A;利用椭圆的定义可判断B;根据离心率来判断C;利用勾股定理以及椭圆的定义求出可判断D.
【详解】A,由,可得,,所以椭圆的短轴长为,故A不正确;
B,的周长为,故B不正确.
C,离心率,故C正确;
D,,,
又因为,所以,
即,解得,
所以,故D正确.
故选:CD
10.给出下列命题正确的是( )
A.直线的方向向量为,平面的法向量为,则与平行
B.直线的倾斜角的取值范围是
C.点到直线的最大距离为
D.已知三点不共线,对于空间任意一点O,若,则四点共面
【答案】BCD
【分析】根据线面平行、倾斜角、点到直线的距离、四点共面等知识对选项进行分析,从而确定正确答案.
【详解】A选项,,所以与不平行,所以A选项错误.
B选项,直线的斜率为,
所以倾斜角的取值范围是,所以B选项正确.
C选项,直线可化为,
由解得,所以直线过定点,
所以点到直线的最大距离是与的距离,
即最大距离为,所以C选项正确.
D选项,由于,其中,
所以四点共面,所以D选项正确.
故选:BCD
11.已知点在圆上,点、,则( )
A.点到直线的距离小于
B.点到直线的距离大于
C.当最小时,
D.当最大时,
【答案】ACD
【分析】计算出圆心到直线的距离,可得出点到直线的距离的取值范围,可判断AB选项的正误;分析可知,当最大或最小时,与圆相切,利用勾股定理可判断CD选项的正误.
【详解】圆的圆心为,半径为,
直线的方程为,即,
圆心到直线的距离为,
所以,点到直线的距离的最小值为,最大值为,A选项正确,B选项错误;
如下图所示:
当最大或最小时,与圆相切,连接、,可知,
,,由勾股定理可得,CD选项正确.
故选:ACD.
【点睛】结论点睛:若直线与半径为的圆相离,圆心到直线的距离为,则圆上一点到直线的距离的取值范围是.
12.如图,若正方体的棱长为2,点是正方体的底面上的一个动点(含边界),是棱的中点,则下列结论正确的是( )
A.若保持,则点在底面内运动路径的长度为
B.三棱锥体积的最大值为
C.若,则二面角的余弦值的最大值为
D.若则与所成角的余弦值的最大值为
【答案】ABD
【分析】根据题意可知,A选项中点的轨迹是以为圆心,半径为的圆的四分之一,即可得轨迹长度为,判断出A正确;建立空间直角坐标系,由的面积为定值可知到平面的距离最大时,三棱锥体积的最大值为,可得B正确;对于C、D选项,当时可得点在上,设出点坐标并利用空间向量可求得二面角的余弦值的最大值为,可判断C错误,与所成角的余弦值的最大值为,可得D正确.
【详解】对于A,根据题意可知平面,所以为直角三角形,即,且
若保持,可知,
所以点的轨迹是以为圆心,半径为的圆在底面内的部分,即为四分之一圆,
因此点在底面内的运动路径长度为,即A正确;
对于B,以为坐标原点,分别以为轴建立空间直角坐标系,如下图所示:
易知,则,
设平面的一个法向量为,
可得,令,可得,即;
可设,则,
所以到平面的距离为,易知当时,距离最大值为;
又在中,易知,所以边上的高为;
其面积为定值,即;
所以到平面的距离最大时,三棱锥体积的最大为,即B正确;
对于C,根据正方体性质可知平面,又是棱的中点,,
所以可得点在平面,又点在底面内,平面平面,所以;
根据B中的坐标系可知,所以可得,;
则,
设平面的一个法向量为,可得,
令,则,即;
易知平面的一个法向量为,
所以,
易知当时,,
当时,,令,
可得在上恒成立,即在上单调递增;
此时时,最大,
当,,易知在上单调递减,
所以时,取得最小值,
又由图可知,当时,二面角为锐角,
所以二面角的余弦值的最大值为,即C错误;
对于D,根据选项C易知,
可得,
当时,,
当时,,易知当时,取到最大值为,
综上可知,与所成角的余弦值的最大值为,即D正确;
故选:ABD
【点睛】方法点睛:在求解立体几何中动点问题时,往往根据其几何位置关系找到变量之间的数量关系式,结合变量与定值之间的关系利用函数单调性或基本不等式求得最值.
三、填空题
13.已知直线,,若,则实数 .
