所属成套资源:(新高考)高考数学一轮复习学案+分层提升 (2份打包,原卷版+教师版)
- (新高考)高考数学一轮复习学案+分层提升3.6《利用导数证明不等式》(2份打包,原卷版+教师版) 试卷 0 次下载
- (新高考)高考数学一轮复习学案+分层提升4.2《同角三角函数基本关系式及诱导公式》(2份打包,原卷版+教师版) 试卷 0 次下载
- (新高考)高考数学一轮复习学案+分层提升4.5《三角函数的图象与性质》(2份打包,原卷版+教师版) 试卷 0 次下载
- (新高考)高考数学一轮复习学案+分层提升4.6《函数y=Asin(ωx+φ)》(2份打包,原卷版+教师版) 试卷 0 次下载
- (新高考)高考数学一轮复习学案+分层提升4.7《正弦定理、余弦定理》(2份打包,原卷版+教师版) 试卷 0 次下载
(新高考)高考数学一轮复习学案+分层提升4.3《两角和与差的正弦、余弦和正切公》(2份打包,原卷版+教师版)
展开
这是一份(新高考)高考数学一轮复习学案+分层提升4.3《两角和与差的正弦、余弦和正切公》(2份打包,原卷版+教师版),文件包含新高考高考数学一轮复习讲义+巩固练习43《两角和与差的正弦余弦和正切公》原卷版doc、新高考高考数学一轮复习讲义+巩固练习43《两角和与差的正弦余弦和正切公》原卷版pdf、新高考高考数学一轮复习讲义+巩固练习43《两角和与差的正弦余弦和正切公》教师版doc、新高考高考数学一轮复习讲义+巩固练习43《两角和与差的正弦余弦和正切公》教师版pdf等4份试卷配套教学资源,其中试卷共42页, 欢迎下载使用。
1.会推导两角差的余弦公式.
2.会用两角差的余弦公式推导出两角差的正弦、正切公式.
3.掌握两角和与差的正弦、余弦、正切公式,并会简单应用.
知识梳理
1.两角和与差的余弦、正弦、正切公式
(1)公式C(α﹣β):cs(α﹣β)=cs αcs β+sin αsin β;
(2)公式C(α+β):cs(α+β)=cs αcs β﹣sin αsin β;
(3)公式S(α﹣β):sin(α﹣β)=sin αcs β﹣cs αsin β;
(4)公式S(α+β):sin(α+β)=sin αcs β+cs αsin β;
(5)公式T(α﹣β):tan(α﹣β)=eq \f(tan α-tan β,1+tan αtan β);
(6)公式T(α+β):tan(α+β)=eq \f(tan α+tan β,1-tan αtan β).
2.辅助角公式
asin α+bcs α=eq \r(a2+b2)sin(α+φ),其中sin φ=eq \f(b,\r(a2+b2)),cs φ=eq \f(a,\r(a2+b2)).
知识拓展
两角和与差的公式的常用变形:
(1)sin αsin β+cs(α+β)=cs αcs β.
(2)cs αsin β+sin(α﹣β)=sin αcs β.
(3)tan α±tan β=tan(α±β)(1∓tan αtan β).
tan αtan β=1﹣eq \f(tan α+tan β,tanα+β)=eq \f(tan α-tan β,tanα-β)﹣1.
思考辨析
判断下列结论是否正确(请在括号中打“√”或“×”)
(1)存在实数α,β,使等式sin(α+β)=sin α+sin β成立.( )
(2)在锐角△ABC中,sin Asin B和cs Acs B大小不确定.( )
(3)公式tan(α+β)=eq \f(tan α+tan β,1-tan αtan β)可以变形为tan α+tan β=tan(α+β)(1﹣tan αtan β),且对任意角α,β都成立.( )
(4)eq \f(\r(3),2)sin α+eq \f(1,2)cs α=sineq \b\lc\(\rc\)(\a\vs4\al\c1(α+\f(π,3))).( )
教材改编题
1.若cs α=﹣eq \f(4,5),α是第三象限角,则sineq \b\lc\(\rc\)(\a\vs4\al\c1(α+\f(π,4)))等于( )
A.﹣eq \f(\r(2),10) B.eq \f(\r(2),10)
C.﹣eq \f(7\r(2),10) D.eq \f(7\r(2),10)
2.计算:sin 108°cs 42°﹣cs 72°sin 42°= .
3.若tan α=eq \f(1,3),tan(α+β)=eq \f(1,2),则tan β= .
题型一 两角和与差的三角函数公式
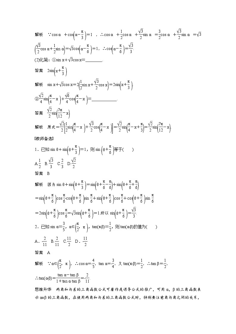
例1 (1)已知cs α+cseq \b\lc\(\rc\)(\a\vs4\al\c1(α-\f(π,3)))=1,则cseq \b\lc\(\rc\)(\a\vs4\al\c1(α-\f(π,6)))等于( )
A.eq \f(1,3) B.eq \f(1,2)
C.eq \f(\r(2),2) D.eq \f(\r(3),3)
(2)化简:①sin x+eq \r(3)cs x= .
②eq \f(\r(2),4)sineq \b\lc\(\rc\)(\a\vs4\al\c1(\f(π,4)-x))+eq \f(\r(6),4)cseq \b\lc\(\rc\)(\a\vs4\al\c1(\f(π,4)-x))= .
教师备选
1.已知sin θ+sineq \b\lc\(\rc\)(\a\vs4\al\c1(θ+\f(π,3)))=1,则sineq \b\lc\(\rc\)(\a\vs4\al\c1(θ+\f(π,6)))等于( )
A.eq \f(1,2) B.eq \f(\r(3),3) C.eq \f(2,3) D.eq \f(\r(2),2)
2.已知sin α=eq \f(3,5),α∈eq \b\lc\(\rc\)(\a\vs4\al\c1(\f(π,2),π)),tan(π﹣β)=eq \f(1,2),则tan(α﹣β)的值为( )
A.﹣eq \f(2,11) B.eq \f(2,11) C.eq \f(11,2) D.﹣eq \f(11,2)
思维升华 两角和与差的三角函数公式可看作是诱导公式的推广,可用α,β的三角函数表示α±β的三角函数,在使用两角和与差的三角函数公式时,特别要注意角与角之间的关系,完成统一角和角与角转换的目的.
跟踪训练1 (1)函数y=sineq \b\lc\(\rc\)(\a\vs4\al\c1(2x+\f(π,4)))+sineq \b\lc\(\rc\)(\a\vs4\al\c1(2x-\f(π,4)))的最小值为( )
A.eq \r(2) B.﹣2
C.﹣eq \r(2) D.eq \r(3)
(2)已知cseq \b\lc\(\rc\)(\a\vs4\al\c1(α+\f(π,6)))=eq \r(3)cs α,tan β=eq \f(\r(3),3),则tan(α+β)= .
题型二 两角和与差的三角函数公式的逆用与变形
例2 (1)(多选)已知α,β,γ∈eq \b\lc\(\rc\)(\a\vs4\al\c1(0,\f(π,2))),sin α+sin γ=sin β,cs β+cs γ=cs α,则下列说法正确的是( )
A.cs(β﹣α)=eq \f(1,2) B.cs(β﹣α)=eq \f(1,3)
C.β﹣α=﹣eq \f(π,3) D.β﹣α=eq \f(π,3)
(2)在△ABC中,C=120°,tan A+tan B=eq \f(2\r(3),3),则tan Atan B的值为( )
A.eq \f(1,4) B.eq \f(1,3)
C.eq \f(1,2) D.eq \f(5,3)
延伸探究 若将本例(2)的条件改为tan Atan B=tan A+tan B+1,则C等于( )
A.45° B.135°
C.150° D.30°
教师备选
1.若α+β=﹣eq \f(3π,4),则(1+tan α)(1+tan β)= .
2.已知sin α+cs β=1,cs α+sin β=0,则sin(α+β)= .