【答案】
【分析】根据两直线平行的充要条件得到方程,解得即可.
【详解】因为直线,,且,
所以,解得或,
当直线,,两直线重合,故舍去.
故答案为:
14.己知,则点到平面的距离为 .
【答案】/
【分析】利用向量法求点到面的距离即可.
【详解】设平面的法向量,点O到平面ABC的距离为,
因为,,,
所以,
令,可得,故,
则,
故答案为:
15.在平面直角坐标系中,点是圆上的两个动点,且满足,记中点为,则的最小值为 .
【答案】
【分析】本题可利用中点去研究,根据得到点的轨迹,由图形的几何特征,求出模的最值,得到本题答案.
【详解】
∵圆,
∴,圆心,半径,
∵点在圆上,,
∴,
即,点在以为圆心,半径的圆上.
∴·
∴,即的最小值为.
故答案为:.
16.设是椭圆的上顶点,若上的任意一点P都满足,则的离心率的取值范围是 .
【答案】
【分析】设,根据得到,确定,得到离心率范围.
【详解】设,,,则,即,
故,即,
,故,,解得,
,离心率的取值范围为,
故答案为:.
四、解答题
17.已知的顶点,边上的高所在的直线方程为.
(1)求直线的方程;
(2)若边上的中线所在的直线方程为,求直线的方程.
【答案】(1)
(2)
【分析】(1)根据题意,得到直线的斜率,结合直线的点斜式方程,即可求解;
(2)根据题意,求得,设点,求得,再求得点,进而求得的斜率,进而求得直线的方程.
【详解】(1)解:因为边上的高所在的直线方程为,可得斜率为,
可得直线的斜率,又因为的顶点,
所以直线的方程为,即;
所以直线的方程为.
(2)解:直线边上的中线所在的直线方程为,
由方程组,解得,所以点,
设点,则的中点在直线上,所以,即,
又点在直线上,,解得,所以,
所以的斜率,所以直线的方程为,
即直线的方程为.
18.如图,在平面直角坐标系中,点,直线,设圆的半径为1, 圆心在上.
(1)若圆心也在直线上,过点作圆的切线,求切线方程;
(2)若圆上存在点,使,求圆心的横坐标的取值范围.
【答案】(1)或;(2).
【分析】(1)两直线方程联立可解得圆心坐标,又知圆的半径为,可得圆的方程,根据点到直线距离公式,列方程可求得直线斜率,进而得切线方程;(2)根据圆的圆心在直线:上可设圆的方程为,由,可得的轨迹方程为,若圆上存在点,使,只需两圆有公共点即可.
【详解】(1)由得圆心,
∵圆的半径为1,
∴圆的方程为:,
显然切线的斜率一定存在,设所求圆的切线方程为,即.
∴,
∴,∴或.
∴所求圆的切线方程为或.
(2)∵圆的圆心在直线:上,所以,设圆心为,
则圆的方程为.
又∵,
∴设为,则,整理得,设为圆.
所以点应该既在圆上又在圆上,即圆和圆有交点,
∴,
由,得,
由,得.
综上所述,的取值范围为.
【解析】1、圆的标准方程及切线的方程;2、圆与圆的位置关系及转化与划归思想的应用.
【方法点睛】本题主要考查圆的标准方程及切线的方程、圆与圆的位置关系及转化与划归思想的应用.属于难题.转化与划归思想是解决高中数学问题的一种重要思想方法,是中学数学四种重要的数学思想之一,尤其在解决知识点较多以及知识跨度较大的问题发挥着奇特功效,大大提高了解题能力与速度.运用这种方法的关键是将题设条件研究透,这样才能快速找准突破点.以便将问题转化为我们所熟悉的知识领域,进而顺利解答,希望同学们能够熟练掌握并应用于解题当中.本题(2)巧妙地将圆上存在点,使问题转化为,两圆有公共点问题是解决问题的关键所在.
19.空间中,两两互相垂直且有公共原点的三条数轴构成直角坐标系,如果坐标系中有两条坐标轴不垂直,那么这样的坐标系称为“斜坐标系”.现有一种空间斜坐标系,它任意两条数轴的夹角均为60°,我们将这种坐标系称为“斜60°坐标系”.我们类比空间直角坐标系,定义“空间斜60°坐标系”下向量的斜60°坐标:分别为“斜60°坐标系”下三条数轴(轴、轴、轴)正方向的单位向量,若向量,则与有序实数组相对应,称向量的斜60°坐标为,记作.