思维升华 运用两角和与差的三角函数公式时,不但要熟练、准确,而且要熟悉公式的逆用及变形.公式的逆用和变形应用更能开拓思路,增强从正向思维向逆向思维转化的能力.
跟踪训练2 (1)设a=cs 50°cs 127°+cs 40°cs 37°,b=eq \f(\r(2),2)(sin 56°﹣cs 56°),c=eq \f(1-tan239°,1+tan239°),则a,b,c的大小关系是( )
A.a>b>c B.b>a>c
C.c>a>b D.a>c>b
(2)(1+tan 20°)(1+tan 21°)(1+tan 24°)(1+tan 25°)= .
题型三 角的变换问题
例3 (1)已知α,β∈eq \b\lc\(\rc\)(\a\vs4\al\c1(\f(π,3),\f(5π,6))),若sineq \b\lc\(\rc\)(\a\vs4\al\c1(α+\f(π,6)))=eq \f(4,5),cseq \b\lc\(\rc\)(\a\vs4\al\c1(β-\f(5π,6)))=eq \f(5,13),则sin(α﹣β)的值为( )
A.eq \f(16,65) B.eq \f(33,65)
C.eq \f(56,65) D.eq \f(63,65)
(2)若tan(α+2β)=2,tan β=﹣3,则tan(α+β)= ,tan α= .
教师备选
已知α,β为锐角,tan α=eq \f(4,3),cs(α+β)=﹣eq \f(\r(5),5).
(1)求cs 2α的值;
(2)求tan(α﹣β)的值.
思维升华 常用的拆角、配角技巧:2α=(α+β)+(α﹣β);α=(α+β)﹣β=(α﹣β)+β;
β=eq \f(α+β,2)﹣eq \f(α-β,2)=(α+2β)﹣(α+β);α﹣β=(α﹣γ)+(γ﹣β);15°=45°﹣30°;
eq \f(π,4)+α=eq \f(π,2)﹣eq \b\lc\(\rc\)(\a\vs4\al\c1(\f(π,4)-α))等.
跟踪训练3 (1)已知sin α=eq \f(\r(5),5),sin(α﹣β)=﹣eq \f(\r(10),10),α,β均为锐角,则β= .
(2)已知0
相关试卷
这是一份(新高考)高考数学一轮复习学案+巩固提升练习4.3《两角和与差的正弦、余弦和正切公》(2份打包,原卷版+教师版),文件包含新高考高考数学一轮复习讲义+巩固练习43《两角和与差的正弦余弦和正切公》原卷版doc、新高考高考数学一轮复习讲义+巩固练习43《两角和与差的正弦余弦和正切公》原卷版pdf、新高考高考数学一轮复习讲义+巩固练习43《两角和与差的正弦余弦和正切公》教师版doc、新高考高考数学一轮复习讲义+巩固练习43《两角和与差的正弦余弦和正切公》教师版pdf等4份试卷配套教学资源,其中试卷共40页, 欢迎下载使用。
这是一份(新高考)高考数学一轮复习学案+分层提升2.8《函数的图象》(2份打包,原卷版+教师版),文件包含新高考高考数学一轮复习讲义+巩固练习28《函数的图象》原卷版doc、新高考高考数学一轮复习讲义+巩固练习28《函数的图象》原卷版pdf、新高考高考数学一轮复习讲义+巩固练习28《函数的图象》教师版doc、新高考高考数学一轮复习讲义+巩固练习28《函数的图象》教师版pdf等4份试卷配套教学资源,其中试卷共46页, 欢迎下载使用。
这是一份(新高考)高考数学一轮复习学案+分层提升1.1《集合》(2份打包,原卷版+教师版),文件包含新高考高考数学一轮复习讲义+巩固练习11《集合》原卷版doc、新高考高考数学一轮复习讲义+巩固练习11《集合》原卷版pdf、新高考高考数学一轮复习讲义+巩固练习11《集合》教师版doc、新高考高考数学一轮复习讲义+巩固练习11《集合》教师版pdf等4份试卷配套教学资源,其中试卷共36页, 欢迎下载使用。