(1)若,,求的斜60°坐标;
(2)在平行六面体中,,,N为线段D1C1的中点.如图,以为基底建立“空间斜60°坐标系”.
①求的斜60°坐标;
②若,求与夹角的余弦值.
【答案】(1)
(2)①;②
【分析】对于小问(1),因为,,可以通过“空间斜60°坐标系”的定义,化简为,,再计算的斜60°坐标.
对于小问(2),设,,分别为与,,同方向的单位向量,则,,,①中,通过平行六面体得到,从而得到的斜60°坐标;
②中,因为,所以,结合①中的的斜60°坐标,并通过,计算与夹角的余弦值.
【详解】(1)由,,
知,,
所以,所以;
(2)设,,分别为与,,同方向的单位向量,
则,,,
①,
.
②因为,所以,
则,
∵, .
∴,
,
所以与的夹角的余弦值为
20.给出双曲线.
(1)求以为中点的弦所在的直线方程;
(2)若过点的直线l与所给双曲线交于,两点,求线段的中点P的轨迹方程.
【答案】(1);(2).
【分析】(1)设是弦的中点,且,,利用点差法能求出以为中点的双曲线的弦所在的直线方程.
(2)设,,,则,,两式相减,利用是中点及斜率相等可求得轨迹方程,从而得到其轨迹.
【详解】(1)设弦的两端点为,,则,
两式相减得到,又,,
所以直线斜率.
以为中点的双曲线的弦所在的直线方程为:,整理得.
故求得直线方程为.
(2)设,,,按照(1)的解法可得,①
由于,,P,A四点共线,得,②
由①②可得,整理得,检验当时,,也满足方程,故的中点P的轨迹方程是.
【点睛】本题考查点差法求中点弦的计算,动点的轨迹问题,属于中档题.
五、证明题
21.如图,三棱锥中,,,,E为BC的中点.
(1)证明:;
(2)点F满足,求二面角的正弦值.
【答案】(1)证明见解析;
(2).
【分析】(1)根据题意易证平面,从而证得;
(2)由题可证平面,所以以点为原点,所在直线分别为轴,建立空间直角坐标系,再求出平面的一个法向量,根据二面角的向量公式以及同角三角函数关系即可解出.
【详解】(1)连接,因为E为BC中点,,所以①,
因为,,所以与均为等边三角形,
,从而②,由①②,,平面,
所以,平面,而平面,所以.
(2)不妨设,,.
,,又,平面平面.
以点为原点,所在直线分别为轴,建立空间直角坐标系,如图所示:
设,
设平面与平面的一个法向量分别为,
二面角平面角为,而,
因为,所以,即有,
,取,所以;
,取,所以,
所以,,从而.
所以二面角的正弦值为.
六、解答题
22.已知椭圆的离心率为,点在上.
(1)求的方程;
(2)过点的直线交于点,两点,证明:为定值.
【答案】(1)
(2)证明见解析
【分析】(1)根据椭圆离心率和顶点坐标计算得到答案.
(2)确定,设出点坐标,联立方程,根据韦达定理得到根与系数的关系,确定,,计算得到答案.
【详解】(1)根据题意,解得,故椭圆的方程为;
(2)要使过点的直线交于点,两点,则的斜率存在且大于0,
设,即,,,,
联立,得.
且时,(时,或不存在),,
,,
计算得,,
,
故为定值.
【点睛】关键点睛:本题考查了椭圆的标准方程,椭圆中的定点问题,意在考查学生的计算能力,转化能力和综合应用能力,其中利用设而不求的思想,利用韦达定理得到根与系数的关系,可以简化运算,是解题的关键.
2023-2024学年黑龙江省大庆实验中学实验二部高二上学期期中考试数学试题含答案: 这是一份2023-2024学年黑龙江省大庆实验中学实验二部高二上学期期中考试数学试题含答案,共21页。试卷主要包含了单选题,多选题,填空题,解答题,证明题等内容,欢迎下载使用。
广东省东莞实验中学2023-2024学年高二上学期期中考试数学试题: 这是一份广东省东莞实验中学2023-2024学年高二上学期期中考试数学试题,共8页。试卷主要包含了11等内容,欢迎下载使用。
山东省德州实验中学2023-2024学年高二上学期期中考试数学试题: 这是一份山东省德州实验中学2023-2024学年高二上学期期中考试数学试题,共2页。